2025年七彩假日快乐假期暑假作业七年级数学通用版
注:目前有些书本章节名称可能整理的还不是很完善,但都是按照顺序排列的,请同学们按照顺序仔细查找。练习册 2025年七彩假日快乐假期暑假作业七年级数学通用版 答案主要是用来给同学们做完题方便对答案用的,请勿直接抄袭。
7.(★★☆☆☆)如下图,$AB// CD$,$CB平分\angle ABD$,若$\angle C= 40^{\circ}$,则$\angle D$的度数为

$100^{\circ}$
。
答案:
$100^{\circ}$
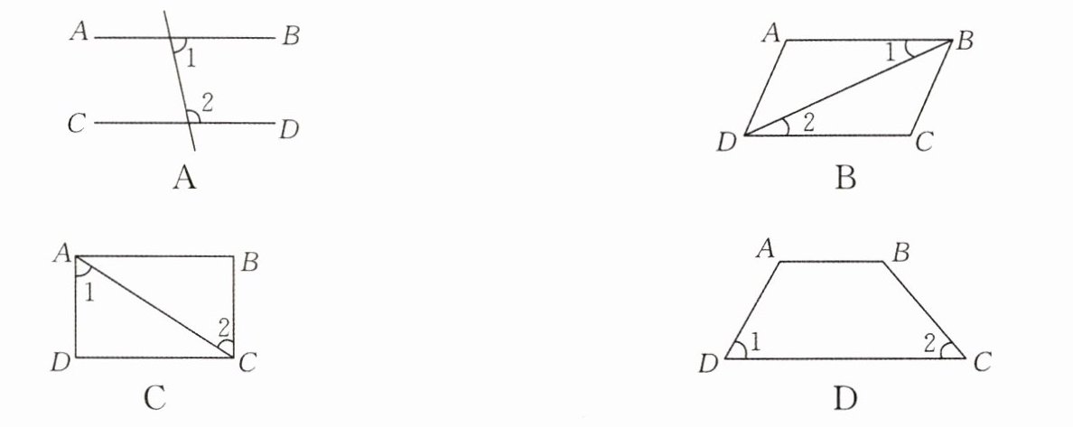
8.(★★☆☆☆)下列图形中,由$\angle1= \angle2能得到AB// CD$的是(

B
)
答案:
B
9.(★★★☆☆)如右图,已知$AB// CD$,$\angle C= 70^{\circ}$,$\angle F= 30^{\circ}$,则$\angle A$的度数为(

A.$30^{\circ}$
B.$35^{\circ}$
C.$40^{\circ}$
D.$45^{\circ}$
C
)A.$30^{\circ}$
B.$35^{\circ}$
C.$40^{\circ}$
D.$45^{\circ}$
答案:
C
10.(★★★☆☆)如图,直线$l_1// l_2$,$\angle\alpha=\angle\beta$,$\angle1= 40^{\circ}$,试求$\angle2$的度数。

解:延长∠α的一边交$l_2$于点P,设∠α的另一边与$l_1$交于点Q
∵$l_1// l_2$
∴∠1=∠QPl₂=40°
∵∠α=∠β
∴∠α的对顶角=∠β
∴PQ//另一条含∠β的边(设为MN)
∴∠2+∠QPl₂=180°
∴∠2=180° - 40°=
答:∠2的度数为
解:延长∠α的一边交$l_2$于点P,设∠α的另一边与$l_1$交于点Q
∵$l_1// l_2$
∴∠1=∠QPl₂=40°
∵∠α=∠β
∴∠α的对顶角=∠β
∴PQ//另一条含∠β的边(设为MN)
∴∠2+∠QPl₂=180°
∴∠2=180° - 40°=
140°
答:∠2的度数为
140°
答案:
解:延长∠α的一边交$l_2$于点P,设∠α的另一边与$l_1$交于点Q
∵$l_1// l_2$
∴∠1=∠QPl₂=40°
∵∠α=∠β
∴∠α的对顶角=∠β
∴PQ//另一条含∠β的边(设为MN)
∴∠2+∠QPl₂=180°
∴∠2=180° - 40°=140°
答:∠2的度数为$140^{\circ}$
∵$l_1// l_2$
∴∠1=∠QPl₂=40°
∵∠α=∠β
∴∠α的对顶角=∠β
∴PQ//另一条含∠β的边(设为MN)
∴∠2+∠QPl₂=180°
∴∠2=180° - 40°=140°
答:∠2的度数为$140^{\circ}$
11.(★★★☆☆)如图,直线$AB// CD$,$CB平分\angle ABD$,$\angle1= 65^{\circ}$,求$\angle2$的度数。

解:
∵直线$AB // CD$,
∴$\angle ABC = \angle 1 = 65^{\circ}$(两直线平行,内错角相等)。
∵$CB$平分$\angle ABD$,
∴$\angle ABD = 2\angle ABC = 2×65^{\circ} = 130^{\circ}$。
∵直线$AB // CD$,
∴$\angle BDC + \angle ABD = 180^{\circ}$(两直线平行,同旁内角互补)。
∴$\angle BDC = 180^{\circ} - \angle ABD = 180^{\circ} - 130^{\circ} = 50^{\circ}$。
∵$\angle 2 = \angle BDC$(对顶角相等),
∴$\angle 2 =$
答案:$\boxed{50^{\circ}}$
解:
∵直线$AB // CD$,
∴$\angle ABC = \angle 1 = 65^{\circ}$(两直线平行,内错角相等)。
∵$CB$平分$\angle ABD$,
∴$\angle ABD = 2\angle ABC = 2×65^{\circ} = 130^{\circ}$。
∵直线$AB // CD$,
∴$\angle BDC + \angle ABD = 180^{\circ}$(两直线平行,同旁内角互补)。
∴$\angle BDC = 180^{\circ} - \angle ABD = 180^{\circ} - 130^{\circ} = 50^{\circ}$。
∵$\angle 2 = \angle BDC$(对顶角相等),
∴$\angle 2 =$
$50^{\circ}$
。 答案:$\boxed{50^{\circ}}$
答案:
解:
∵直线$AB // CD$,
∴$\angle ABC = \angle 1 = 65^{\circ}$(两直线平行,内错角相等)。
∵$CB$平分$\angle ABD$,
∴$\angle ABD = 2\angle ABC = 2×65^{\circ} = 130^{\circ}$。
∵直线$AB // CD$,
∴$\angle BDC + \angle ABD = 180^{\circ}$(两直线平行,同旁内角互补)。
∴$\angle BDC = 180^{\circ} - \angle ABD = 180^{\circ} - 130^{\circ} = 50^{\circ}$。
∵$\angle 2 = \angle BDC$(对顶角相等),
∴$\angle 2 = 50^{\circ}$。
答案:$\boxed{50^{\circ}}$
∵直线$AB // CD$,
∴$\angle ABC = \angle 1 = 65^{\circ}$(两直线平行,内错角相等)。
∵$CB$平分$\angle ABD$,
∴$\angle ABD = 2\angle ABC = 2×65^{\circ} = 130^{\circ}$。
∵直线$AB // CD$,
∴$\angle BDC + \angle ABD = 180^{\circ}$(两直线平行,同旁内角互补)。
∴$\angle BDC = 180^{\circ} - \angle ABD = 180^{\circ} - 130^{\circ} = 50^{\circ}$。
∵$\angle 2 = \angle BDC$(对顶角相等),
∴$\angle 2 = 50^{\circ}$。
答案:$\boxed{50^{\circ}}$
查看更多完整答案,请扫码查看