第24页
- 第1页
- 第2页
- 第3页
- 第4页
- 第5页
- 第6页
- 第7页
- 第8页
- 第9页
- 第10页
- 第11页
- 第12页
- 第13页
- 第14页
- 第15页
- 第16页
- 第17页
- 第18页
- 第19页
- 第20页
- 第21页
- 第22页
- 第23页
- 第24页
- 第25页
- 第26页
- 第27页
- 第28页
- 第29页
- 第30页
- 第31页
- 第32页
- 第33页
- 第34页
- 第35页
- 第36页
- 第37页
- 第38页
- 第39页
- 第40页
- 第41页
- 第42页
- 第43页
- 第44页
- 第45页
- 第46页
- 第47页
- 第48页
- 第49页
- 第50页
- 第51页
- 第52页
- 第53页
- 第54页
- 第55页
- 第56页
- 第57页
- 第58页
- 第59页
- 第60页
- 第61页
- 第62页
- 第63页
- 第64页
- 第65页
- 第66页
- 第67页
- 第68页
- 第69页
- 第70页
- 第71页
- 第72页
- 第73页
- 第74页
- 第75页
- 第76页
- 第77页
- 第78页
- 第79页
- 第80页
- 第81页
- 第82页
- 第83页
- 第84页
- 第85页
- 第86页
- 第87页
- 第88页
- 第89页
- 第90页
- 第91页
- 第92页
- 第93页
- 第94页
- 第95页
- 第96页
- 第97页
- 第98页
- 第99页
- 第100页
制作模型并展示科学家探索物质组成与结构的历程
化学兴趣小组的同学们在老师的指导下,开展了“制作模型并展示科学家探索物质组成与结构的历程”的跨学科实践活动。
任务一 探究构成物质的微观粒子的特征
【提出问题】
在化学课上,同学们通过学习已经知道微观粒子的质量和体积都很小、微观粒子之间有间隔、微观粒子都在不断运动。那么,如何从化学视角来认识微观粒子的运动呢?
【设计实验】
同学们设计了以下实验来探究微观粒子的运动。

【分析实验】
(1)图甲实验中,观察到的实验现象是
任务二 认识模型在探索物质组成与结构中的作用
【分析史料,构建模型】
(2)19 世纪末,汤姆孙通过一系列实验发现了带负电荷的电子,他推测原子中还有带正电荷的物质。他推测的依据是
(3)1909 年,英国物理学家卢瑟福进行了著名的α粒子散射实验(如图丙、丁)。根据这个实验获得的正确结论是

①金原子核带正电荷 ②金原子是实心球体,紧密排列
③金原子中有带负电荷的电子 ④金原子核的质量与α粒子质量相当
⑤金原子核体积很小 ⑥原子的质量主要集中在原子核上
【认识原子,制作钠原子结构模型】
(4)准备好材料(胶水、卡纸、绳子橡皮泥等),用橡皮泥搓 11 个大小相同的红色小球表示质子,12 个大小相同的黄色小球表示中子,

【认识分子,搭建分子模型】
(5)兴趣小组的同学利用小球搭建了四种模型,其中可表示混合物的是

(6)万物皆原子,原子是构成一切化学物质的基本单元。如图己为氖、钠、氯的原子结构示意图。请以氖气和氯化钠两种物质为例,从原子直接或间接构成物质的角度,简要谈谈你对“原子是构成一切化学物质的基本单元”的理解:

任务三 探究元素与物质组成的奥秘
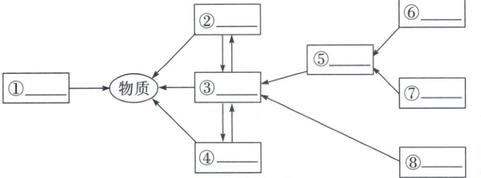
(7)随着研究的不断深入,科学家逐渐揭开构成物质的粒子及其规律。请用物质组成和构成的化学术语填空。其中②、⑤、⑥、⑧为带电的粒子。

①
(8)分析原子结构及原子的发现历程,以下观点正确的是
A. 科学模型的建立是一个不断完善、修正的过程
B. 模型是一种重要的方法,人类借助模型构建,对原子的认识逐渐接近本质
C. 科学结论的得出要依据客观事实,面对前人的观点要敢于质疑
D. 科学理论的发展过程是发现并改正前人错误认识的过程
化学兴趣小组的同学们在老师的指导下,开展了“制作模型并展示科学家探索物质组成与结构的历程”的跨学科实践活动。
任务一 探究构成物质的微观粒子的特征
【提出问题】
在化学课上,同学们通过学习已经知道微观粒子的质量和体积都很小、微观粒子之间有间隔、微观粒子都在不断运动。那么,如何从化学视角来认识微观粒子的运动呢?
【设计实验】
同学们设计了以下实验来探究微观粒子的运动。
【分析实验】
(1)图甲实验中,观察到的实验现象是
B烧杯中的溶液由无色变为红色
;小组同学认为图乙实验较好,原因是节约试剂(合理即可)
(写出一点即可)。任务二 认识模型在探索物质组成与结构中的作用
【分析史料,构建模型】
(2)19 世纪末,汤姆孙通过一系列实验发现了带负电荷的电子,他推测原子中还有带正电荷的物质。他推测的依据是
原子不显电性
。(3)1909 年,英国物理学家卢瑟福进行了著名的α粒子散射实验(如图丙、丁)。根据这个实验获得的正确结论是
①⑤⑥
(填序号)。①金原子核带正电荷 ②金原子是实心球体,紧密排列
③金原子中有带负电荷的电子 ④金原子核的质量与α粒子质量相当
⑤金原子核体积很小 ⑥原子的质量主要集中在原子核上
【认识原子,制作钠原子结构模型】
(4)准备好材料(胶水、卡纸、绳子橡皮泥等),用橡皮泥搓 11 个大小相同的红色小球表示质子,12 个大小相同的黄色小球表示中子,
11
个更小的蓝色小球表示电子。把所有红、黄
色小球相互粘在一起,组成原子核,放在卡纸中心,并以此为共同的圆心,用绳子绕 3 个直径依次增大的圆表示核外电子层,然后在各电子层上粘上剩余小球,作品如图戊。【认识分子,搭建分子模型】
(5)兴趣小组的同学利用小球搭建了四种模型,其中可表示混合物的是
C
。(6)万物皆原子,原子是构成一切化学物质的基本单元。如图己为氖、钠、氯的原子结构示意图。请以氖气和氯化钠两种物质为例,从原子直接或间接构成物质的角度,简要谈谈你对“原子是构成一切化学物质的基本单元”的理解:
氖原子直接构成氖气;氯原子和钠原子先分别变成氯离子和钠离子,再间接构成氯化钠这种物质
。任务三 探究元素与物质组成的奥秘
(7)随着研究的不断深入,科学家逐渐揭开构成物质的粒子及其规律。请用物质组成和构成的化学术语填空。其中②、⑤、⑥、⑧为带电的粒子。
①
元素
;②离子
;③原子
;④分子
;⑤原子核
;⑥质子
;⑦中子
;⑧电子
。(8)分析原子结构及原子的发现历程,以下观点正确的是
ABCD
。A. 科学模型的建立是一个不断完善、修正的过程
B. 模型是一种重要的方法,人类借助模型构建,对原子的认识逐渐接近本质
C. 科学结论的得出要依据客观事实,面对前人的观点要敢于质疑
D. 科学理论的发展过程是发现并改正前人错误认识的过程
答案:
跨学科实践活动2 制作模型并展示科学家探索物质组成与结构的历程
(1)B烧杯中的溶液由无色变为红色 节约试剂(合理即可)
(2)原子不显电性
(3)①⑤⑥
(4)11 红、黄
(5)C
(6)氖原子直接构成氖气;氯原子和钠原子先分别变成氯离子和钠离子,再间接构成氯化钠这种物质
(7)①元素 ②离子 ③原子 ④分子 ⑤原子核 ⑥质子 ⑦中子 ⑧电子
(8)ABCD
[解析]
(1)A烧杯中浓氨水易挥发,挥发出来的氨气与B烧杯溶液中的水形成氨水,氨水能使无色酚酞溶液变红,则观察到的实验现象是B烧杯中的溶液由无色变为红色,小组同学认为题图乙实验较好,原因是节约试剂,更环保,装置简便等。
(2)汤姆孙通过一系列实验发现了带负电荷的电子,因为原子不显电性,而电子带负电荷,因此他推测原子中还有带正电荷的物质。
(3)绝大多数α粒子穿过金箔后仍沿原来的方向前进,这说明原子内部绝大多数空间是空的,即原子内部存在大量的空隙。少数α粒子发生了较大的偏转,这说明原子内部存在某种带正电荷的微观粒子,且这种微观粒子的体积很小。极少数α粒子甚至几乎达到180°的偏转,像是被金箔弹了回来,这说明这些微观粒子的质量远大于α粒子。基于这些现象,卢瑟福提出了原子的“核式结构模型”:原子中带正电荷部分的体积很小,但几乎占有全部质量,电子在核外运动。故选①⑤⑥。
(4)原子中,质子数等于核外电子数,所以用橡皮泥搓11个大小相同的红色小球表示质子,12个大小相同的黄色小球表示中子,11个更小的蓝色小球表示电子。把所有红、黄色小球相互粘在一起,组成原子核。
(5)A由一种原子组成,属于纯净物;B由一种分子组成,属于纯净物;C由不同种物质组成,属于混合物;D由一种分子组成,属于纯净物。
(6)氖原子直接构成氖气;氯原子和钠原子先分别变成氯离子和钠离子,再间接构成氯化钠这种物质,故原子是构成一切化学物质的基本单元。
(1)B烧杯中的溶液由无色变为红色 节约试剂(合理即可)
(2)原子不显电性
(3)①⑤⑥
(4)11 红、黄
(5)C
(6)氖原子直接构成氖气;氯原子和钠原子先分别变成氯离子和钠离子,再间接构成氯化钠这种物质
(7)①元素 ②离子 ③原子 ④分子 ⑤原子核 ⑥质子 ⑦中子 ⑧电子
(8)ABCD
[解析]
(1)A烧杯中浓氨水易挥发,挥发出来的氨气与B烧杯溶液中的水形成氨水,氨水能使无色酚酞溶液变红,则观察到的实验现象是B烧杯中的溶液由无色变为红色,小组同学认为题图乙实验较好,原因是节约试剂,更环保,装置简便等。
(2)汤姆孙通过一系列实验发现了带负电荷的电子,因为原子不显电性,而电子带负电荷,因此他推测原子中还有带正电荷的物质。
(3)绝大多数α粒子穿过金箔后仍沿原来的方向前进,这说明原子内部绝大多数空间是空的,即原子内部存在大量的空隙。少数α粒子发生了较大的偏转,这说明原子内部存在某种带正电荷的微观粒子,且这种微观粒子的体积很小。极少数α粒子甚至几乎达到180°的偏转,像是被金箔弹了回来,这说明这些微观粒子的质量远大于α粒子。基于这些现象,卢瑟福提出了原子的“核式结构模型”:原子中带正电荷部分的体积很小,但几乎占有全部质量,电子在核外运动。故选①⑤⑥。
(4)原子中,质子数等于核外电子数,所以用橡皮泥搓11个大小相同的红色小球表示质子,12个大小相同的黄色小球表示中子,11个更小的蓝色小球表示电子。把所有红、黄色小球相互粘在一起,组成原子核。
(5)A由一种原子组成,属于纯净物;B由一种分子组成,属于纯净物;C由不同种物质组成,属于混合物;D由一种分子组成,属于纯净物。
(6)氖原子直接构成氖气;氯原子和钠原子先分别变成氯离子和钠离子,再间接构成氯化钠这种物质,故原子是构成一切化学物质的基本单元。
查看更多完整答案,请扫码查看