2025年新坐标同步练习高中化学选择性必修第三册人教版青海专版
注:目前有些书本章节名称可能整理的还不是很完善,但都是按照顺序排列的,请同学们按照顺序仔细查找。练习册 2025年新坐标同步练习高中化学选择性必修第三册人教版青海专版 答案主要是用来给同学们做完题方便对答案用的,请勿直接抄袭。
第91页
- 第1页
- 第2页
- 第3页
- 第4页
- 第5页
- 第6页
- 第7页
- 第8页
- 第9页
- 第10页
- 第11页
- 第12页
- 第13页
- 第14页
- 第15页
- 第16页
- 第17页
- 第18页
- 第19页
- 第20页
- 第21页
- 第22页
- 第23页
- 第24页
- 第25页
- 第26页
- 第27页
- 第28页
- 第29页
- 第30页
- 第31页
- 第32页
- 第33页
- 第34页
- 第35页
- 第36页
- 第37页
- 第38页
- 第39页
- 第40页
- 第41页
- 第42页
- 第43页
- 第44页
- 第45页
- 第46页
- 第47页
- 第48页
- 第49页
- 第50页
- 第51页
- 第52页
- 第53页
- 第54页
- 第55页
- 第56页
- 第57页
- 第58页
- 第59页
- 第60页
- 第61页
- 第62页
- 第63页
- 第64页
- 第65页
- 第66页
- 第67页
- 第68页
- 第69页
- 第70页
- 第71页
- 第72页
- 第73页
- 第74页
- 第75页
- 第76页
- 第77页
- 第78页
- 第79页
- 第80页
- 第81页
- 第82页
- 第83页
- 第84页
- 第85页
- 第86页
- 第87页
- 第88页
- 第89页
- 第90页
- 第91页
- 第92页
- 第93页
- 第94页
- 第95页
- 第96页
- 第97页
- 第98页
- 第99页
- 第100页
- 第101页
- 第102页
- 第103页
- 第104页
- 第105页
- 第106页
1. (2024·新高考吉林卷)如下图所示的自催化反应,Y 做催化剂。下列说法正确的是(

A.X 不能发生水解反应
B.Y 与盐酸反应的产物不溶于水
C.Z 中碳原子均采用$sp^{2}$杂化
D.随$c(Y)$增大,该反应速率不断增大
C
)A.X 不能发生水解反应
B.Y 与盐酸反应的产物不溶于水
C.Z 中碳原子均采用$sp^{2}$杂化
D.随$c(Y)$增大,该反应速率不断增大
答案:
C
2. (2023·新高考江苏卷)化合物 Z 是合成药物非奈利酮的重要中间体,合成路线如下:


下列说法正确的是(
A.X 不能与$FeCl_{3}$溶液发生显色反应
B.Y 中的含氧官能团分别是酯基、羧基
C.1 mol Z 最多能与 3 mol $H_{2}$发生加成反应
D.X、Y、Z 可用饱和$NaHCO_{3}$溶液和 2%银氨溶液进行鉴别
下列说法正确的是(
D
)A.X 不能与$FeCl_{3}$溶液发生显色反应
B.Y 中的含氧官能团分别是酯基、羧基
C.1 mol Z 最多能与 3 mol $H_{2}$发生加成反应
D.X、Y、Z 可用饱和$NaHCO_{3}$溶液和 2%银氨溶液进行鉴别
答案:
解析:选D。A.X中含有酚羟基,能与FeCl₃溶液发生显色反应,A错误;B.Y中的含氧官能团分别是酯基、醚键,B错误;C.苯环和醛基都能与H₂发生加成反应,故1molZ最多能与4molH₂发生加成反应,C错误;D.X可与饱和NaHCO₃溶液反应产生气泡,Z可以与2%银氨溶液发生银镜反应,Y与NaHCO₃溶液和银氨溶液均不反应,故X、Y、Z可用饱和NaHCO₃溶液和2%银氨溶液进行鉴别,D正确。
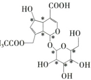
3. (2023·新高考海南卷)闭花耳草是海南传统药材,具有消炎功效。车叶草苷酸是其活性成分之一,结构简式如下图所示。下列有关车叶草苷酸说法正确的是( )

A.分子中含有平面环状结构
B.分子中含有 5 个手性碳原子
C.其钠盐在水中的溶解度小于在甲苯中的溶解度
D.其在弱碱介质中可与某些过渡金属离子形成配合物
A.分子中含有平面环状结构
B.分子中含有 5 个手性碳原子
C.其钠盐在水中的溶解度小于在甲苯中的溶解度
D.其在弱碱介质中可与某些过渡金属离子形成配合物
答案:
解析:选D。A.环状结构中含有多个sp³杂化的碳原子,故分子中不含平面环状结构,故A错误;B.该分子中含有9个手性碳原子,如图:H
(表示手性碳原子),故B错误;C.其钠盐是离子化合物,在水中的溶解度大于在甲苯中的溶解度,故C错误;D.羟基中氧原子上含有孤电子对,在弱碱介质中可与某些过渡金属离子形成配合物,故D正确。
解析:选D。A.环状结构中含有多个sp³杂化的碳原子,故分子中不含平面环状结构,故A错误;B.该分子中含有9个手性碳原子,如图:H
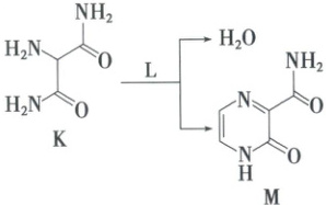
4. (2023·新高考北京卷)化合物 K 与 L 反应可合成药物中间体 M,转化关系如下。

已知 L 能发生银镜反应。下列说法正确的是(
A.K 的核磁共振氢谱有两组峰
B.L 是乙醛
C.M 完全水解可得到 K 和 L
D.反应物 K 与 L 的化学计量比是 1∶1
已知 L 能发生银镜反应。下列说法正确的是(
D
)A.K 的核磁共振氢谱有两组峰
B.L 是乙醛
C.M 完全水解可得到 K 和 L
D.反应物 K 与 L 的化学计量比是 1∶1
答案:
解析:选D。K分子结构对称,分子中有三种不同化学环境的氢原子,核磁共振氢谱有三组峰,A错误;K和L发生反应生成H₂O和M,L能发生银镜反应,说明L中含有醛基,根据原子守恒可知,1分子K与1分子L反应生成1分子M和2分子H₂O,L应为乙二醛,B错误,D正确;M发生完全水解时,酰胺基水解,得不到K和L,C错误。
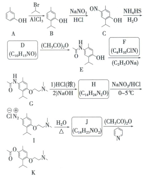
5. (2023·高考新课标卷)莫西赛利(化合物 K)是一种治疗脑血管疾病的药物,可改善脑梗塞或脑出血后遗症等症状。以下为其合成路线之一。

回答下列问题:
(1) A 的化学名称是______。
(2) C 中碳原子的轨道杂化类型有______种。
(3) D 中官能团的名称为______、______。
(4) E 与 F 反应生成 G 的反应类型为______。
(5) F 的结构简式为______。
(6) I 转变为 J 的化学方程式为______。
(7) 在 B 的同分异构体中,同时满足下列条件的共有______种(不考虑立体异构);
①含有手性碳;②含有三个甲基;③含有苯环。
其中,核磁共振氢谱显示为 6 组峰,且峰面积比为 3∶3∶3∶2∶2∶1 的同分异构体的结构简式为______。
回答下列问题:
(1) A 的化学名称是______。
(2) C 中碳原子的轨道杂化类型有______种。
(3) D 中官能团的名称为______、______。
(4) E 与 F 反应生成 G 的反应类型为______。
(5) F 的结构简式为______。
(6) I 转变为 J 的化学方程式为______。
(7) 在 B 的同分异构体中,同时满足下列条件的共有______种(不考虑立体异构);
①含有手性碳;②含有三个甲基;③含有苯环。
其中,核磁共振氢谱显示为 6 组峰,且峰面积比为 3∶3∶3∶2∶2∶1 的同分异构体的结构简式为______。
答案:
解析:
(1)由A的结构简式可知,A的化学名称为间甲基苯酚或3−甲基苯酚。
(2)C中苯环上的碳原子为sp²杂化,苯环侧链上的碳原子均为饱和碳原子,为sp³杂化,故C中碳原子有2种杂化类型。
(3)结合C、E的结构简式及D的分子式可推知,D的结构简式为
,所含官能团的名称为氨基和(酚)羟基。
(4)对比E、G的结构,结合F的分子式可知,F的结构简式为ClCH₂CH₂N(CH₃)₂,E和F发生取代反应生成G和HCl。
(6)对比I、K的结构,结合J的分子式可知,J的结构简式为
,结合原子守恒可知,I和H₂O反应生成J、N₂和HCl。
(7)根据题中限定条件可知,若苯环上含三个取代基:2个—CH₃和1个—CH(CH₃)OH时,三者在苯环上有6种位置关系;若苯环上含两个取代基:—CH₃和—CH(CH₃)OCH₃,二者在苯环上有邻、间、对3种位置关系,故符合条件的B的同分异构体有9种。其中核磁共振氢谱有6组峰,且峰面积比为3∶3∶3∶2∶2∶1的同分异构体的结构简式为
。答案:
(1)间甲基苯酚(或3−甲基苯酚)
(2)2
(3)氨基 (酚)羟基
(4)取代反应
(5)ClCH₂CH₂N(CH₃)₂
(6)
+H₂O△
+N₂↑+HCl
(7)9
解析:
(1)由A的结构简式可知,A的化学名称为间甲基苯酚或3−甲基苯酚。
(2)C中苯环上的碳原子为sp²杂化,苯环侧链上的碳原子均为饱和碳原子,为sp³杂化,故C中碳原子有2种杂化类型。
(3)结合C、E的结构简式及D的分子式可推知,D的结构简式为
(4)对比E、G的结构,结合F的分子式可知,F的结构简式为ClCH₂CH₂N(CH₃)₂,E和F发生取代反应生成G和HCl。
(6)对比I、K的结构,结合J的分子式可知,J的结构简式为
(7)根据题中限定条件可知,若苯环上含三个取代基:2个—CH₃和1个—CH(CH₃)OH时,三者在苯环上有6种位置关系;若苯环上含两个取代基:—CH₃和—CH(CH₃)OCH₃,二者在苯环上有邻、间、对3种位置关系,故符合条件的B的同分异构体有9种。其中核磁共振氢谱有6组峰,且峰面积比为3∶3∶3∶2∶2∶1的同分异构体的结构简式为
(1)间甲基苯酚(或3−甲基苯酚)
(2)2
(3)氨基 (酚)羟基
(4)取代反应
(5)ClCH₂CH₂N(CH₃)₂
(6)
(7)9
查看更多完整答案,请扫码查看