2025年新坐标同步练习高中化学选择性必修第三册人教版青海专版
注:目前有些书本章节名称可能整理的还不是很完善,但都是按照顺序排列的,请同学们按照顺序仔细查找。练习册 2025年新坐标同步练习高中化学选择性必修第三册人教版青海专版 答案主要是用来给同学们做完题方便对答案用的,请勿直接抄袭。
第83页
- 第1页
- 第2页
- 第3页
- 第4页
- 第5页
- 第6页
- 第7页
- 第8页
- 第9页
- 第10页
- 第11页
- 第12页
- 第13页
- 第14页
- 第15页
- 第16页
- 第17页
- 第18页
- 第19页
- 第20页
- 第21页
- 第22页
- 第23页
- 第24页
- 第25页
- 第26页
- 第27页
- 第28页
- 第29页
- 第30页
- 第31页
- 第32页
- 第33页
- 第34页
- 第35页
- 第36页
- 第37页
- 第38页
- 第39页
- 第40页
- 第41页
- 第42页
- 第43页
- 第44页
- 第45页
- 第46页
- 第47页
- 第48页
- 第49页
- 第50页
- 第51页
- 第52页
- 第53页
- 第54页
- 第55页
- 第56页
- 第57页
- 第58页
- 第59页
- 第60页
- 第61页
- 第62页
- 第63页
- 第64页
- 第65页
- 第66页
- 第67页
- 第68页
- 第69页
- 第70页
- 第71页
- 第72页
- 第73页
- 第74页
- 第75页
- 第76页
- 第77页
- 第78页
- 第79页
- 第80页
- 第81页
- 第82页
- 第83页
- 第84页
- 第85页
- 第86页
- 第87页
- 第88页
- 第89页
- 第90页
- 第91页
- 第92页
- 第93页
- 第94页
- 第95页
- 第96页
- 第97页
- 第98页
- 第99页
- 第100页
- 第101页
- 第102页
- 第103页
- 第104页
- 第105页
- 第106页
1. 以乙烯为原料生产环氧乙烷,过去主要使用氯代乙醇法,合成方法为

;现代石油化工采用银作为催化剂,可以实现一步完成,合成方法为
与氯代乙醇法相比,不属于现代合成方法的优点的是(
A.缩短了反应历程
B.原料没有易燃物质
C.对设备腐蚀性小
D.没有副产物,原子利用率为 100%
B
)A.缩短了反应历程
B.原料没有易燃物质
C.对设备腐蚀性小
D.没有副产物,原子利用率为 100%
答案:
B
2. 设计以乙炔为原料合成
的路线:______(用流程图表示,无机试剂任选)。
答案:
$CH\equiv CH\xrightarrow {H_{2}O}CH_{3}CHO\xrightarrow {HCN}CH(OH)CN\xrightarrow {H^{+}}CH(OH)COOH\xrightarrow [△]{浓硫酸}$
$CH\equiv CH\xrightarrow {H_{2}O}CH_{3}CHO\xrightarrow {HCN}CH(OH)CN\xrightarrow {H^{+}}CH(OH)COOH\xrightarrow [△]{浓硫酸}$
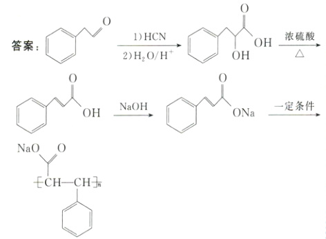
3. 设计以苯乙醛为原料制备吸湿性高分子材料
的合成路线(无机试剂任选):______。
答案:
$\xrightarrow [2)H_{2}O/H^{+}]{1)HCN}$
$\xrightarrow [△]{浓硫酸}$
$\xrightarrow {NaOH}$
$\xrightarrow {一定条件}$
1. 分析下列合成路线:
可推知 Y 的结构简式为(

D
)
答案:
D
2. 在有机合成中,若制得的有机化合物较纯净且易分离,在工业生产上才有实用价值。据此判断下列有机合成一般不适用于工业生产的是(

B.乙烷与氯气在光照条件下制备氯乙烷:$CH_3CH_3 + Cl_2 \xrightarrow{光} CH_3CH_2Cl + HCl$

D.乙烯水化制乙醇:$CH_2 = CH_2 + H_2O \xrightarrow[\triangle]{催化剂} CH_3CH_2OH$
B
)B.乙烷与氯气在光照条件下制备氯乙烷:$CH_3CH_3 + Cl_2 \xrightarrow{光} CH_3CH_2Cl + HCl$
D.乙烯水化制乙醇:$CH_2 = CH_2 + H_2O \xrightarrow[\triangle]{催化剂} CH_3CH_2OH$
答案:
B
查看更多完整答案,请扫码查看