2025年新坐标同步练习高中化学选择性必修第三册人教版青海专版
注:目前有些书本章节名称可能整理的还不是很完善,但都是按照顺序排列的,请同学们按照顺序仔细查找。练习册 2025年新坐标同步练习高中化学选择性必修第三册人教版青海专版 答案主要是用来给同学们做完题方便对答案用的,请勿直接抄袭。
第100页
- 第1页
- 第2页
- 第3页
- 第4页
- 第5页
- 第6页
- 第7页
- 第8页
- 第9页
- 第10页
- 第11页
- 第12页
- 第13页
- 第14页
- 第15页
- 第16页
- 第17页
- 第18页
- 第19页
- 第20页
- 第21页
- 第22页
- 第23页
- 第24页
- 第25页
- 第26页
- 第27页
- 第28页
- 第29页
- 第30页
- 第31页
- 第32页
- 第33页
- 第34页
- 第35页
- 第36页
- 第37页
- 第38页
- 第39页
- 第40页
- 第41页
- 第42页
- 第43页
- 第44页
- 第45页
- 第46页
- 第47页
- 第48页
- 第49页
- 第50页
- 第51页
- 第52页
- 第53页
- 第54页
- 第55页
- 第56页
- 第57页
- 第58页
- 第59页
- 第60页
- 第61页
- 第62页
- 第63页
- 第64页
- 第65页
- 第66页
- 第67页
- 第68页
- 第69页
- 第70页
- 第71页
- 第72页
- 第73页
- 第74页
- 第75页
- 第76页
- 第77页
- 第78页
- 第79页
- 第80页
- 第81页
- 第82页
- 第83页
- 第84页
- 第85页
- 第86页
- 第87页
- 第88页
- 第89页
- 第90页
- 第91页
- 第92页
- 第93页
- 第94页
- 第95页
- 第96页
- 第97页
- 第98页
- 第99页
- 第100页
- 第101页
- 第102页
- 第103页
- 第104页
- 第105页
- 第106页
2. 苯丙氨酸的结构简式为。
(1) 该分子的酸性基团是
(2) 该分子的碱性基团是
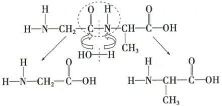
(3) 写出两分子苯丙氨酸形成二肽的化学方程式:
(4) 在一定条件下,两分子苯丙氨酸也可以形成六元环状有机化合物,请写出该反应的化学方程式:
(1) 该分子的酸性基团是
-COOH(或羧基)
,写出苯丙氨酸与NaOH溶液反应的化学方程式:${CH2-CH-COOH}$ ${NH2}$ $+{NaOH}\to{CH2-CH-COONa}+{H2O}$ ${NH2}$
。(2) 该分子的碱性基团是
-${NH2}$(或氨基)
,写出苯丙氨酸与盐酸反应的化学方程式:${CH2-CH-COOH}$ ${NH2}$ $+{HCl}\to{CH2-CH-COOH}$ ${NH2Cl}$
。(3) 写出两分子苯丙氨酸形成二肽的化学方程式:
2${CH2-CH-COOH}\to$ ${NH2}$ ${CH2-CH-C-N-CH-CH2-}+{H2O}$ ${NH2}$ ${COOH}$ ${O}$ ${H}$
。(4) 在一定条件下,两分子苯丙氨酸也可以形成六元环状有机化合物,请写出该反应的化学方程式:
2${CH2-CH-COOH}$ ${NH2}$ 一定条件 ${CH2-CH-NH-C-CH-CH2-}$ ${NH2}$ ${COOH}$ ${O}$ $+{2H2O}$
。
答案:
(1)-COOH(或羧基) ${CH2-CH-COOH}$ ${NH2}$ $+{NaOH}\to{CH2-CH-COONa}+{H2O}$ ${NH2}$
(2)-${NH2}$(或氨基) ${CH2-CH-COOH}$ ${NH2}$ $+{HCl}\to{CH2-CH-COOH}$ ${NH2Cl}$
(3)2${CH2-CH-COOH}\to$ ${NH2}$ ${CH2-CH-C-N-CH-CH2-}+{H2O}$ ${NH2}$ ${COOH}$ ${O}$ ${H}$
(4)2${CH2-CH-COOH}$ ${NH2}$ 一定条件 ${CH2-CH-NH-C-CH-CH2-}$ ${NH2}$ ${COOH}$ ${O}$ $+{2H2O}$
(1)-COOH(或羧基) ${CH2-CH-COOH}$ ${NH2}$ $+{NaOH}\to{CH2-CH-COONa}+{H2O}$ ${NH2}$
(2)-${NH2}$(或氨基) ${CH2-CH-COOH}$ ${NH2}$ $+{HCl}\to{CH2-CH-COOH}$ ${NH2Cl}$
(3)2${CH2-CH-COOH}\to$ ${NH2}$ ${CH2-CH-C-N-CH-CH2-}+{H2O}$ ${NH2}$ ${COOH}$ ${O}$ ${H}$
(4)2${CH2-CH-COOH}$ ${NH2}$ 一定条件 ${CH2-CH-NH-C-CH-CH2-}$ ${NH2}$ ${COOH}$ ${O}$ $+{2H2O}$
1. 蛋白质的组成
蛋白质是由多种①
蛋白质是由多种①
氨基酸
通过②肽键
等相互连接形成的一类生物大分子,主要由③C、H、O、N、S
等元素组成,属于天然有机高分子。
答案:
①氨基酸 ②肽键 ③C、H、O、N、S
2. 蛋白质的结构
蛋白质的结构不仅取决于多肽链的氨基酸种类、数目及排列顺序,还与其特定的空间结构有关。

蛋白质的结构不仅取决于多肽链的氨基酸种类、数目及排列顺序,还与其特定的空间结构有关。
答案:
④氨基酸的排列顺序;⑤氢键;⑥非共价键
3. 蛋白质的化学性质
(1) 两性:形成蛋白质的多肽是由多个氨基酸缩合形成的,在多肽链的两端必然存在着自由的⑦
(2) 水解:蛋白质多肽氨基酸。
肽键水解原理示意图如下:

(3) 盐析
① 概念:少量的某些可溶性盐(如硫酸铵、硫酸钠、氯化钠等)能促进蛋白质的溶解。但当这些盐在蛋白质溶液中达到一定浓度时,反而使蛋白质的溶解度⑨
② 实验探究

(4) 变性
① 含义:在某些物理或化学因素的影响下,蛋白质的⑯

② 实验探究

③ 应用

(5) 显色反应

(6) 蛋白质灼烧有㉕
(1) 两性:形成蛋白质的多肽是由多个氨基酸缩合形成的,在多肽链的两端必然存在着自由的⑦
氨基
与⑧羧基
,同时侧链中也往往存在酸性或碱性基团。因此,蛋白质具有两性,既能与酸反应,又能与碱反应。(2) 水解:蛋白质多肽氨基酸。
肽键水解原理示意图如下:
(3) 盐析
① 概念:少量的某些可溶性盐(如硫酸铵、硫酸钠、氯化钠等)能促进蛋白质的溶解。但当这些盐在蛋白质溶液中达到一定浓度时,反而使蛋白质的溶解度⑨
降低
而使其从溶液中析出,这种作用称为盐析。② 实验探究
(4) 变性
① 含义:在某些物理或化学因素的影响下,蛋白质的⑯
性质
和⑰生理功能
发生改变的现象称为蛋白质的变性。② 实验探究
③ 应用
(5) 显色反应
(6) 蛋白质灼烧有㉕
类似烧焦羽毛
的特殊气味,可用于蛋白质的鉴别。
答案:
⑦氨基 ⑧羧基 ⑨降低 ⑩白色沉淀 ⑪沉淀溶解 ⑫可逆 ⑬活性 ⑭盐析 ⑮溶解 ⑯性质 ⑰生理功能 ⑱白色沉淀 ⑲沉淀均不溶解 ⑳不能重新溶解 ㉑不可逆 ㉒白色沉淀 ㉓黄色 ㉔黄色沉淀 ㉕类似烧焦羽毛
查看更多完整答案,请扫码查看