2025年新坐标同步练习高中化学选择性必修第三册人教版青海专版
注:目前有些书本章节名称可能整理的还不是很完善,但都是按照顺序排列的,请同学们按照顺序仔细查找。练习册 2025年新坐标同步练习高中化学选择性必修第三册人教版青海专版 答案主要是用来给同学们做完题方便对答案用的,请勿直接抄袭。
第2页
- 第1页
- 第2页
- 第3页
- 第4页
- 第5页
- 第6页
- 第7页
- 第8页
- 第9页
- 第10页
- 第11页
- 第12页
- 第13页
- 第14页
- 第15页
- 第16页
- 第17页
- 第18页
- 第19页
- 第20页
- 第21页
- 第22页
- 第23页
- 第24页
- 第25页
- 第26页
- 第27页
- 第28页
- 第29页
- 第30页
- 第31页
- 第32页
- 第33页
- 第34页
- 第35页
- 第36页
- 第37页
- 第38页
- 第39页
- 第40页
- 第41页
- 第42页
- 第43页
- 第44页
- 第45页
- 第46页
- 第47页
- 第48页
- 第49页
- 第50页
- 第51页
- 第52页
- 第53页
- 第54页
- 第55页
- 第56页
- 第57页
- 第58页
- 第59页
- 第60页
- 第61页
- 第62页
- 第63页
- 第64页
- 第65页
- 第66页
- 第67页
- 第68页
- 第69页
- 第70页
- 第71页
- 第72页
- 第73页
- 第74页
- 第75页
- 第76页
- 第77页
- 第78页
- 第79页
- 第80页
- 第81页
- 第82页
- 第83页
- 第84页
- 第85页
- 第86页
- 第87页
- 第88页
- 第89页
- 第90页
- 第91页
- 第92页
- 第93页
- 第94页
- 第95页
- 第96页
- 第97页
- 第98页
- 第99页
- 第100页
- 第101页
- 第102页
- 第103页
- 第104页
- 第105页
- 第106页
2. 下列有机化合物依据碳骨架进行分类,其中与其他三种有机化合物属于不同类别的是(

C
)
答案:
C
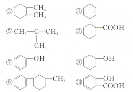
3. (教材习题改编)现有以下几种物质:


(1) 属于脂环化合物的有
(2) 属于芳香族化合物的有
(3) 属于脂肪烃的有
(4) 属于脂环烃衍生物的有
(1) 属于脂环化合物的有
③④⑥⑧
。(2) 属于芳香族化合物的有
②⑦⑨⑩
。(3) 属于脂肪烃的有
①⑤
。(4) 属于脂环烃衍生物的有
⑥⑧
。
答案:
(1)③④⑥⑧
(2)②⑦⑨⑩
(3)①⑤
(4)⑥⑧
(1)③④⑥⑧
(2)②⑦⑨⑩
(3)①⑤
(4)⑥⑧
1. 烃的衍生物及官能团
(1) 烃的衍生物:烃分子中的氢原子被①______所取代而形成的一系列新的化合物,如一氯甲烷、甲醇、甲醛等。
(2) 官能团:决定有机化合物特性的原子或原子团。
(1) 烃的衍生物:烃分子中的氢原子被①______所取代而形成的一系列新的化合物,如一氯甲烷、甲醇、甲醛等。
(2) 官能团:决定有机化合物特性的原子或原子团。
答案:
①其他原子或原子团
2. 常见有机化合物的主要类别、官能团及代表物


答案:
②C=C ③羟基 ④羟基 ⑤
⑥醛基 ⑦羧基 ⑧酯基 ⑨—NH₂ ⑩氨基 ⑪酰胺基
②C=C ③羟基 ④羟基 ⑤
查看更多完整答案,请扫码查看