2025年新坐标同步练习高中化学选择性必修第三册人教版青海专版
注:目前有些书本章节名称可能整理的还不是很完善,但都是按照顺序排列的,请同学们按照顺序仔细查找。练习册 2025年新坐标同步练习高中化学选择性必修第三册人教版青海专版 答案主要是用来给同学们做完题方便对答案用的,请勿直接抄袭。
第75页
- 第1页
- 第2页
- 第3页
- 第4页
- 第5页
- 第6页
- 第7页
- 第8页
- 第9页
- 第10页
- 第11页
- 第12页
- 第13页
- 第14页
- 第15页
- 第16页
- 第17页
- 第18页
- 第19页
- 第20页
- 第21页
- 第22页
- 第23页
- 第24页
- 第25页
- 第26页
- 第27页
- 第28页
- 第29页
- 第30页
- 第31页
- 第32页
- 第33页
- 第34页
- 第35页
- 第36页
- 第37页
- 第38页
- 第39页
- 第40页
- 第41页
- 第42页
- 第43页
- 第44页
- 第45页
- 第46页
- 第47页
- 第48页
- 第49页
- 第50页
- 第51页
- 第52页
- 第53页
- 第54页
- 第55页
- 第56页
- 第57页
- 第58页
- 第59页
- 第60页
- 第61页
- 第62页
- 第63页
- 第64页
- 第65页
- 第66页
- 第67页
- 第68页
- 第69页
- 第70页
- 第71页
- 第72页
- 第73页
- 第74页
- 第75页
- 第76页
- 第77页
- 第78页
- 第79页
- 第80页
- 第81页
- 第82页
- 第83页
- 第84页
- 第85页
- 第86页
- 第87页
- 第88页
- 第89页
- 第90页
- 第91页
- 第92页
- 第93页
- 第94页
- 第95页
- 第96页
- 第97页
- 第98页
- 第99页
- 第100页
- 第101页
- 第102页
- 第103页
- 第104页
- 第105页
- 第106页
3. 合成某种具有解毒消肿、祛风活络的功能药物的中间体(${M}$)的结构简式如右图所示。下列有关${M}$的说法错误的是

(
A.${1 mol M}最多能与{5 mol H_{2}}$发生加成反应
B.${1 mol M}最多消耗{4 mol NaOH}$
C.该分子中所有原子不可能在同一平面
D.环上的一氯代物有${3}$种
(
A
)A.${1 mol M}最多能与{5 mol H_{2}}$发生加成反应
B.${1 mol M}最多消耗{4 mol NaOH}$
C.该分子中所有原子不可能在同一平面
D.环上的一氯代物有${3}$种
答案:
解析:选A。A.M中能与H₂发生加成反应的结构有苯环、碳碳双键,酯基中的碳氧双键不能与氢气发生加成反应,1molM 最多能与4mol氢气发生加成反应,故A说法错误;B.M中能与NaOH反应的官能团是(酚)羟基、酯基,根据M的结构简式可知,1molM中含有2mol(酚)羟基和1mol酚酯基,1mol 酚酯基消耗2molNaOH,因此1molM最多消耗4mol NaOH,故B说法正确;C.根据M的结构简式可知,该有机化合物中含有sp³杂化的C原子,sp³杂化的C原子形成4个单键,其空间结构为四面体形,因此M中所有原子不可能在同一平面,故C说法正确;D.根据M的结构简式可知,M中含有苯环、杂环,苯环上只有一种化学环境的氢原子,杂环上有两种不同化学环境的氢原子,因此环上的一氯代物有3种,故D说法正确。
4. (2024·长沙长郡中学高二月考) 地西泮是一种抑制中枢神经的药物,其结构如右图所示。下列有关该药物的说法中,错误的是(

A.地西泮中所有原子不可能共平面
B.地西泮的分子式为${C_{15}H_{12}ClN_{2}O}$
C.地西泮分子中有${8}$种不同化学环境的氢原子
D.地西泮能发生加成、取代、氧化和还原等反应
B
)A.地西泮中所有原子不可能共平面
B.地西泮的分子式为${C_{15}H_{12}ClN_{2}O}$
C.地西泮分子中有${8}$种不同化学环境的氢原子
D.地西泮能发生加成、取代、氧化和还原等反应
答案:
解析:选B。A.由结构简式可知,地西泮中存在N H结构,该结构为三角锥形,因此所有原子不可能共平面,故A正确。B.由结构简式可知,地西泮的分子式为C₁₆H₁₃ClN₂O,故B错误。C.由结构简式可知,地西泮分子中含有8种不同化学环境的氢原子,故C正确。D.由结构简式可知,地西泮含有苯环和碳氮双键,能发生加成反应;含有酰胺基,能发生水解反应(即取代反应);含有碳氮双键,能发生还原反应;可以燃烧,能发生氧化反应,故D正确。
5. (2023·新高考山东卷) 抗生素克拉维酸的结构简式如右图所示,下列关于克拉维酸的说法错误的是

(
A.存在顺反异构
B.含有${5}$种官能团
C.可形成分子内氢键和分子间氢键
D.${1 mol}该物质最多可与{1 mol NaOH}$反应
(
D
)A.存在顺反异构
B.含有${5}$种官能团
C.可形成分子内氢键和分子间氢键
D.${1 mol}该物质最多可与{1 mol NaOH}$反应
答案:
解析:选D。由克拉维酸的分子结构可以看出,双键碳原子均连有不同的原子或原子团,因此克拉维酸存在顺反异构,A正确;分子结构中含有醚键、酰胺基、碳碳双键、羟基和羧基共5 种官能团,B正确;克拉维酸分子结构中含有羟基和羧基,能形成分子内氢键和分子间氢键,C正确;克拉维酸分子结构中的羧基和酰胺基都能与NaOH反应,1mol该物质最多可与2molNaOH反应,D错误。
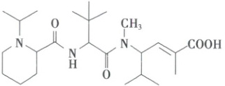
6. (2022·新高考海南卷改编) 化合物“${E7974}$”具有抗肿瘤活性,结构简式如下,下列有关该化合物的说法正确的是

(
A.能使${Br_{2}}的{CCl_{4}}$溶液褪色
B.分子中含有${3}$种官能团
C.在酸性条件下的水解产物之一为氨
D.${1 mol}该化合物最多与{2 mol NaOH}$反应
(
A
)A.能使${Br_{2}}的{CCl_{4}}$溶液褪色
B.分子中含有${3}$种官能团
C.在酸性条件下的水解产物之一为氨
D.${1 mol}该化合物最多与{2 mol NaOH}$反应
答案:
解析:选A。A.“E7974”分子中含有碳碳双键,能使Br₂的CCl₄溶液褪色,A正确;B.由结构简式可知,该化合物分子中含有次氨基、酰胺基、碳碳双键、羧基共4种官能团,B错误;C.“E7974"在酸性条件下的水解产物之一应为铵盐,C错误;D.“E7974"分子中酰胺基和羧基均能与NaOH溶液反应,故1mol该化合物最多与3molNaOH反应,D错误。
1. 有机合成
使用相对简单易得的原料,通过有机化学反应来构建①
使用相对简单易得的原料,通过有机化学反应来构建①
碳骨架
和引入②官能团
,由此合成出具有特定结构和性质的目标分子。
答案:
①碳骨架 ②官能团
2. 构建碳骨架
(1) 碳链的增长
① 炔烃与HCN加成

② 醛与HCN加成

当极性分子与醛加成时,带正电荷的原子或原子团连接在⑤
③ 羟醛缩合反应生成烯醛
醛分子中在醛基邻位碳原子上的氢原子(α-H)受羰基吸电子作用的影响,具有一定的活泼性。分子内含有α-H的醛在一定条件下可发生加成反应,生成β-羟基醛,该产物易失水,得到α,β-不饱和醛。

(1) 碳链的增长
① 炔烃与HCN加成
② 醛与HCN加成
当极性分子与醛加成时,带正电荷的原子或原子团连接在⑤
氧原子
上,带负电荷的原子或原子团连接在⑥碳原子
上。③ 羟醛缩合反应生成烯醛
醛分子中在醛基邻位碳原子上的氢原子(α-H)受羰基吸电子作用的影响,具有一定的活泼性。分子内含有α-H的醛在一定条件下可发生加成反应,生成β-羟基醛,该产物易失水,得到α,β-不饱和醛。
答案:
③CH₂=CHCN 丙烯腈 ④CH₂=CHCOOH ⑤氧原子 ⑥碳原子 ⑦CH₃-CH=CHCHO + H₂O
查看更多完整答案,请扫码查看