第8页
- 第1页
- 第2页
- 第3页
- 第4页
- 第5页
- 第6页
- 第7页
- 第8页
- 第9页
- 第10页
- 第11页
- 第12页
- 第13页
- 第14页
- 第15页
- 第16页
- 第17页
- 第18页
- 第19页
- 第20页
- 第21页
- 第22页
- 第23页
- 第24页
- 第25页
- 第26页
- 第27页
- 第28页
- 第29页
- 第30页
- 第31页
- 第32页
- 第33页
- 第34页
- 第35页
- 第36页
- 第37页
- 第38页
- 第39页
- 第40页
- 第41页
- 第42页
- 第43页
- 第44页
- 第45页
- 第46页
- 第47页
- 第48页
- 第49页
- 第50页
- 第51页
- 第52页
- 第53页
- 第54页
- 第55页
- 第56页
- 第57页
- 第58页
- 第59页
- 第60页
- 第61页
- 第62页
- 第63页
- 第64页
- 第65页
- 第66页
- 第67页
- 第68页
- 第69页
- 第70页
- 第71页
- 第72页
- 第73页
- 第74页
- 第75页
- 第76页
- 第77页
- 第78页
- 第79页
- 第80页
- 第81页
- 第82页
- 第83页
- 第84页
- 第85页
- 第86页
- 第87页
1. 填空题。
(1) 7.8×0.8×1.25 =
(2) (8 + 10)×12.5 =
(1) 7.8×0.8×1.25 =
7.8
× (0.8
× 1.25
) (2) (8 + 10)×12.5 =
8
× 12.5
+ 10
× 12.5
(3) 1.7×4.2 + 1.7×5.8 = 1.7
× (4.2
+ 5.8
)
答案:
1.
(1)7.8 0.8 1.25
(2)8 12.5 10 12.5
(3)1.7 4.2 5.8
(1)7.8 0.8 1.25
(2)8 12.5 10 12.5
(3)1.7 4.2 5.8
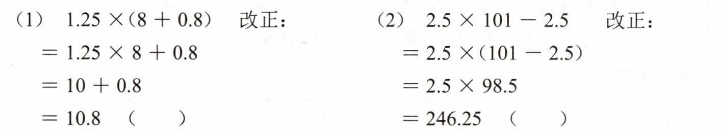
2. 下面的计算正确吗?把不正确的改正过来。

(1)不正确
1.25×(8+0.8)
=1.25×8+1.25×0.8
=10+1
=11
(2)不正确
2.5×101-2.5
=2.5×(101-1)
=2.5×100
=250
(1)不正确
1.25×(8+0.8)
=1.25×8+1.25×0.8
=10+1
=11
(2)不正确
2.5×101-2.5
=2.5×(101-1)
=2.5×100
=250
答案:
2.
(1)不正确
1.25×(8+0.8)
=1.25×8+1.25×0.8
=10+1
=11
(2)不正确
2.5×101-2.5
=2.5×(101-1)
=2.5×100
=250
(1)不正确
1.25×(8+0.8)
=1.25×8+1.25×0.8
=10+1
=11
(2)不正确
2.5×101-2.5
=2.5×(101-1)
=2.5×100
=250
3. 用简便方法计算。
$ 8.71×47 + 8.71×53 $ $ 50×0.13×0.2 $ $ 1.01×2.6 $
$ 8.71×47 + 8.71×53 $ $ 50×0.13×0.2 $ $ 1.01×2.6 $
答案:
8.71×47+8.71×53
=8.71×(47+53)
=8.71×100
=871
50×0.13×0.2
=50×0.2×0.13
=10×0.13
=1.3
1.01×2.6
=1×2.6+0.01×2.6
=2.6+0.026
=2.626
=8.71×(47+53)
=8.71×100
=871
50×0.13×0.2
=50×0.2×0.13
=10×0.13
=1.3
1.01×2.6
=1×2.6+0.01×2.6
=2.6+0.026
=2.626
4. 4 月 23 日是世界图书与版权日。某小学举行了以“大手牵小手,亲子同阅读”为主题的读书活动。该小学购进绘本和国学读物各 140 本,其中绘本每本 18.7 元,国学读物每本 11.3 元。买这些书一共花了多少钱?(用两种方法解答)
答案:
方法一:140×18.7+140×11.3=4200(元)
方法二:140×(18.7+11.3)=4200(元)
方法二:140×(18.7+11.3)=4200(元)
5. 用简便方法计算:$ 6.3×0.37 + 0.63×3.9 + 0.063×24 $。
答案:
6.3×0.37+0.63×3.9+0.063×24
=6.3×0.37+6.3×0.39+6.3×0.24
=6.3×(0.37+0.39+0.24)
=6.3×1
=6.3 (方法不唯一)
=6.3×0.37+6.3×0.39+6.3×0.24
=6.3×(0.37+0.39+0.24)
=6.3×1
=6.3 (方法不唯一)
查看更多完整答案,请扫码查看