1.直接写出得数。
1.2÷0.4=
2.7÷0.9=
100×0.7=
2.4×0.3=
1.2÷0.4=
3
2.7÷0.9=
3
100×0.7=
70
2.4×0.3=
0.72
答案:
3
3
70
0.72
3
70
0.72
2.把下面的算式转化为除数是整数的算式。
(1)9.6÷0.48= (
(2)9.36÷1.2= (
(1)9.6÷0.48= (
960
)÷48(2)9.36÷1.2= (
936
)÷(120
)
答案:
960
936
120
936
120
3.圈一圈,填一填。
3.2÷0.4=
8
答案:
8
4.用竖式计算。
6.1÷0.05
12.8÷0.08
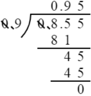
0.855÷0.9
6.1÷0.05
12.8÷0.08
0.855÷0.9
答案:
=122
=160
=0.95


=122
=160
=0.95
5.解决问题。
一桶水24升,每0.4升倒满一杯。一桶水一共可以倒满多少杯?
一桶水24升,每0.4升倒满一杯。一桶水一共可以倒满多少杯?
答案:
24÷0.4=60(杯)
答:一桶水一共可以倒满60杯。
答:一桶水一共可以倒满60杯。
6.杨叔叔要做一块长方形画板,画板的宽是3.6米,要使画板的面积是15.48平方米,这块画板的周长是多少米?
答案:
15.48÷3.6=4.3(米)
(3.6+4.3)×2=15.8(米)
答:这块画板的周长是15.8米。
(3.6+4.3)×2=15.8(米)
答:这块画板的周长是15.8米。
查看更多完整答案,请扫码查看