第4页
- 第1页
- 第2页
- 第3页
- 第4页
- 第5页
- 第6页
- 第7页
- 第8页
- 第9页
- 第10页
- 第11页
- 第12页
- 第13页
- 第14页
- 第15页
- 第16页
- 第17页
- 第18页
- 第19页
- 第20页
- 第21页
- 第22页
- 第23页
- 第24页
- 第25页
- 第26页
- 第27页
- 第28页
- 第29页
- 第30页
- 第31页
- 第32页
- 第33页
- 第34页
- 第35页
- 第36页
- 第37页
- 第38页
- 第39页
- 第40页
- 第41页
- 第42页
- 第43页
- 第44页
- 第45页
- 第46页
- 第47页
- 第48页
- 第49页
- 第50页
- 第51页
- 第52页
- 第53页
- 第54页
- 第55页
- 第56页
- 第57页
- 第58页
- 第59页
- 第60页
- 第61页
- 第62页
- 第63页
- 第64页
- 第65页
- 第66页
- 第67页
- 第68页
1 选一选。
(1)下面算式中,计算错误的算式为(

(2)下面四个算式中,积在$\frac{1}{4}和\frac{2}{3}$之间的是(
A. $\frac{2}{3}×\frac{1}{6}$
B. $\frac{1}{4}×\frac{7}{10}$
C. $\frac{1}{2}×\frac{2}{3}$
D. $\frac{1}{3}×\frac{9}{4}$
(1)下面算式中,计算错误的算式为(
B
),计算过程不够简便的算式为(C
)。(2)下面四个算式中,积在$\frac{1}{4}和\frac{2}{3}$之间的是(
C
)。A. $\frac{2}{3}×\frac{1}{6}$
B. $\frac{1}{4}×\frac{7}{10}$
C. $\frac{1}{2}×\frac{2}{3}$
D. $\frac{1}{3}×\frac{9}{4}$
答案:
(1)B C
(2)C
(1)B C
(2)C
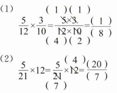
2 算一算,填一填。

答案:
3 直接写出得数。
$\frac{14}{11}×\frac{33}{7}=$
$\frac{14}{17}×\frac{17}{28}=$
$\frac{10}{27}×3=$
$\frac{2}{9}×\frac{27}{8}=$
$\frac{14}{11}×\frac{33}{7}=$
6
$\frac{14}{17}×\frac{17}{28}=$
$\frac {1}{2}$
$\frac{10}{27}×3=$
$\frac {10}{9}$
$\frac{2}{9}×\frac{27}{8}=$
$\frac {3}{4}$
答案:
6 $\frac {1}{2}$ $\frac {10}{9}$ $\frac {3}{4}$
4 每公顷柳杉林每年可吸收$\frac{18}{25}$t二氧化硫。$\frac{5}{12}$公顷柳杉林每年可吸收多少吨二氧化硫?50公顷柳杉林呢?
答案:
$\frac {18}{25}×\frac {5}{12}=\frac {3}{10}(t)$ $\frac {18}{25}×50=36(t)$答:$\frac {5}{12}$公顷柳杉林每年可吸收$\frac {3}{10}$t 二氧化硫;50 公顷柳杉林每年可吸收 36 t 二氧化硫。
5 研究表明,当纯果汁占果汁的$\frac{2}{25}$时,最有利于人体吸收。小滨要冲调$\frac{10}{3}$L果汁,准备了$\frac{1}{3}$L纯果汁,这样冲调是最合适的吗?(通过计算说明)
答案:
$\frac {10}{3}×\frac {2}{25}=\frac {4}{15}(L)$ $\frac {4}{15}L≠\frac {1}{3}L$答:这样冲调不是最合适的。
6 下面的□里可以填的最大整数是多少?
$\frac{7}{15}×\frac{5}{8}<\frac{7}{□}$
$\frac{4}{5}×\frac{□}{8}<\frac{5}{8}$
$\frac{8}{9}×\frac{□}{6}<\frac{2}{3}$
$\frac{4}{7}×\frac{□}{3}<1$
$\frac{7}{15}×\frac{5}{8}<\frac{7}{□}$
23
$\frac{4}{5}×\frac{□}{8}<\frac{5}{8}$
6
$\frac{8}{9}×\frac{□}{6}<\frac{2}{3}$
4
$\frac{4}{7}×\frac{□}{3}<1$
5
答案:
23 6 4 5解析 因为$\frac {7}{15}×\frac {5}{8}=\frac {7}{24}<\frac {7}{□}$,所以$□<24$,□里可以填的最大整数是 23。因为$\frac {4}{5}×\frac {□}{8}=\frac {4×□}{40},\frac {5}{8}=\frac {25}{40}$,所以$4×□<25$,□里可以填的最大整数是 6。因为$\frac {8}{9}×\frac {□}{6}=\frac {4×□}{27},\frac {2}{3}=\frac {18}{27}$,所以$4×□<18$,□里可以填的最大整数是 4。因为$\frac {4}{7}×\frac {□}{3}=\frac {4×□}{21},1=\frac {21}{21}$,所以$4×□<21$,□里可以填的最大整数是 5。
查看更多完整答案,请扫码查看