第50页
- 第1页
- 第2页
- 第3页
- 第4页
- 第5页
- 第6页
- 第7页
- 第8页
- 第9页
- 第10页
- 第11页
- 第12页
- 第13页
- 第14页
- 第15页
- 第16页
- 第17页
- 第18页
- 第19页
- 第20页
- 第21页
- 第22页
- 第23页
- 第24页
- 第25页
- 第26页
- 第27页
- 第28页
- 第29页
- 第30页
- 第31页
- 第32页
- 第33页
- 第34页
- 第35页
- 第36页
- 第37页
- 第38页
- 第39页
- 第40页
- 第41页
- 第42页
- 第43页
- 第44页
- 第45页
- 第46页
- 第47页
- 第48页
- 第49页
- 第50页
- 第51页
- 第52页
- 第53页
- 第54页
- 第55页
- 第56页
- 第57页
- 第58页
- 第59页
- 第60页
- 第61页
- 第62页
- 第63页
- 第64页
- 第65页
- 第66页
- 第67页
- 第68页
- 第69页
- 第70页
- 第71页
- 第72页
- 第73页
- 第74页
- 第75页
- 第76页
(1)
树状算图:

算式:
(2)
树状算图:
算式:
树状算图:
算式:
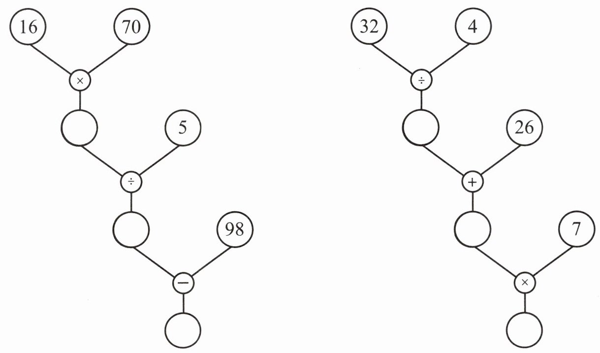
16×70÷5 - 98=1120÷5 - 98=224 - 98 = 126
(2)
树状算图:
算式:
(32÷4 + 26)×7=(8 + 26)×7=34×7 = 238
答案:
(1)
解析:本题考查树状算图的计算顺序,根据图中信息,先计算$16×70 = 1120$,再计算$1120÷5 = 224$,最后计算$224−98 = 126$。
答案为:$16×70÷5 - 98=1120÷5 - 98=224 - 98 = 126$。
(2)
解析:本题考查树状算图的计算顺序,根据图中信息,先计算$32÷4 = 8$,再计算$8 + 26 = 34$,最后计算$34×7 = 238$。
答案为:$(32÷4 + 26)×7=(8 + 26)×7=34×7 = 238$。
(1)
解析:本题考查树状算图的计算顺序,根据图中信息,先计算$16×70 = 1120$,再计算$1120÷5 = 224$,最后计算$224−98 = 126$。
答案为:$16×70÷5 - 98=1120÷5 - 98=224 - 98 = 126$。
(2)
解析:本题考查树状算图的计算顺序,根据图中信息,先计算$32÷4 = 8$,再计算$8 + 26 = 34$,最后计算$34×7 = 238$。
答案为:$(32÷4 + 26)×7=(8 + 26)×7=34×7 = 238$。
查看更多完整答案,请扫码查看