第49页
- 第1页
- 第2页
- 第3页
- 第4页
- 第5页
- 第6页
- 第7页
- 第8页
- 第9页
- 第10页
- 第11页
- 第12页
- 第13页
- 第14页
- 第15页
- 第16页
- 第17页
- 第18页
- 第19页
- 第20页
- 第21页
- 第22页
- 第23页
- 第24页
- 第25页
- 第26页
- 第27页
- 第28页
- 第29页
- 第30页
- 第31页
- 第32页
- 第33页
- 第34页
- 第35页
- 第36页
- 第37页
- 第38页
- 第39页
- 第40页
- 第41页
- 第42页
- 第43页
- 第44页
- 第45页
- 第46页
- 第47页
- 第48页
- 第49页
- 第50页
- 第51页
- 第52页
- 第53页
- 第54页
- 第55页
- 第56页
- 第57页
- 第58页
- 第59页
- 第60页
- 第61页
- 第62页
- 第63页
- 第64页
- 第65页
- 第66页
- 第67页
- 第68页
- 第69页
- 第70页
- 第71页
- 第72页
- 第73页
- 第74页
- 第75页
- 第76页
1 根据树状算图计算并写出算式。
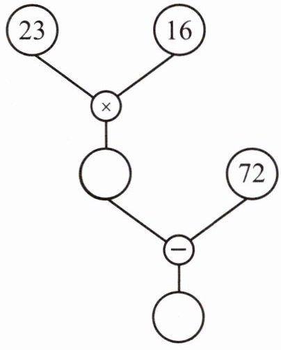
(1)

算式:
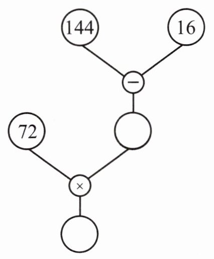
(2)

算式:
(3)

算式:
(1)
算式:
$23 × 16 = 368$;$368 - 72 = 296$
(2)
算式:
$144 - 16 = 128$;$128 × 72 = 9216$
(3)
算式:
$63 × 7 = 441$;$279 ÷ 9 = 31$;$441 + 31 = 472$
答案:
(1)
第一步计算$23$和$16$的乘积:$23 × 16 = 368$;
第二步用上面得到的结果减去$72$:$368 - 72 = 296$。
算式:
$23 × 16 = 368$;
$368 - 72 = 296$。
(2)
第一步计算$144$和$16$的差:$144 - 16 = 128$;
第二步用上面得到的结果乘以$72$:$128 × 72 = 9216$。
算式:
$144 - 16 = 128$;
$128 × 72 = 9216$。
(3)
第一步计算$63$和$7$的乘积:$63 × 7 = 441$;
第二步用$279$除以$9$:$279 ÷ 9 = 31$;
第三步将上面两个结果相加:$441 + 31 = 472$。
算式:
$63 × 7 = 441$;
$279 ÷ 9 = 31$;
$441 + 31 = 472$。
(1)
第一步计算$23$和$16$的乘积:$23 × 16 = 368$;
第二步用上面得到的结果减去$72$:$368 - 72 = 296$。
算式:
$23 × 16 = 368$;
$368 - 72 = 296$。
(2)
第一步计算$144$和$16$的差:$144 - 16 = 128$;
第二步用上面得到的结果乘以$72$:$128 × 72 = 9216$。
算式:
$144 - 16 = 128$;
$128 × 72 = 9216$。
(3)
第一步计算$63$和$7$的乘积:$63 × 7 = 441$;
第二步用$279$除以$9$:$279 ÷ 9 = 31$;
第三步将上面两个结果相加:$441 + 31 = 472$。
算式:
$63 × 7 = 441$;
$279 ÷ 9 = 31$;
$441 + 31 = 472$。
查看更多完整答案,请扫码查看