第39页
- 第1页
- 第2页
- 第3页
- 第4页
- 第5页
- 第6页
- 第7页
- 第8页
- 第9页
- 第10页
- 第11页
- 第12页
- 第13页
- 第14页
- 第15页
- 第16页
- 第17页
- 第18页
- 第19页
- 第20页
- 第21页
- 第22页
- 第23页
- 第24页
- 第25页
- 第26页
- 第27页
- 第28页
- 第29页
- 第30页
- 第31页
- 第32页
- 第33页
- 第34页
- 第35页
- 第36页
- 第37页
- 第38页
- 第39页
- 第40页
- 第41页
- 第42页
- 第43页
- 第44页
- 第45页
- 第46页
- 第47页
- 第48页
- 第49页
- 第50页
- 第51页
- 第52页
- 第53页
- 第54页
- 第55页
- 第56页
- 第57页
- 第58页
- 第59页
- 第60页
- 第61页
- 第62页
- 第63页
- 第64页
- 第65页
- 第66页
- 第67页
- 第68页
- 第69页
- 第70页
- 第71页
- 第72页
- 第73页
- 第74页
- 第75页
- 第76页
- 第77页
- 第78页
- 第79页
- 第80页
- 第81页
- 第82页
- 第83页
- 第84页
- 第85页
- 第86页
- 第87页
- 第88页
- 第89页
- 第90页
- 第91页
- 第92页
- 第93页
- 第94页
- 第95页
- 第96页
- 第97页
- 第98页
- 第99页
- 第100页
- 第101页
- 第102页
- 第103页
- 第104页
- 第105页
- 第106页
- 第107页
- 第108页
- 第109页
- 第110页
- 第111页
- 第112页
- 第113页
- 第114页
- 第115页
- 第116页
- 第117页
- 第118页
- 第119页
- 第120页
- 第121页
- 第122页
- 第123页
- 第124页
- 第125页
- 第126页
- 第127页
- 第128页
- 第129页
- 第130页
- 第131页
- 第132页
- 第133页
- 第134页
- 第135页
- 第136页
跨学科实践活动 2 制作模型并展示科学家探索物质组成与结构的历程
【活动目标】
通过制作模型和展示科学家的探索历程,进一步认识物质的组成与结构。
【活动设计与实施】
任务一 探究构成物质的微观粒子
1. 生活中许多实例可以证明物质是由微观粒子构成的,请从微观角度解释下列现象。
(1)用酒精消毒时,可以闻到酒精的气味:_______。
(2)给自行车轮胎打气时,空气不断被压缩到轮胎中:_______。
(3)炒菜时加热食用油时,油的香气更加浓烈:_______。
任务二 认识模型在探索物质组成与结构中的作用
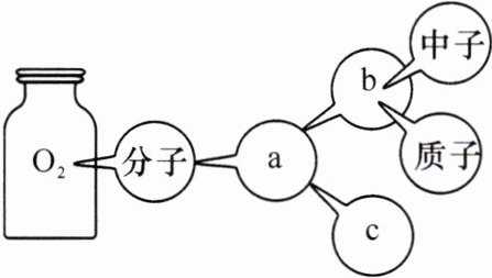
2. 概括微观粒子与物质的层次关系。
如图是某同学学习物质结构后以氧气为例进行的梳理,请写出 a、b、c 分别代表的结构层次。

a:_______ b:_______ c:_______
3. 了解原子结构的认知历程。
请回答下列问题:
(1)在汤姆孙之前,科学家认为原子是实心球体,1897 年,汤姆孙等人通过实验发现了带负电荷的电子,他推测原子中还有带正电荷的物质,他推测的依据是_______。
(2)1909 年,英国的物理学家卢瑟福为了探索原子的内部结构进行了著名的 α 粒子(带正电荷)散射实验,α 粒子运动轨迹示意图如下图所示。

① 由实验现象可以推理得出的结论有_______(填字母)。
A. 原子核带正电荷
B. 原子核由质子和中子构成
C. 原子内部有很大的空间
② 卢瑟福用 α 粒子轰击氮原子核,发现了一种新粒子,这种粒子带一个单位的正电荷,其质量与氢原子质量相近,这种粒子的名称为_______。
(3)根据原子结构及原子的发现历程判断,下列观点正确的是_______(填字母)。
A. 科学模型的建立是一个不断完善、修正的过程
B. 模型是一种重要的方法,人类借助模型构建,对原子的认识逐渐接近本质
C. 科学结论的得出要依据客观事实,面对前人的观点要敢于质疑
D. 科学理论的发展过程是发现并改正前人错误认识的历程
任务三 以水为例梳理物质组成与结构的认识思路
4. 在制作水分子的模型时,活动小组对水的组成与结构进行了讨论,下列讨论中关于水(${H_{2}O}$)的说法错误的是_______(填字母)。
A. 1 个水分子由 1 个氢气分子和 1 个氧原子构成
B. 水由氢元素和氧元素组成
C. 水不显电性,因此水中不存在带电荷的微观粒子
【展示与交流】
5. 经过对科学家探索物质组成与结构的历程的学习和水的组成与结构讨论后,小组同学制作了如下的分子模型,下列模型可以表示水分子的是( )

【活动目标】
通过制作模型和展示科学家的探索历程,进一步认识物质的组成与结构。
【活动设计与实施】
任务一 探究构成物质的微观粒子
1. 生活中许多实例可以证明物质是由微观粒子构成的,请从微观角度解释下列现象。
(1)用酒精消毒时,可以闻到酒精的气味:_______。
(2)给自行车轮胎打气时,空气不断被压缩到轮胎中:_______。
(3)炒菜时加热食用油时,油的香气更加浓烈:_______。
任务二 认识模型在探索物质组成与结构中的作用
2. 概括微观粒子与物质的层次关系。
如图是某同学学习物质结构后以氧气为例进行的梳理,请写出 a、b、c 分别代表的结构层次。
a:_______ b:_______ c:_______
3. 了解原子结构的认知历程。
请回答下列问题:
(1)在汤姆孙之前,科学家认为原子是实心球体,1897 年,汤姆孙等人通过实验发现了带负电荷的电子,他推测原子中还有带正电荷的物质,他推测的依据是_______。
(2)1909 年,英国的物理学家卢瑟福为了探索原子的内部结构进行了著名的 α 粒子(带正电荷)散射实验,α 粒子运动轨迹示意图如下图所示。
① 由实验现象可以推理得出的结论有_______(填字母)。
A. 原子核带正电荷
B. 原子核由质子和中子构成
C. 原子内部有很大的空间
② 卢瑟福用 α 粒子轰击氮原子核,发现了一种新粒子,这种粒子带一个单位的正电荷,其质量与氢原子质量相近,这种粒子的名称为_______。
(3)根据原子结构及原子的发现历程判断,下列观点正确的是_______(填字母)。
A. 科学模型的建立是一个不断完善、修正的过程
B. 模型是一种重要的方法,人类借助模型构建,对原子的认识逐渐接近本质
C. 科学结论的得出要依据客观事实,面对前人的观点要敢于质疑
D. 科学理论的发展过程是发现并改正前人错误认识的历程
任务三 以水为例梳理物质组成与结构的认识思路
4. 在制作水分子的模型时,活动小组对水的组成与结构进行了讨论,下列讨论中关于水(${H_{2}O}$)的说法错误的是_______(填字母)。
A. 1 个水分子由 1 个氢气分子和 1 个氧原子构成
B. 水由氢元素和氧元素组成
C. 水不显电性,因此水中不存在带电荷的微观粒子
【展示与交流】
5. 经过对科学家探索物质组成与结构的历程的学习和水的组成与结构讨论后,小组同学制作了如下的分子模型,下列模型可以表示水分子的是( )
答案:
1.(1)分子在不断地运动 (2)分子间有间隔,气体受压后,分子间的间隔减小 (3)分子在不断地运动,在受热情况下,分子能量增大,运动加快 2.原子 原子核 电子 3.(1)原子不显电性(或不带电)
(2)①AC ②质子 (3)ABCD 4.AC 5.C
(2)①AC ②质子 (3)ABCD 4.AC 5.C
查看更多完整答案,请扫码查看