24. (9分)材料一:一个大于1的正整数,若被$N$除余1,被$(N - 1)$除余1,被$(N - 2)$除余1,…,被3除余1,被2除余1,那么称这个正整数为“明$N$礼”数($N$取最大),例如:73(被5除余3)被4除余1,被3除余1,被2除余1,那么73为“明四礼”数.
材料二:设$N$,$(N - 1)$,$(N - 2)$,…,3,2的最小公倍数为$k$,那么“明$N$礼”数可以表示为$kn + 1$($n$为正整数),例如:6,5,4,3,2的最小公倍数为60,那么“明六礼”数可以表示为$60n + 1$($n$为正整数).
(1)17______
(2)求出最小的三位“明三礼”数;
(3)一个“明三礼”数与一个“明四礼”数的和为32,求出这两个数.
材料二:设$N$,$(N - 1)$,$(N - 2)$,…,3,2的最小公倍数为$k$,那么“明$N$礼”数可以表示为$kn + 1$($n$为正整数),例如:6,5,4,3,2的最小公倍数为60,那么“明六礼”数可以表示为$60n + 1$($n$为正整数).
(1)17______
不是
“明三礼”数(填“是”或“不是”);721是“明______六
礼”数;(2)求出最小的三位“明三礼”数;
解:3和2的最小公倍数是6,设“明三礼”数为$6n + 1$($n$为正整数)。
要使$6n + 1$为最小三位数,则$6n + 1\geq100$,解得$n\geq16.5$。
$n$取最小正整数17,$6×17 + 1 = 103$。
要使$6n + 1$为最小三位数,则$6n + 1\geq100$,解得$n\geq16.5$。
$n$取最小正整数17,$6×17 + 1 = 103$。
(3)一个“明三礼”数与一个“明四礼”数的和为32,求出这两个数.
解:3和2的最小公倍数是6,设“明三礼”数为$6m + 1$($m$为正整数);
4、3、2的最小公倍数是12,设“明四礼”数为$12n + 1$($n$为正整数)。
由题意得$6m + 1 + 12n + 1 = 32$,化简得$m + 2n = 5$。
$m$、$n$为正整数,解得$\begin{cases}m=1\\n=2\end{cases}$或$\begin{cases}m=3\\n=1\end{cases}$。
当$m=1$,$n=2$时,“明三礼”数为7,“明四礼”数为25;
当$m=3$,$n=1$时,“明三礼”数为19,“明四礼”数为13。
4、3、2的最小公倍数是12,设“明四礼”数为$12n + 1$($n$为正整数)。
由题意得$6m + 1 + 12n + 1 = 32$,化简得$m + 2n = 5$。
$m$、$n$为正整数,解得$\begin{cases}m=1\\n=2\end{cases}$或$\begin{cases}m=3\\n=1\end{cases}$。
当$m=1$,$n=2$时,“明三礼”数为7,“明四礼”数为25;
当$m=3$,$n=1$时,“明三礼”数为19,“明四礼”数为13。
答案:
(1)不是 六
(2)解:3和2的最小公倍数是6,设“明三礼”数为$6n + 1$($n$为正整数)。
要使$6n + 1$为最小三位数,则$6n + 1\geq100$,解得$n\geq16.5$。
$n$取最小正整数17,$6×17 + 1 = 103$。
(3)解:3和2的最小公倍数是6,设“明三礼”数为$6m + 1$($m$为正整数);
4、3、2的最小公倍数是12,设“明四礼”数为$12n + 1$($n$为正整数)。
由题意得$6m + 1 + 12n + 1 = 32$,化简得$m + 2n = 5$。
$m$、$n$为正整数,解得$\begin{cases}m=1\\n=2\end{cases}$或$\begin{cases}m=3\\n=1\end{cases}$。
当$m=1$,$n=2$时,“明三礼”数为7,“明四礼”数为25;
当$m=3$,$n=1$时,“明三礼”数为19,“明四礼”数为13。
(2)解:3和2的最小公倍数是6,设“明三礼”数为$6n + 1$($n$为正整数)。
要使$6n + 1$为最小三位数,则$6n + 1\geq100$,解得$n\geq16.5$。
$n$取最小正整数17,$6×17 + 1 = 103$。
(3)解:3和2的最小公倍数是6,设“明三礼”数为$6m + 1$($m$为正整数);
4、3、2的最小公倍数是12,设“明四礼”数为$12n + 1$($n$为正整数)。
由题意得$6m + 1 + 12n + 1 = 32$,化简得$m + 2n = 5$。
$m$、$n$为正整数,解得$\begin{cases}m=1\\n=2\end{cases}$或$\begin{cases}m=3\\n=1\end{cases}$。
当$m=1$,$n=2$时,“明三礼”数为7,“明四礼”数为25;
当$m=3$,$n=1$时,“明三礼”数为19,“明四礼”数为13。
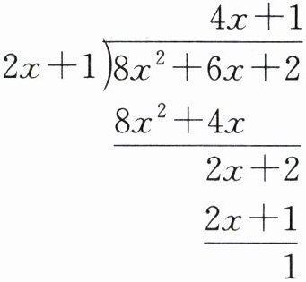
25. (9分)(2024秋·南通崇川区校级期中)我们学过单项式除以单项式、多项式除以单项式,那么多项式除以多项式该怎么计算呢?我们也可以用竖式进行类似演算,即先把被除式、除式按某个字母降幂排列,并把所缺的项用零补齐(或留出空白),再类似于数的竖式除法求出商式和余式,其中余式为0或余式的次数低于除式的次数.
例如:计算$(8x^{2}+6x + 2)÷(2x + 1)$,可用如图的竖式进行计算.因此商式是$4x + 1$,余式是1.
(1)计算$(3x^{2}+10x + 4)÷(x + 3)$,商式是______,余式是______;
(2)计算$(a^{2}+ab - 2b^{2})÷(a - b)$,结果为______;
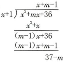
(3)已知$M$是一个整式,$m$是常数,$x\neq - 1$,$M(x + 1)= x^{2}+mx + 36$,求$m$的值.

例如:计算$(8x^{2}+6x + 2)÷(2x + 1)$,可用如图的竖式进行计算.因此商式是$4x + 1$,余式是1.
(1)计算$(3x^{2}+10x + 4)÷(x + 3)$,商式是______,余式是______;
(2)计算$(a^{2}+ab - 2b^{2})÷(a - b)$,结果为______;
(3)已知$M$是一个整式,$m$是常数,$x\neq - 1$,$M(x + 1)= x^{2}+mx + 36$,求$m$的值.
答案:
(1)$3x + 1$ 1 (2)$a + 2b$ (3)$\because M$是一个整式,$m$是常数,$x\neq -1$,$M(x + 1)=x^{2}+mx + 36$,$\therefore M=(x^{2}+mx + 36)÷(x + 1)$,列竖式计算如下:
$\because M$是一个整式,$\therefore 37 - m = 0$,$\therefore m = 37$。
(1)$3x + 1$ 1 (2)$a + 2b$ (3)$\because M$是一个整式,$m$是常数,$x\neq -1$,$M(x + 1)=x^{2}+mx + 36$,$\therefore M=(x^{2}+mx + 36)÷(x + 1)$,列竖式计算如下:
$\because M$是一个整式,$\therefore 37 - m = 0$,$\therefore m = 37$。
查看更多完整答案,请扫码查看