2025年实验班提优训练暑假衔接版四升五年级数学北师大版
注:目前有些书本章节名称可能整理的还不是很完善,但都是按照顺序排列的,请同学们按照顺序仔细查找。练习册 2025年实验班提优训练暑假衔接版四升五年级数学北师大版 答案主要是用来给同学们做完题方便对答案用的,请勿直接抄袭。
第44页
- 第1页
- 第2页
- 第3页
- 第4页
- 第5页
- 第6页
- 第7页
- 第8页
- 第9页
- 第10页
- 第11页
- 第12页
- 第13页
- 第14页
- 第15页
- 第16页
- 第17页
- 第18页
- 第19页
- 第20页
- 第21页
- 第22页
- 第23页
- 第24页
- 第25页
- 第26页
- 第27页
- 第28页
- 第29页
- 第30页
- 第31页
- 第32页
- 第33页
- 第34页
- 第35页
- 第36页
- 第37页
- 第38页
- 第39页
- 第40页
- 第41页
- 第42页
- 第43页
- 第44页
- 第45页
- 第46页
- 第47页
- 第48页
- 第49页
- 第50页
- 第51页
- 第52页
- 第53页
- 第54页
- 第55页
- 第56页
- 第57页
- 第58页
- 第59页
- 第60页
- 第61页
- 第62页
- 第63页
- 第64页
- 第65页
- 第66页
- 第67页
- 第68页
- 第69页
- 第70页
- 第71页
- 第72页
- 第73页
- 第74页
- 第75页
- 第76页
- 第77页
- 第78页
- 第79页
整数除法的意义:已知两个乘数的积,和其中一个乘数,求另一个乘数的运算。如:$153÷3= ()$
小数除法:除数是整数的小数除法与整数除法的意义相同,商的小数点要与被除数的小数点对齐。如:$15.3÷3= ()$
小数除法:除数是整数的小数除法与整数除法的意义相同,商的小数点要与被除数的小数点对齐。如:$15.3÷3= ()$
答案:
51 5.1
例

(1)甲商店牛奶每袋多少元?说一说你是怎么算的。
(2)乙商店牛奶每袋多少元?哪家商店的牛奶便宜?
过程探索 小数除法的意义和整数除法的意义相同,也是已知两个乘数的()与其中一个乘数,求()的运算。从图中的已知条件可知,甲商店5袋牛奶共11.5元,求每袋的价钱可以列式为$11.5÷5$。同理,乙商店6袋牛奶共12.6元,求每袋的价钱可以列式为$12.6÷6$。通过计算出的结果比较出两家商店牛奶单价的高低,再来判断哪家商店的牛奶便宜,单价低的就便宜。
(1)甲商店牛奶每袋多少元?说一说你是怎么算的。
(2)乙商店牛奶每袋多少元?哪家商店的牛奶便宜?
过程探索 小数除法的意义和整数除法的意义相同,也是已知两个乘数的()与其中一个乘数,求()的运算。从图中的已知条件可知,甲商店5袋牛奶共11.5元,求每袋的价钱可以列式为$11.5÷5$。同理,乙商店6袋牛奶共12.6元,求每袋的价钱可以列式为$12.6÷6$。通过计算出的结果比较出两家商店牛奶单价的高低,再来判断哪家商店的牛奶便宜,单价低的就便宜。
答案:
完全解答
(1)方法一:可以把总价化成以角为单位的整数来计算。11.5元= 115角 $115÷5= 23$(角) 23角= 2.3元方法二:将11.5元分成10元+1.5元来计算。11.5元= 10元+1.5元 $10÷5= 2$(元)1.5元= 15角 $15÷5= 3$角2元+3角= 2元3角= 2.3元
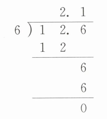
(2)$12.6÷6= 2.1$(元)
$2.3>2.1$答:乙商店的牛奶便宜。
@@积 另一个乘数
完全解答
(1)方法一:可以把总价化成以角为单位的整数来计算。11.5元= 115角 $115÷5= 23$(角) 23角= 2.3元方法二:将11.5元分成10元+1.5元来计算。11.5元= 10元+1.5元 $10÷5= 2$(元)1.5元= 15角 $15÷5= 3$角2元+3角= 2元3角= 2.3元
(2)$12.6÷6= 2.1$(元)
@@积 另一个乘数
查看更多完整答案,请扫码查看