2025年实验班提优训练暑假衔接版四升五年级数学北师大版
注:目前有些书本章节名称可能整理的还不是很完善,但都是按照顺序排列的,请同学们按照顺序仔细查找。练习册 2025年实验班提优训练暑假衔接版四升五年级数学北师大版 答案主要是用来给同学们做完题方便对答案用的,请勿直接抄袭。
第36页
- 第1页
- 第2页
- 第3页
- 第4页
- 第5页
- 第6页
- 第7页
- 第8页
- 第9页
- 第10页
- 第11页
- 第12页
- 第13页
- 第14页
- 第15页
- 第16页
- 第17页
- 第18页
- 第19页
- 第20页
- 第21页
- 第22页
- 第23页
- 第24页
- 第25页
- 第26页
- 第27页
- 第28页
- 第29页
- 第30页
- 第31页
- 第32页
- 第33页
- 第34页
- 第35页
- 第36页
- 第37页
- 第38页
- 第39页
- 第40页
- 第41页
- 第42页
- 第43页
- 第44页
- 第45页
- 第46页
- 第47页
- 第48页
- 第49页
- 第50页
- 第51页
- 第52页
- 第53页
- 第54页
- 第55页
- 第56页
- 第57页
- 第58页
- 第59页
- 第60页
- 第61页
- 第62页
- 第63页
- 第64页
- 第65页
- 第66页
- 第67页
- 第68页
- 第69页
- 第70页
- 第71页
- 第72页
- 第73页
- 第74页
- 第75页
- 第76页
- 第77页
- 第78页
- 第79页
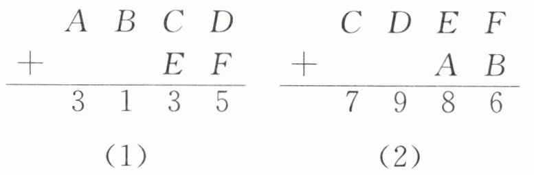
例 $\overline{ABCD.EF}$ 是一个两位小数,不同的字母分别代表 $0 \sim 9$ 中不同的数字。当把 $\overline{ABCDEF}$ 看作一个六位数时,存在着 $\overline{ABCD}+\overline{EF}= 3135,\overline{AB}+\overline{CDEF}= 7986$。求这个两位小数。
思路点拨 根据题意列竖式,转化为竖式谜问题。综合右面两个竖式,从两竖式中的千位入手求解比较方便。由竖式(1)(2)可以直接得出 $A = 3,C = 7$;从竖式(2)的十位
“$E + 3 = 8$”,得出 $E = 5,D = 9$;从竖式(1)的个位“$9 + F = 15$”,得出 $F = 6$,并向十位进1;由竖式(1)的十位“$7 + 5 + 1 = 13$”,并向百位进1,则 $1 + B = 1$,得出 $B = 0$。
思路点拨 根据题意列竖式,转化为竖式谜问题。综合右面两个竖式,从两竖式中的千位入手求解比较方便。由竖式(1)(2)可以直接得出 $A = 3,C = 7$;从竖式(2)的十位
答案:
这个两位小数是 $3079.56$。
1. 右下面的竖式中,不同汉字代表不同的数,相同汉字代表相同的数。求使竖式成立的汉字所代表的数。

答案:
我=1 爱=3
数=6 学=4
数=6 学=4
2. $\overline{ABCDE.FG}$ 是一个两位小数,7 个字母分别代表 $0 \sim 6$ 中不同的数字。当把 $\overline{ABCDEFG}$ 看作一个七位数时,有 $\overline{ABCD}+\overline{EFG}= 2541,\overline{ABC}+\overline{DEFG}= 6645$。请求出这个两位小数。
答案:
21064.35 提示:把横式变为竖式后从千位入手求解。
查看更多完整答案,请扫码查看