2025年计算题首都师范大学出版社七年级数学下册北师大版
注:目前有些书本章节名称可能整理的还不是很完善,但都是按照顺序排列的,请同学们按照顺序仔细查找。练习册 2025年计算题首都师范大学出版社七年级数学下册北师大版 答案主要是用来给同学们做完题方便对答案用的,请勿直接抄袭。
第79页
- 第1页
- 第2页
- 第3页
- 第4页
- 第5页
- 第6页
- 第7页
- 第8页
- 第9页
- 第10页
- 第11页
- 第12页
- 第13页
- 第14页
- 第15页
- 第16页
- 第17页
- 第18页
- 第19页
- 第20页
- 第21页
- 第22页
- 第23页
- 第24页
- 第25页
- 第26页
- 第27页
- 第28页
- 第29页
- 第30页
- 第31页
- 第32页
- 第33页
- 第34页
- 第35页
- 第36页
- 第37页
- 第38页
- 第39页
- 第40页
- 第41页
- 第42页
- 第43页
- 第44页
- 第45页
- 第46页
- 第47页
- 第48页
- 第49页
- 第50页
- 第51页
- 第52页
- 第53页
- 第54页
- 第55页
- 第56页
- 第57页
- 第58页
- 第59页
- 第60页
- 第61页
- 第62页
- 第63页
- 第64页
- 第65页
- 第66页
- 第67页
- 第68页
- 第69页
- 第70页
- 第71页
- 第72页
- 第73页
- 第74页
- 第75页
- 第76页
- 第77页
- 第78页
- 第79页
- 第80页
- 第81页
- 第82页
- 第83页
- 第84页
- 第85页
- 第86页
- 第87页
- 第88页
- 第89页
- 第90页
- 第91页
- 第92页
- 第93页
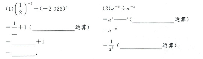
.解题要点

明算理:负整数指数幂的运算,分数的运算,和式的运算,合理运用各自运算法则计算即可.
明算理:负整数指数幂的运算,分数的运算,和式的运算,合理运用各自运算法则计算即可.
答案:
(1)$(\frac{1}{2})^{-2}$ 负整数指数幂
(2)$-5 - (-3)$ 同底数幂除法 负整数指数幂
(1)$(\frac{1}{2})^{-2}$ 负整数指数幂
(2)$-5 - (-3)$ 同底数幂除法 负整数指数幂
.关键点津 ①负整数指数幂:$a^{-p}=$_____($a≠0$,$p$为正整数);
②负整数指数幂的相关运算,同底数幂的乘法、幂的乘方、积的乘方的运算法则依然适用.
②负整数指数幂的相关运算,同底数幂的乘法、幂的乘方、积的乘方的运算法则依然适用.
答案:
$\frac{1}{a^{p}}$
1. 比较两个数的大小:$3^{-2}$_____$(-\frac{1}{3})^{2}$.(填>,<或=)
答案:
=
2. 计算
(1)$(-\frac{1}{5})^{-2}$ (2)$(-2024)^{-1}$ (3)$(-0.5)^{-3}$ (4)$(a^{2}b)^{-3}$
(1)$(-\frac{1}{5})^{-2}$ (2)$(-2024)^{-1}$ (3)$(-0.5)^{-3}$ (4)$(a^{2}b)^{-3}$
答案:
(1)25
(2)$-\frac{1}{2024}$
(3)-8
(4)$\frac{1}{a^{6}b^{3}}$
(1)25
(2)$-\frac{1}{2024}$
(3)-8
(4)$\frac{1}{a^{6}b^{3}}$
3. (1)$7^{-7}\div7^{-5}$ (2)$(-8)^{0}\div(-8)^{-2}$ (3)$(-x)\div(-x)^{0}(x≠0)$
(4)$9^{n}\div9^{3n + 1}$($n$为整数) (5)$(mn)^{2x}\div(m^{x})^{2}\div(n^{x})^{3}$($m$、$n≠0$,$x$为整数)重难
(4)$9^{n}\div9^{3n + 1}$($n$为整数) (5)$(mn)^{2x}\div(m^{x})^{2}\div(n^{x})^{3}$($m$、$n≠0$,$x$为整数)重难
答案:
(1)$\frac{1}{49}$
(2)64
(3)-x
(4)$\frac{1}{9^{2n + 1}}$
(5)$\frac{1}{n^{x}}$
(1)$\frac{1}{49}$
(2)64
(3)-x
(4)$\frac{1}{9^{2n + 1}}$
(5)$\frac{1}{n^{x}}$
4. 计算
(1)$\vert -8\vert - (\pi + 3)^{0}+(-\frac{1}{4})^{-1}+(-1)^{2024}$
(2)$-1^{2024}+(3 - \pi)^{0}-\frac{1}{8}\times(-\frac{1}{2})^{-2}$
(1)$\vert -8\vert - (\pi + 3)^{0}+(-\frac{1}{4})^{-1}+(-1)^{2024}$
(2)$-1^{2024}+(3 - \pi)^{0}-\frac{1}{8}\times(-\frac{1}{2})^{-2}$
答案:
(1)4
(2)$-\frac{1}{2}$
(1)4
(2)$-\frac{1}{2}$
查看更多完整答案,请扫码查看