第1页
- 第1页
- 第2页
- 第3页
- 第4页
- 第5页
- 第6页
- 第7页
- 第8页
- 第9页
- 第10页
- 第11页
- 第12页
- 第13页
- 第14页
- 第15页
- 第16页
- 第17页
- 第18页
- 第19页
- 第20页
- 第21页
- 第22页
- 第23页
- 第24页
- 第25页
- 第26页
- 第27页
- 第28页
- 第29页
- 第30页
- 第31页
- 第32页
- 第33页
- 第34页
- 第35页
- 第36页
- 第37页
- 第38页
- 第39页
- 第40页
- 第41页
- 第42页
- 第43页
- 第44页
- 第45页
- 第46页
- 第47页
- 第48页
- 第49页
- 第50页
- 第51页
- 第52页
- 第53页
- 第54页
- 第55页
- 第56页
- 第57页
- 第58页
- 第59页
- 第60页
- 第61页
- 第62页
- 第63页
- 第64页
- 第65页
- 第66页
- 第67页
- 第68页
1 填一填。
(1)看图补全算式。
①
(
(
②等边三角形的周长是多少分米?

(
(2)$\frac{3}{10}×6$表示(
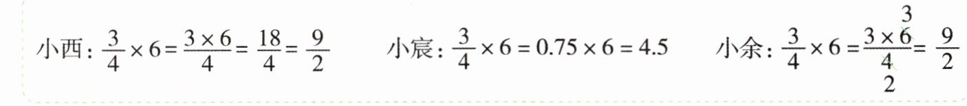
(3)下面是三名同学计算$\frac{3}{4}×6$的方法与过程,我最喜欢(

(1)看图补全算式。
①
(
$\frac{2}{11}$
)+($\frac{2}{11}$
)+($\frac{2}{11}$
)+($\frac{2}{11}$
)= ($\frac{8}{11}$
)(
$\frac{2}{11}$
)×(4
)= ($\frac{8}{11}$
)②等边三角形的周长是多少分米?
(
$\frac{2}{5}$
)×(3
)= ($\frac{6}{5}$
)(dm)(2)$\frac{3}{10}×6$表示(
6
)个($\frac{3}{10}$
)的和是多少;一袋瓜子的质量是$\frac{1}{2}\ kg$,15袋这样的瓜子重($\frac{15}{2}$
)kg。(3)下面是三名同学计算$\frac{3}{4}×6$的方法与过程,我最喜欢(
小余
)的计算方法,因为(先约分再相乘可以使计算简便
)。
答案:
1.
(1)①$\frac{2}{11}$ $\frac{2}{11}$ $\frac{2}{11}$ $\frac{2}{11}$ $\frac{8}{11}$ $\frac{2}{11}$ 4 $\frac{8}{11}$②$\frac{2}{5}$ 3 $\frac{6}{5}$
(2)6 $\frac{3}{10}$ $\frac{15}{2}$
(3)小余 先约分再相乘可以使计算简便(答案不唯一)
(1)①$\frac{2}{11}$ $\frac{2}{11}$ $\frac{2}{11}$ $\frac{2}{11}$ $\frac{8}{11}$ $\frac{2}{11}$ 4 $\frac{8}{11}$②$\frac{2}{5}$ 3 $\frac{6}{5}$
(2)6 $\frac{3}{10}$ $\frac{15}{2}$
(3)小余 先约分再相乘可以使计算简便(答案不唯一)
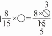
2 已知
,根据约分的过程,可以知道○表示的数是(
A.3
B.6
C.9
D.10
C
)。A.3
B.6
C.9
D.10
答案:
C
3 计算下面各题。(写出计算过程)
$\frac{3}{7}×2=$
$12×\frac{5}{6}=$
$\frac{5}{21}×10=$
$\frac{11}{18}×9=$
$35×\frac{1}{14}=$
$\frac{7}{10}×4=$
$\frac{3}{7}×2=$
$\frac{6}{7}$
$12×\frac{5}{6}=$
10
$\frac{5}{21}×10=$
$\frac{50}{21}$
$\frac{11}{18}×9=$
$\frac{11}{2}$
$35×\frac{1}{14}=$
$\frac{5}{2}$
$\frac{7}{10}×4=$
$\frac{14}{5}$
答案:
3.$\frac{6}{7}$ 10 $\frac{50}{21}$ $\frac{11}{2}$ $\frac{5}{2}$ $\frac{14}{5}$(计算过程略)
4 〔学科融合〕《三国演义》中对诸葛亮的描述是“身长八尺,面如冠玉,头戴纶巾,身披鹤氅,飘飘然有神仙之概”。三国时期一尺约为$\frac{95}{4}\ cm$,照这样计算,诸葛亮的身高约为多少厘米?
答案:
4.$\frac{95}{4}× 8=190$(cm)答:诸葛亮的身高约为190 cm。
5 小钱在整理客厅时,发现茶几有点儿不稳,就用一张厚$\frac{2}{7}\ mm$的牛皮纸对折三次后垫在茶几的一条腿下面,恰好放稳了。这条腿被垫高了(
$\frac{16}{7}$
)mm。
答案:
5.$\frac{16}{7}$点拨 一张牛皮纸对折一次后是2层,对折两次后是$2× 2=4$(层),对折三次后是$4× 2=8$(层),且这条腿被垫高的高度就是牛皮纸对折三次后的厚度。
查看更多完整答案,请扫码查看