2025年5年高考3年模拟高中化学选择性必修第三册苏教版
注:目前有些书本章节名称可能整理的还不是很完善,但都是按照顺序排列的,请同学们按照顺序仔细查找。练习册 2025年5年高考3年模拟高中化学选择性必修第三册苏教版 答案主要是用来给同学们做完题方便对答案用的,请勿直接抄袭。
第90页
- 第1页
- 第2页
- 第3页
- 第4页
- 第5页
- 第6页
- 第7页
- 第8页
- 第9页
- 第10页
- 第11页
- 第12页
- 第13页
- 第14页
- 第15页
- 第16页
- 第17页
- 第18页
- 第19页
- 第20页
- 第21页
- 第22页
- 第23页
- 第24页
- 第25页
- 第26页
- 第27页
- 第28页
- 第29页
- 第30页
- 第31页
- 第32页
- 第33页
- 第34页
- 第35页
- 第36页
- 第37页
- 第38页
- 第39页
- 第40页
- 第41页
- 第42页
- 第43页
- 第44页
- 第45页
- 第46页
- 第47页
- 第48页
- 第49页
- 第50页
- 第51页
- 第52页
- 第53页
- 第54页
- 第55页
- 第56页
- 第57页
- 第58页
- 第59页
- 第60页
- 第61页
- 第62页
- 第63页
- 第64页
- 第65页
- 第66页
- 第67页
- 第68页
- 第69页
- 第70页
- 第71页
- 第72页
- 第73页
- 第74页
- 第75页
- 第76页
- 第77页
- 第78页
- 第79页
- 第80页
- 第81页
- 第82页
- 第83页
- 第84页
- 第85页
- 第86页
- 第87页
- 第88页
- 第89页
- 第90页
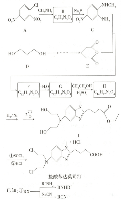
8. (2023浙江1月选考,21)某研究小组按下列路线合成抗癌药物盐酸苯达莫司汀。


请回答:
(1)化合物A的官能团名称是
(2)化合物B的结构简式是
。
(3)下列说法正确的是
A. $ B→C$的反应类型为取代反应
B. 化合物D与乙醇互为同系物
C. 化合物I的分子式是${C_{18}H_{25}N_{3}O_{4}}$
D. 将苯达莫司汀制成盐酸盐有助于增加其水溶性
(4)写出$ G→H$的化学方程式
+CH₃CH₂OH H₂SO₄ △
+H₂O。
(5)设计以D为原料合成E的路线(用流程图表示,无机试剂任选)
(6)写出3种同时符合下列条件的化合物C的同分异构体的结构简式:

。
①分子中只含一个环,且为六元环;②$^{1} H-NMR$谱和IR谱检测表明:分子中共有2种不同化学环境的氢原子,无氮氮键,有乙酰基
请回答:
(1)化合物A的官能团名称是
硝基、碳氯键
。(2)化合物B的结构简式是
(3)下列说法正确的是
D
。A. $ B→C$的反应类型为取代反应
B. 化合物D与乙醇互为同系物
C. 化合物I的分子式是${C_{18}H_{25}N_{3}O_{4}}$
D. 将苯达莫司汀制成盐酸盐有助于增加其水溶性
(4)写出$ G→H$的化学方程式
(5)设计以D为原料合成E的路线(用流程图表示,无机试剂任选)
HOCH₂CH₂OH HBr BrCH₂CH₂Br NaCN NCCH₂CN H₂O/H⁺ HOOCCH₂COOH 
。(6)写出3种同时符合下列条件的化合物C的同分异构体的结构简式:
①分子中只含一个环,且为六元环;②$^{1} H-NMR$谱和IR谱检测表明:分子中共有2种不同化学环境的氢原子,无氮氮键,有乙酰基
答案:
8. 答案
(1)硝基、碳氯键
(2)
(3)D
(4)
+CH₃CH₂OH H₂SO₄ △
+H₂O
(5)HOCH₂CH₂OH HBr BrCH₂CH₂Br NaCN NCCH₂CN H₂O/H⁺ HOOCCH₂COOH
(6)

(任写3种即可)
解析 由A的结构简式、B的分子式并结合已知①可推出B为
;B与硫化钠发生还原反应生成C(
);C与E(
发生已知②的第二步反应生成F(C₁₂H₁₅N₃O₅),则F为
;F脱去1分子水生成G(
COOH);G与乙醇发生酯化反应生成H(
);H到I的过程中,先发生了硝基的还原反应生成
然后环氧乙烷与氨基以物质的量之比为2:1反应生成I,I与SOCl₂发生取代反应后,再与盐酸反应生成盐酸苯达莫司汀。
(1)由A的结构可知其所含官能团为硝基和碳氯键。
(2)由以上分析可知化合物B的结构简式为
(3)B→C的反应类型为还原反应,故A错误;化合物D中含有两个—OH,则与乙醇不互为同系物,故B错误;化合物I的分子式是C₁₈H₂₇N₃O₄,故C错误;将苯达莫司汀制成盐酸盐,可以增加其水溶性,利于吸收,故D正确。
(4)G与乙醇发生酯化反应生成H,化学方程式为
+CH₃CH₂OH H₂SO₄ △
+H₂O
(5)1,3−丙二醇与HBr发生取代反应生成1,3−二溴丙烷,1,3−二溴丙烷与NaCN发生取代反应生成
专题5 药物合成的重要原料−卤代烃、胺、酰胺 177
(6)化合物C(
)的同分异构体满足:①分子中只含一个环,且为六元环;②分子中共有2种不同化学环境的H原子,无氮氮键,有乙酰基
),则除乙酰基外只有一种H,即六元环上的原子均不能与氢相连,且该物质具有很高的对称性,符合的结构有
8. 答案
(1)硝基、碳氯键
(2)
(3)D
(4)
(5)HOCH₂CH₂OH HBr BrCH₂CH₂Br NaCN NCCH₂CN H₂O/H⁺ HOOCCH₂COOH
(6)
解析 由A的结构简式、B的分子式并结合已知①可推出B为
(1)由A的结构可知其所含官能团为硝基和碳氯键。
(2)由以上分析可知化合物B的结构简式为
(3)B→C的反应类型为还原反应,故A错误;化合物D中含有两个—OH,则与乙醇不互为同系物,故B错误;化合物I的分子式是C₁₈H₂₇N₃O₄,故C错误;将苯达莫司汀制成盐酸盐,可以增加其水溶性,利于吸收,故D正确。
(4)G与乙醇发生酯化反应生成H,化学方程式为
(5)1,3−丙二醇与HBr发生取代反应生成1,3−二溴丙烷,1,3−二溴丙烷与NaCN发生取代反应生成
专题5 药物合成的重要原料−卤代烃、胺、酰胺 177
(6)化合物C(
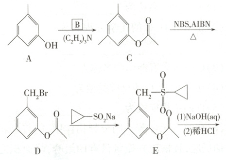
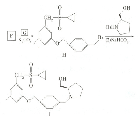
9. (2023江苏,15)化合物I是鞘氨醇激酶抑制剂,其合成路线如下:


(1)化合物A的酸性比环己醇的
(2)B的分子式为${C_{2}H_{3}OCl}$,可由乙酸与${SOCl_{2}}$反应合成,B的结构简式为
(3)$ A→C$中加入${(C_{2}H_{5})_{3}N}$是为了结合反应中产生的
(4)写出同时满足下列条件的C的一种同分异构体的结构简式:
。
碱性条件水解后酸化生成两种产物,产物之一的分子中碳原子轨道杂化类型相同且室温下不能使2%酸性${KMnO_{4}}$溶液褪色;加热条件下,铜催化另一产物与氧气反应,所得有机产物的核磁共振氢谱中只有1个峰。
(5)G的分子式为${C_{8}H_{8}Br_{2}}$,$ F→H$的反应类型为
(6)写出以
为原料制备
的合成路线流程图(须用NBS和AIBN,无机试剂和有机溶剂任用,合成路线流程图示例见本题题干)。
(1)化合物A的酸性比环己醇的
强
(填“强”或“弱”或“无差别”)。(2)B的分子式为${C_{2}H_{3}OCl}$,可由乙酸与${SOCl_{2}}$反应合成,B的结构简式为
CH₃COCl
。(3)$ A→C$中加入${(C_{2}H_{5})_{3}N}$是为了结合反应中产生的
HCl
(填化学式)。(4)写出同时满足下列条件的C的一种同分异构体的结构简式:
碱性条件水解后酸化生成两种产物,产物之一的分子中碳原子轨道杂化类型相同且室温下不能使2%酸性${KMnO_{4}}$溶液褪色;加热条件下,铜催化另一产物与氧气反应,所得有机产物的核磁共振氢谱中只有1个峰。
(5)G的分子式为${C_{8}H_{8}Br_{2}}$,$ F→H$的反应类型为
取代反应
。(6)写出以
答案:
9. 答案
(1)强
(2)CH₃COCl
(3)HCl
(4)
(5)取代反应
(6)CH₂=CH₂ Br₂ BrCH₂CH₂Br
解析 对比A、C的结构简式,结合
(2)中给出的B的分子式,可以推出B的结构简式为CH₃COCl。由E→F的反应条件推知E→F先发生水解反应后酸化,结合E、H的结构简式,可推出F的结构简式为
;由F、H的结构简式结合
(5)中所给G的分子式,可推出G的结构简式为
178 5年高考3年模拟 高中化学选择性必修3.有机化学基础苏教版
(1)A属于酚,酚的酸性强于醇。
(3)对比A、B、C的结构简式可知,A→C的反应中会产生HCl,(C₂H₅)₃N具有碱性,可与HCl反应。
(4)1个C分子中含有3个—CH₃、1个苯环、1个酯基,其同分异构体能水解,说明含有酯基;水解后酸化产物之一的分子中碳原子轨道杂化类型相同,且室温下不能使2%酸性高锰酸钾溶液褪色,说明不含羟基,含有羧基,羧基中碳原子采取sp²杂化,则该产物分子中还含有苯环;另一产物为醇,可在铜催化下与O₂反应,其氧化产物的核磁共振氢谱中只有1个峰,说明结构对称。综上所述,该同分异构体的结构简式为
(5)由F、H的结构简式可知,F→H的反应中,F中酚羟基上的H被取代,属于取代反应。
9. 答案
(1)强
(2)CH₃COCl
(3)HCl
(4)
(5)取代反应
(6)CH₂=CH₂ Br₂ BrCH₂CH₂Br
解析 对比A、C的结构简式,结合
(2)中给出的B的分子式,可以推出B的结构简式为CH₃COCl。由E→F的反应条件推知E→F先发生水解反应后酸化,结合E、H的结构简式,可推出F的结构简式为
(5)中所给G的分子式,可推出G的结构简式为
178 5年高考3年模拟 高中化学选择性必修3.有机化学基础苏教版
(1)A属于酚,酚的酸性强于醇。
(3)对比A、B、C的结构简式可知,A→C的反应中会产生HCl,(C₂H₅)₃N具有碱性,可与HCl反应。
(4)1个C分子中含有3个—CH₃、1个苯环、1个酯基,其同分异构体能水解,说明含有酯基;水解后酸化产物之一的分子中碳原子轨道杂化类型相同,且室温下不能使2%酸性高锰酸钾溶液褪色,说明不含羟基,含有羧基,羧基中碳原子采取sp²杂化,则该产物分子中还含有苯环;另一产物为醇,可在铜催化下与O₂反应,其氧化产物的核磁共振氢谱中只有1个峰,说明结构对称。综上所述,该同分异构体的结构简式为
(5)由F、H的结构简式可知,F→H的反应中,F中酚羟基上的H被取代,属于取代反应。
查看更多完整答案,请扫码查看