2025年5年高考3年模拟高中化学选择性必修第三册苏教版
注:目前有些书本章节名称可能整理的还不是很完善,但都是按照顺序排列的,请同学们按照顺序仔细查找。练习册 2025年5年高考3年模拟高中化学选择性必修第三册苏教版 答案主要是用来给同学们做完题方便对答案用的,请勿直接抄袭。
第84页
- 第1页
- 第2页
- 第3页
- 第4页
- 第5页
- 第6页
- 第7页
- 第8页
- 第9页
- 第10页
- 第11页
- 第12页
- 第13页
- 第14页
- 第15页
- 第16页
- 第17页
- 第18页
- 第19页
- 第20页
- 第21页
- 第22页
- 第23页
- 第24页
- 第25页
- 第26页
- 第27页
- 第28页
- 第29页
- 第30页
- 第31页
- 第32页
- 第33页
- 第34页
- 第35页
- 第36页
- 第37页
- 第38页
- 第39页
- 第40页
- 第41页
- 第42页
- 第43页
- 第44页
- 第45页
- 第46页
- 第47页
- 第48页
- 第49页
- 第50页
- 第51页
- 第52页
- 第53页
- 第54页
- 第55页
- 第56页
- 第57页
- 第58页
- 第59页
- 第60页
- 第61页
- 第62页
- 第63页
- 第64页
- 第65页
- 第66页
- 第67页
- 第68页
- 第69页
- 第70页
- 第71页
- 第72页
- 第73页
- 第74页
- 第75页
- 第76页
- 第77页
- 第78页
- 第79页
- 第80页
- 第81页
- 第82页
- 第83页
- 第84页
- 第85页
- 第86页
- 第87页
- 第88页
- 第89页
- 第90页
5.配制氢氧化铜悬浊液并进行如图所示的实验。

对该实验的有关说法错误的是 (
A.a 是 NaOH
B.滴加 b 溶液至生成的沉淀恰好消失为止
C.c 含醛基
D.操作 d 是加热
对该实验的有关说法错误的是 (
B
)A.a 是 NaOH
B.滴加 b 溶液至生成的沉淀恰好消失为止
C.c 含醛基
D.操作 d 是加热
答案:
5.B 配制氢氧化铜悬浊液时先在试管中加入NaOH溶液,再向试管中滴加适量硫酸铜溶液(NaOH过量),得到氢氧化铜悬浊液,因此a是NaOH,A正确;配制过程中沉淀不会消失,B错误;含有醛基的物质与新制氢氧化铜悬浊液在加热条件下反应生成砖红色沉淀(Cu₂O),因此c含醛基,操作d是加热,C、D正确。
6.如图为制取溴苯的实验装置(夹持装置已略去),下列对有关现象的叙述和解释,不正确的是 (

A.实验室制取的粗溴苯呈褐色,是由于少量未反应的溴单质溶解于溴苯,可以用 NaOH 溶液除去溴苯中的溴单质
B.冷凝管的作用是导气、冷凝、回流,此处用球形冷凝管效果较直形冷凝管好
C.试管中$CCl_4$的作用是吸收 HBr,防止产生白雾
D.粗溴苯经过水洗、碱洗、水洗、干燥,得到溴苯和苯的混合物,用蒸馏的方法将其分离
C
)A.实验室制取的粗溴苯呈褐色,是由于少量未反应的溴单质溶解于溴苯,可以用 NaOH 溶液除去溴苯中的溴单质
B.冷凝管的作用是导气、冷凝、回流,此处用球形冷凝管效果较直形冷凝管好
C.试管中$CCl_4$的作用是吸收 HBr,防止产生白雾
D.粗溴苯经过水洗、碱洗、水洗、干燥,得到溴苯和苯的混合物,用蒸馏的方法将其分离
答案:
6.C 溴苯是无色液体,粗溴苯中因溶有溴单质而呈褐色,溴单质可以和氢氧化钠溶液反应,可用NaOH溶液除去溴苯中的溴单质,A项正确;冷凝管的作用是导气、冷凝、回流,直形冷凝管常用于蒸馏装置,此处用球形冷凝管效果更好,B项正确;HBr难溶于CCl₄,试管中CCl₄不能用于吸收HBr,C项错误;粗溴苯经过水洗、碱洗、水洗、干燥,得到溴苯和苯的混合物,用蒸馏的方法可将溴苯和苯分离,D项正确。
7.卤代烃与端基炔$(R'C≡CH)$催化偶联反应的一种机理如图所示。

下列说法错误的是 (
A.偶联反应中起催化作用的是 M 和 CuI
B.$R'C≡CCu$为该催化过程的中间产物
C.该偶联反应的原理为$R'C≡CH + RI\overset{催化剂}{→}R'C≡CR + HI$
D.该催化过程中催化剂改变了反应路径和反应热
下列说法错误的是 (
D
)A.偶联反应中起催化作用的是 M 和 CuI
B.$R'C≡CCu$为该催化过程的中间产物
C.该偶联反应的原理为$R'C≡CH + RI\overset{催化剂}{→}R'C≡CR + HI$
D.该催化过程中催化剂改变了反应路径和反应热
答案:
7.D 由题图可知,该偶联反应中起催化作用的是M和CuI,故A正确;由转化关系可知,R′C≡CCu产生后又被消耗,为该催化过程的中间产物,故B正确;由题图可知,该偶联反应的原理为$R′C≡CH + RI\overset{催化剂}{\longrightarrow}R′C≡CR + HI,$故C正确;催化剂改变反应路径,不改变反应热,故D错误。
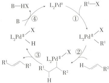
8.(2024 河南洛阳竞赛)赫克反应(Heck 反应)是芳基或乙烯基卤代物(X 为卤素原子)与活性烯烃在强碱和钯催化下生成取代烯烃的偶联反应,赫克凭借此贡献获得了 2010 年诺贝尔化学奖,下图为该反应的催化循环图(B 代表碱,碱性条件下催化剂重生),下列相关说法错误的是 (



C.循环过程发生了加成反应

A
)C.循环过程发生了加成反应
答案:
8.A 该反应原理为芳基或乙烯基卤代物(X为卤素原子)与活性烯烃反应,结合图示可知L₂Pd⁰为反应起始存在、最终又生成的物质,则L₂Pd⁰为催化剂,故A错误;碘苯和苯乙烯发生Heck反应,碘苯中的苯基取代苯乙烯中双键碳原子上的氢原子,得到
,故B正确;结合题图可知反应②为加成反应,故C正确;由题图转化过程可知,环上物质代表催化剂参与反应的转化过程,入环箭头代表反应物,出环箭头代表生成物,该过程的总反应为$R¹—X + H₂C=CH—R²\overset{催化剂}{\longrightarrow}R¹—CH=CH—R² + B—HX,$故D正确。
8.A 该反应原理为芳基或乙烯基卤代物(X为卤素原子)与活性烯烃反应,结合图示可知L₂Pd⁰为反应起始存在、最终又生成的物质,则L₂Pd⁰为催化剂,故A错误;碘苯和苯乙烯发生Heck反应,碘苯中的苯基取代苯乙烯中双键碳原子上的氢原子,得到
查看更多完整答案,请扫码查看