2025年5年高考3年模拟高中化学选择性必修第三册苏教版
注:目前有些书本章节名称可能整理的还不是很完善,但都是按照顺序排列的,请同学们按照顺序仔细查找。练习册 2025年5年高考3年模拟高中化学选择性必修第三册苏教版 答案主要是用来给同学们做完题方便对答案用的,请勿直接抄袭。
第27页
- 第1页
- 第2页
- 第3页
- 第4页
- 第5页
- 第6页
- 第7页
- 第8页
- 第9页
- 第10页
- 第11页
- 第12页
- 第13页
- 第14页
- 第15页
- 第16页
- 第17页
- 第18页
- 第19页
- 第20页
- 第21页
- 第22页
- 第23页
- 第24页
- 第25页
- 第26页
- 第27页
- 第28页
- 第29页
- 第30页
- 第31页
- 第32页
- 第33页
- 第34页
- 第35页
- 第36页
- 第37页
- 第38页
- 第39页
- 第40页
- 第41页
- 第42页
- 第43页
- 第44页
- 第45页
- 第46页
- 第47页
- 第48页
- 第49页
- 第50页
- 第51页
- 第52页
- 第53页
- 第54页
- 第55页
- 第56页
- 第57页
- 第58页
- 第59页
- 第60页
- 第61页
- 第62页
- 第63页
- 第64页
- 第65页
- 第66页
- 第67页
- 第68页
- 第69页
- 第70页
- 第71页
- 第72页
- 第73页
- 第74页
- 第75页
- 第76页
- 第77页
- 第78页
- 第79页
- 第80页
- 第81页
- 第82页
- 第83页
- 第84页
- 第85页
- 第86页
- 第87页
- 第88页
- 第89页
- 第90页
1.下列说法
(
A.$\mathrm{CH_3COOCH_2CH_3}$ 和 $\mathrm{CH_3CH_2OOCCH_3}$ 互为同分异构体
B.$\mathrm{C_3H_8}$ 的一氯代物只有两种(不考虑立体异构)
C.$\mathrm{HCOOH}$ 和 $\mathrm{CH_3COOH}$ 互为同系物
D.$\mathrm{CH_3—C≡C—CH(CH_3)_2}$ 的名称为 4-甲基-2-戊炔
错
误
的是(
A
)A.$\mathrm{CH_3COOCH_2CH_3}$ 和 $\mathrm{CH_3CH_2OOCCH_3}$ 互为同分异构体
B.$\mathrm{C_3H_8}$ 的一氯代物只有两种(不考虑立体异构)
C.$\mathrm{HCOOH}$ 和 $\mathrm{CH_3COOH}$ 互为同系物
D.$\mathrm{CH_3—C≡C—CH(CH_3)_2}$ 的名称为 4-甲基-2-戊炔
答案:
1.A CH₃COOCH₂CH₃和CH₃CH₂OOCCH₃均为乙酸乙酯,为同一种物质,A错误;C₃H₈的一氯代物有1−氯丙烷和2−氯丙烷两种,B正确;HCOOH和CH₃COOH每个分子中均含有1个羧基,分子组成相差一个“CH₂”原子团,互为同系物,C正确;CH₃—C≡C—CH(CH₃)₂的名称为4−甲基−2−戊炔,D正确。
2.多巴是一种有机物,它可用于帕金森病的治疗,其结构简式如图。下列关于多巴的叙述正确的是
(

A.相对分子质量为 198
B.分子中含有 3 种含氧官能团
C.每个分子中含有 1 个手性碳原子
D.分子中所有碳原子不可能在同一平面上
(
C
)A.相对分子质量为 198
B.分子中含有 3 种含氧官能团
C.每个分子中含有 1 个手性碳原子
D.分子中所有碳原子不可能在同一平面上
答案:
2.C 多巴的分子式是C₉H₁₁NO₄,相对分子质量是197,A项错误;多巴分子中含有3种官能团,但含氧官能团只有羟基、羧基2种,B项错误;与羧基相连的碳原子连接了4个不同的原子或者原子团,是手性碳原子,C项正确;分子中所有碳原子可能在同一平面上,D项错误。
3.(2024 江苏泰州一模)F 是已知元素中电负性最大、单质氧化性最强的元素,与稀有气体 Xe 形成的 $\mathrm{XeF_2}$ 分子是非极性分子,与其他
(
A.$\mathrm{XeF_2}$ 的空间结构为 V 形
B.$\mathrm{ClF}$ 与 $\mathrm{ClF_3}$ 互为同系物
C.键角:$\mathrm{NF_3>NH_3}$
D.$\mathrm{N_2F_2}$ 存在顺反异构现象
卤
素形成的卤素互化物( 如 $\mathrm{ClF}、\mathrm{ClF_3}$)具有与 $\mathrm{Cl_2}$相似的化学性质,与 N 形成的 $\mathrm{NF_3}$,可与 $\mathrm{NH_3}$反应生成$\mathrm{N_2F_2}$( 结构式:$\mathrm{F—N=N—F}$)。自然界中,含 F 矿石有萤石($\mathrm{CaF_2}$)、冰晶石($\mathrm{Na_3AlF_6}$)等,萤石可与浓硫酸共热制取 HF 气体。下列有关说法正确的是(
D
)A.$\mathrm{XeF_2}$ 的空间结构为 V 形
B.$\mathrm{ClF}$ 与 $\mathrm{ClF_3}$ 互为同系物
C.键角:$\mathrm{NF_3>NH_3}$
D.$\mathrm{N_2F_2}$ 存在顺反异构现象
答案:
3.D 由题可知XeF₂是非极性分子,则其空间构型不可能是V形,故A错误;ClF与ClF₃不互为同系物,故B错误;NF₃和NH₃分子中N原子的价层电子对数均为4,且均含有1个孤电子对,则二者的VSEPR模型均为四面体形,且F的电负性强于H,使NF₃中成键电子对更偏向于F原子,各成键电子对间的排斥力较小,键角较小,则键角:NF₃<NH₃,故C错误;N₂F₂的结构式为F—N=N—F,为平面结构,F原子可以同时在双键的一侧(
),也可以在双键的两侧(
),即N₂F₂存在顺反异构现象,故D 正确。
3.D 由题可知XeF₂是非极性分子,则其空间构型不可能是V形,故A错误;ClF与ClF₃不互为同系物,故B错误;NF₃和NH₃分子中N原子的价层电子对数均为4,且均含有1个孤电子对,则二者的VSEPR模型均为四面体形,且F的电负性强于H,使NF₃中成键电子对更偏向于F原子,各成键电子对间的排斥力较小,键角较小,则键角:NF₃<NH₃,故C错误;N₂F₂的结构式为F—N=N—F,为平面结构,F原子可以同时在双键的一侧(
4.(2023 辽宁锦州部分学校联考)化合物 M 可用于油漆、颜料、涂料工业,其结构如图。下列关于该物质的说法正确的是
(

A.分子式为 $\mathrm{C_{14}H_{10}O_3}$
B.分子中碳原子的杂化方式有 2 种
C.分子中含有 4 种官能团
D.苯环上的一氯代物有 5 种( 不考虑立体异构)
(
B
)A.分子式为 $\mathrm{C_{14}H_{10}O_3}$
B.分子中碳原子的杂化方式有 2 种
C.分子中含有 4 种官能团
D.苯环上的一氯代物有 5 种( 不考虑立体异构)
答案:
4.B 由化合物M的结构简式可知其分子式为C₁₄H₁₂O₃,A错误;分子中形成碳氧双键的碳原子、苯环中的碳原子的杂化方式为sp²,甲基中的碳原子的杂化方式为sp³,B正确;化合物M中含羟基、羰基、醚键3种官能团,C错误;该物质分子中含两个苯环,苯环上的一氯代物共有6种,D错误。
5.(2023 河北石家庄二中月考) 有 机 物
是一种重要的有机合成中间体。下列关于 H 的说法错误的是
(
A.分子中所有碳原子不可能共平面

C.既含羧基又含醛基的 H 的同分异构体有 12 种( 不考虑立体异构)
D.该分子中有 4 个手性碳原子
(
D
)A.分子中所有碳原子不可能共平面
C.既含羧基又含醛基的 H 的同分异构体有 12 种( 不考虑立体异构)
D.该分子中有 4 个手性碳原子
答案:
5.D 分子中存在连有3个碳原子的饱和碳原子,则该分子中所有碳原子不可能共平面,A正确;H分子与
的分子中所含羟基个数不同,结构不相似,不互为同系物,B正确;既含羧基又含醛基的H的同分异构体可看作丁烷的两个氢原子分别被一个羧基和一个醛基取代,采用“定一移一”法,先固定羧基的位置,再移动醛基的位置:④②COOH、③①;③COOH、②①;④②COOH、③①;③COOH、①(序号代表醛基的位置),共12种,C正确;该分子中有3个手性碳原子,如图所示:
(手性碳原子用*标注),D错误。
5.D 分子中存在连有3个碳原子的饱和碳原子,则该分子中所有碳原子不可能共平面,A正确;H分子与
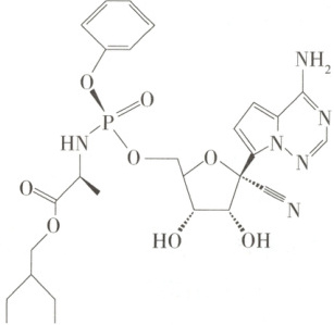
6.某有机物的结构如图所示。下列说法错误的是
(

A.分子中存在 σ 键、π 键、大 π 键
B.分子中的 N—H 键的键能小于 O—H 键的键能
C.分子中 P 原子的杂化方式为$\mathrm{sp^2}$
D.分子中含有手性碳原子
(
C
)A.分子中存在 σ 键、π 键、大 π 键
B.分子中的 N—H 键的键能小于 O—H 键的键能
C.分子中 P 原子的杂化方式为$\mathrm{sp^2}$
D.分子中含有手性碳原子
答案:
6.C 分子中所有单键都是σ键,双键、三键中都含有π键,苯环中含有大π键,A项正确;N—H键的键长大于O—H键的键长,分子中的N—H键的键能小于O—H键的键能,B项正确;分子中P原子的价层电子对数为4,杂化方式为sp³,C项错误;分子中,
结构片段中五元环上的4个碳原子均为手性碳原子,另外,
结构片段中标有“*”的碳原子也为手性碳原子,D项正确。
6.C 分子中所有单键都是σ键,双键、三键中都含有π键,苯环中含有大π键,A项正确;N—H键的键长大于O—H键的键长,分子中的N—H键的键能小于O—H键的键能,B项正确;分子中P原子的价层电子对数为4,杂化方式为sp³,C项错误;分子中,
查看更多完整答案,请扫码查看