2025年5年高考3年模拟高中化学选择性必修第三册苏教版
注:目前有些书本章节名称可能整理的还不是很完善,但都是按照顺序排列的,请同学们按照顺序仔细查找。练习册 2025年5年高考3年模拟高中化学选择性必修第三册苏教版 答案主要是用来给同学们做完题方便对答案用的,请勿直接抄袭。
第65页
- 第1页
- 第2页
- 第3页
- 第4页
- 第5页
- 第6页
- 第7页
- 第8页
- 第9页
- 第10页
- 第11页
- 第12页
- 第13页
- 第14页
- 第15页
- 第16页
- 第17页
- 第18页
- 第19页
- 第20页
- 第21页
- 第22页
- 第23页
- 第24页
- 第25页
- 第26页
- 第27页
- 第28页
- 第29页
- 第30页
- 第31页
- 第32页
- 第33页
- 第34页
- 第35页
- 第36页
- 第37页
- 第38页
- 第39页
- 第40页
- 第41页
- 第42页
- 第43页
- 第44页
- 第45页
- 第46页
- 第47页
- 第48页
- 第49页
- 第50页
- 第51页
- 第52页
- 第53页
- 第54页
- 第55页
- 第56页
- 第57页
- 第58页
- 第59页
- 第60页
- 第61页
- 第62页
- 第63页
- 第64页
- 第65页
- 第66页
- 第67页
- 第68页
- 第69页
- 第70页
- 第71页
- 第72页
- 第73页
- 第74页
- 第75页
- 第76页
- 第77页
- 第78页
- 第79页
- 第80页
- 第81页
- 第82页
- 第83页
- 第84页
- 第85页
- 第86页
- 第87页
- 第88页
- 第89页
- 第90页
9. (2023江苏,9)化合物Z是合成药物非奈利酮的重要中间体,其合成路线如下:

下列说法正确的是 (
A.X不能与${FeCl_{3}}$溶液发生显色反应
B.Y中的含氧官能团分别是酯基、羧基
C.1 mol Z最多能与3 mol ${H_{2}}$发生加成反应
D.X、Y、Z可用饱和${NaHCO_{3}}$溶液和2%银氨溶液进行鉴别
下列说法正确的是 (
D
)A.X不能与${FeCl_{3}}$溶液发生显色反应
B.Y中的含氧官能团分别是酯基、羧基
C.1 mol Z最多能与3 mol ${H_{2}}$发生加成反应
D.X、Y、Z可用饱和${NaHCO_{3}}$溶液和2%银氨溶液进行鉴别
答案:
9.D X中含有酚羟基,故能与FeCl₃溶液发生显色反应,A错误。Y中的含氧官能团是醚键、酯基,不含羧基,B错误。Z中苯环、醛基均可以和H₂发生加成反应,1mol苯环可消耗3molH₂,1mol醛基可消耗1molH₂,故1molZ最多能与4molH₂发生加成反应,C错误。X中含有羧基,能和饱和NaHCO₃溶液反应生成CO₂气体,Z中含有醛基,能和2%银氨溶液反应产生银镜,故能鉴别出X、Y、Z,D正确。
10. (2024黑吉辽,17)某实验小组为实现乙酸乙酯的绿色制备及反应过程可视化,设计实验方案如下:

Ⅰ.向50 mL烧瓶中分别加入5.7 mL乙酸(100 mmol)、8.8 mL乙醇(150 mmol)、1.4 g ${NaHSO_{4}}$固体及4~6滴1%甲基紫的乙醇溶液。向小孔冷凝柱中装入变色硅胶。
Ⅱ.加热回流50 min后,反应液由蓝色变为紫色,变色硅胶由蓝色变为粉红色,停止加热。
Ⅲ.冷却后,向烧瓶中缓慢加入饱和${Na_{2}CO_{3}}$溶液至无${CO_{2}}$逸出,分离出有机相。
Ⅳ.洗涤有机相后,加入无水${MgSO_{4}}$,过滤。
Ⅴ.蒸馏滤液,收集73~78 $\boldsymbol{^{\circ}C}$馏分,得无色液体6.60 g,色谱检测纯度为98.0%。
回答下列问题:
(1)${NaHSO_{4}}$在反应中起$\boldsymbol{$
(2)甲基紫和变色硅胶的颜色变化均可指示反应进程。变色硅胶吸水,除指示反应进程外,还可$\boldsymbol{$
(3)使用小孔冷凝柱承载,而不向反应液中直接加入变色硅胶的优点是$\boldsymbol{$
A.无需分离
B.增大该反应平衡常数
C.起到沸石作用,防止暴沸
D.不影响甲基紫指示反应进程
(4)下列仪器中,分离有机相和洗涤有机相时均需使用的是$\boldsymbol{$

(5)该实验乙酸乙酯的产率为$\boldsymbol{$
(6)若改用${C_{2}H_{5}^{18}OH}$作为反应物进行反应,质谱检测目标产物分子离子峰的质荷比数值应为$\boldsymbol{$
Ⅰ.向50 mL烧瓶中分别加入5.7 mL乙酸(100 mmol)、8.8 mL乙醇(150 mmol)、1.4 g ${NaHSO_{4}}$固体及4~6滴1%甲基紫的乙醇溶液。向小孔冷凝柱中装入变色硅胶。
Ⅱ.加热回流50 min后,反应液由蓝色变为紫色,变色硅胶由蓝色变为粉红色,停止加热。
Ⅲ.冷却后,向烧瓶中缓慢加入饱和${Na_{2}CO_{3}}$溶液至无${CO_{2}}$逸出,分离出有机相。
Ⅳ.洗涤有机相后,加入无水${MgSO_{4}}$,过滤。
Ⅴ.蒸馏滤液,收集73~78 $\boldsymbol{^{\circ}C}$馏分,得无色液体6.60 g,色谱检测纯度为98.0%。
回答下列问题:
(1)${NaHSO_{4}}$在反应中起$\boldsymbol{$
催化
$}$作用,用其代替浓${H_{2}SO_{4}}$的优点是$\boldsymbol{$减少副反应的发生
$}$(答出一条即可)。(2)甲基紫和变色硅胶的颜色变化均可指示反应进程。变色硅胶吸水,除指示反应进程外,还可$\boldsymbol{$
提高乙酸乙酯的产率
$}$。(3)使用小孔冷凝柱承载,而不向反应液中直接加入变色硅胶的优点是$\boldsymbol{$
AD
$}$(填标号)。A.无需分离
B.增大该反应平衡常数
C.起到沸石作用,防止暴沸
D.不影响甲基紫指示反应进程
(4)下列仪器中,分离有机相和洗涤有机相时均需使用的是$\boldsymbol{$
分液漏斗
$}$(填名称)。(5)该实验乙酸乙酯的产率为$\boldsymbol{$
73.5%
$}$(精确至0.1%)。(6)若改用${C_{2}H_{5}^{18}OH}$作为反应物进行反应,质谱检测目标产物分子离子峰的质荷比数值应为$\boldsymbol{$
90
$}$(精确至1)。
答案:
10.答案
(1)催化 减少副反应的发生
(2)提高乙酸乙酯的产率
(3)AD
(4)分液漏斗
(5)73.5%
(6)90
解析
(1)浓硫酸在酯化反应中作催化剂和吸水剂,用NaHSO₄代替浓硫酸,在反应中起催化作用;用浓硫酸作催化剂时,酯化反应过程中有乙醚、乙烯等副产物产生,用NaHSO₄代替浓硫酸的优点是减少副反应的发生。
(2)变色硅胶吸水,使平衡正向移动,可提高乙酸乙酯的产率。
(3)使用小孔冷凝柱承载,而不向反应液中直接加入变色硅胶的优点之一是无需分离,A正确;平衡常数只与温度有关,向反应液中直接加入变色硅胶,对平衡常数无影响,B错误;变色硅胶未直接接触反应液,不能防暴沸,C错误;变色硅胶吸水会影响溶液中c(H⁺),从而影响甲基紫指示反应进程,使用小孔冷凝柱承载变色硅胶,可避免影响甲基紫指示反应进程,D正确。
(4)容量瓶可以用于配制溶液,漏斗可以用于分离固液混合物,分液漏斗可以用于萃取分液,集气瓶可以用于收集气体和洗气。
(5)5.7mL乙酸(100mmol)与8.8mL乙醇(150mmol)反应制乙酸乙酯,乙醇过量,则理论上可以生成100mmol乙酸乙酯。实验实际制得无色液体6.60g,色谱检测纯度为98.0%,该实验乙酸乙酯的产率=m(实际)/m(理论)×100% = 6.60g×98.0%/100mmol×10⁻³mol/mmol×88g/mol = 73.5%。
(6)若改用C₂H₅¹⁸OH作为反应物进行反应,反应原理为CH₃−C(O)−OH + H−¹⁸O−C₂H₅ ⇌[NaHSO₄][△] CH₃−C(O)−¹⁸O−C₂H₅ + H₂O,有机产物分子为CH₃−C(O)−¹⁸O−C₂H₅,其相对分子质量为90,则质谱检测目标产物分子离子峰的质荷比数值应为90。
(1)催化 减少副反应的发生
(2)提高乙酸乙酯的产率
(3)AD
(4)分液漏斗
(5)73.5%
(6)90
解析
(1)浓硫酸在酯化反应中作催化剂和吸水剂,用NaHSO₄代替浓硫酸,在反应中起催化作用;用浓硫酸作催化剂时,酯化反应过程中有乙醚、乙烯等副产物产生,用NaHSO₄代替浓硫酸的优点是减少副反应的发生。
(2)变色硅胶吸水,使平衡正向移动,可提高乙酸乙酯的产率。
(3)使用小孔冷凝柱承载,而不向反应液中直接加入变色硅胶的优点之一是无需分离,A正确;平衡常数只与温度有关,向反应液中直接加入变色硅胶,对平衡常数无影响,B错误;变色硅胶未直接接触反应液,不能防暴沸,C错误;变色硅胶吸水会影响溶液中c(H⁺),从而影响甲基紫指示反应进程,使用小孔冷凝柱承载变色硅胶,可避免影响甲基紫指示反应进程,D正确。
(4)容量瓶可以用于配制溶液,漏斗可以用于分离固液混合物,分液漏斗可以用于萃取分液,集气瓶可以用于收集气体和洗气。
(5)5.7mL乙酸(100mmol)与8.8mL乙醇(150mmol)反应制乙酸乙酯,乙醇过量,则理论上可以生成100mmol乙酸乙酯。实验实际制得无色液体6.60g,色谱检测纯度为98.0%,该实验乙酸乙酯的产率=m(实际)/m(理论)×100% = 6.60g×98.0%/100mmol×10⁻³mol/mmol×88g/mol = 73.5%。
(6)若改用C₂H₅¹⁸OH作为反应物进行反应,反应原理为CH₃−C(O)−OH + H−¹⁸O−C₂H₅ ⇌[NaHSO₄][△] CH₃−C(O)−¹⁸O−C₂H₅ + H₂O,有机产物分子为CH₃−C(O)−¹⁸O−C₂H₅,其相对分子质量为90,则质谱检测目标产物分子离子峰的质荷比数值应为90。
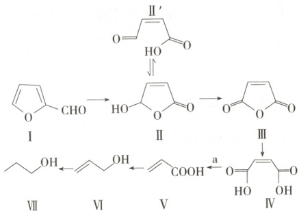
11. (2022广东,21)基于生物质资源开发常见的化工原料,是绿色化学的重要研究方向。以化合物Ⅰ为原料,可合成丙烯酸Ⅴ、丙醇Ⅶ等化工产品,进而可制备聚丙烯酸丙酯类高分子材料。

(1)化合物Ⅰ的分子式为$\boldsymbol{$
(2)已知化合物Ⅱ也能以Ⅱ'的形式存在。根据Ⅱ'的结构特征,分析预测其可能的化学性质,参考①的示例,完成下表。
(3)化合物Ⅳ能溶于水,其原因是$\boldsymbol{$
(4)化合物Ⅳ到化合物Ⅴ的反应是原子利用率100%的反应,且1 mol Ⅳ与1 mol化合物a反应得到2 mol Ⅴ,则化合物a为$\boldsymbol{$
(5)化合物Ⅵ有多种同分异构体,其中含$\boldsymbol{{}}$结构的有$\boldsymbol{$
$}$。
(6)选用含二个羧基的化合物作为唯一的含氧有机原料,参考上述信息,制备高分子化合物Ⅷ的单体。
写出Ⅷ的单体的合成路线$\boldsymbol{$
$}$(不用注明反应条件)。


(1)化合物Ⅰ的分子式为$\boldsymbol{$
C₅H₄O₂
$}$,其环上的取代基是$\boldsymbol{$醛基
$}$(写名称)。(2)已知化合物Ⅱ也能以Ⅱ'的形式存在。根据Ⅱ'的结构特征,分析预测其可能的化学性质,参考①的示例,完成下表。
(3)化合物Ⅳ能溶于水,其原因是$\boldsymbol{$
化合物Ⅳ分子中含有羧基,能与水形成氢键
$}$。(4)化合物Ⅳ到化合物Ⅴ的反应是原子利用率100%的反应,且1 mol Ⅳ与1 mol化合物a反应得到2 mol Ⅴ,则化合物a为$\boldsymbol{$
CH₂=CH₂(或乙烯)
$}$。(5)化合物Ⅵ有多种同分异构体,其中含$\boldsymbol{{}}$结构的有$\boldsymbol{$
2
$}$种,核磁共振氢谱图上只有一组峰的结构简式为$\boldsymbol{$(6)选用含二个羧基的化合物作为唯一的含氧有机原料,参考上述信息,制备高分子化合物Ⅷ的单体。
写出Ⅷ的单体的合成路线$\boldsymbol{$
答案:
11.答案
(1)C₅H₄O₂ 醛基
(2)②−CHO 银氨溶液 −COONH₄
③−COOH CH₃CH₂OH −COOCH₂CH₃ 取代反应(合理即可)
(3)化合物Ⅳ分子中含有羧基,能与水形成氢键
(4)CH₂=CH₂(或乙烯)
(5)2
(6)
解析
(1)根据题给化合物Ⅰ的结构,可知化合物Ⅰ的分子式为C₅H₄O₂,其环上的取代基是醛基。
(2)Ⅱ'的结构中除碳碳双键外,还含有醛基,可与银氨溶液或新制氢氧化铜悬浊液发生氧化反应,分别生成羧酸铵、羧酸钠;还含有羧基,可与醇在浓硫酸、加热条件下发生取代反应(酯化反应)生成酯。
(4)原子利用率100%说明该反应生成物中只有V,即Ⅳ+a ⟶ 2V,Ⅳ的分子式为C₄H₄O₄,V的分子式为C₃H₄O₂,故a的分子式为C₂H₄,为乙烯。
(5)Ⅵ的分子式为C₃H₆O,不饱和度为1,故含C=O结构的可能为饱和一元醛或饱和一元酮,其中醛为H−C(O)−C₂H₅,酮为CH₃−C(O)−CH₃,共2种;核磁共振氢谱图上只有一组峰的结构简式为
。
(6)根据高分子化合物Ⅷ的结构简式可知其是由单体CH₂=CCl−HCOOCH₂CH(CH₃)₂通过加聚反应合成的,该单体为酯类,可通过COOH和
OH发生酯化反应合成,根据题中要求只能选用含两个羧基的化合物作为唯一的含氧有机原料,参考题中Ⅳ到Ⅶ的路线,可知应选用
,仿照Ⅳ到Ⅶ的路线可由
与a(CH₂=CH₂)合成。
11.答案
(1)C₅H₄O₂ 醛基
(2)②−CHO 银氨溶液 −COONH₄
③−COOH CH₃CH₂OH −COOCH₂CH₃ 取代反应(合理即可)
(3)化合物Ⅳ分子中含有羧基,能与水形成氢键
(4)CH₂=CH₂(或乙烯)
(5)2
(6)
解析
(1)根据题给化合物Ⅰ的结构,可知化合物Ⅰ的分子式为C₅H₄O₂,其环上的取代基是醛基。
(2)Ⅱ'的结构中除碳碳双键外,还含有醛基,可与银氨溶液或新制氢氧化铜悬浊液发生氧化反应,分别生成羧酸铵、羧酸钠;还含有羧基,可与醇在浓硫酸、加热条件下发生取代反应(酯化反应)生成酯。
(4)原子利用率100%说明该反应生成物中只有V,即Ⅳ+a ⟶ 2V,Ⅳ的分子式为C₄H₄O₄,V的分子式为C₃H₄O₂,故a的分子式为C₂H₄,为乙烯。
(5)Ⅵ的分子式为C₃H₆O,不饱和度为1,故含C=O结构的可能为饱和一元醛或饱和一元酮,其中醛为H−C(O)−C₂H₅,酮为CH₃−C(O)−CH₃,共2种;核磁共振氢谱图上只有一组峰的结构简式为
(6)根据高分子化合物Ⅷ的结构简式可知其是由单体CH₂=CCl−HCOOCH₂CH(CH₃)₂通过加聚反应合成的,该单体为酯类,可通过COOH和
查看更多完整答案,请扫码查看