2025年5年高考3年模拟高中化学选择性必修第三册苏教版
注:目前有些书本章节名称可能整理的还不是很完善,但都是按照顺序排列的,请同学们按照顺序仔细查找。练习册 2025年5年高考3年模拟高中化学选择性必修第三册苏教版 答案主要是用来给同学们做完题方便对答案用的,请勿直接抄袭。
第78页
- 第1页
- 第2页
- 第3页
- 第4页
- 第5页
- 第6页
- 第7页
- 第8页
- 第9页
- 第10页
- 第11页
- 第12页
- 第13页
- 第14页
- 第15页
- 第16页
- 第17页
- 第18页
- 第19页
- 第20页
- 第21页
- 第22页
- 第23页
- 第24页
- 第25页
- 第26页
- 第27页
- 第28页
- 第29页
- 第30页
- 第31页
- 第32页
- 第33页
- 第34页
- 第35页
- 第36页
- 第37页
- 第38页
- 第39页
- 第40页
- 第41页
- 第42页
- 第43页
- 第44页
- 第45页
- 第46页
- 第47页
- 第48页
- 第49页
- 第50页
- 第51页
- 第52页
- 第53页
- 第54页
- 第55页
- 第56页
- 第57页
- 第58页
- 第59页
- 第60页
- 第61页
- 第62页
- 第63页
- 第64页
- 第65页
- 第66页
- 第67页
- 第68页
- 第69页
- 第70页
- 第71页
- 第72页
- 第73页
- 第74页
- 第75页
- 第76页
- 第77页
- 第78页
- 第79页
- 第80页
- 第81页
- 第82页
- 第83页
- 第84页
- 第85页
- 第86页
- 第87页
- 第88页
- 第89页
- 第90页
1.经典题 已知:$ RCHO+ R'CH_2 CHO\xrightarrow[ 催化剂]{ } R\begin{array}{c} OH\\ RCHCHCHO\end{array} R'$为加成反应。用乙烯制备1,3-丁二醇时,较优的合成路线中依次发生反应的反应类型为 ( )
A.加成→加成→氧化→加成
B.加成→氧化→加成→消去
C.加成→氧化→消去→加成
D.加成→氧化→加成→加成
A.加成→加成→氧化→加成
B.加成→氧化→加成→消去
C.加成→氧化→消去→加成
D.加成→氧化→加成→加成
答案:
1.D 由逆合成分析法可知,CH₃CHCH₂CH₂OH可由
与H₂发生加成反应(或还原反应)生成,由已知信息可知,CH₃CHCH₂CHO可由CH₃CHO在催化剂作用下制得,CH₃CHO可通过乙醇氧化得到,乙醇可通过乙烯与水加成得到,所以由乙烯制备CH₃CHCH₂CH₂OH,需依次发生下列转化:CH₂=CH₂加成CH₃CH₂OH氧化CH₃CHO加成CH₃CHCH₂CHO加成CH₃CHCH₂CH₂OH,D正确。
1.D 由逆合成分析法可知,CH₃CHCH₂CH₂OH可由
2.
A.苯 X 烷基化→Y 氧化甲基→Z 还原硝基→对氨基苯甲酸
B.苯硝化→X 烷基化→Y 还原硝基→Z 氧化甲基→对氨基苯甲酸
C.苯烷基化→X 硝化→Y 氧化甲基→Z 还原硝基→对氨基苯甲酸
D.苯烷基化→X 硝化→Y 还原硝基→Z 氧化甲基→对氨基苯甲酸
A.苯 X 烷基化→Y 氧化甲基→Z 还原硝基→对氨基苯甲酸
B.苯硝化→X 烷基化→Y 还原硝基→Z 氧化甲基→对氨基苯甲酸
C.苯烷基化→X 硝化→Y 氧化甲基→Z 还原硝基→对氨基苯甲酸
D.苯烷基化→X 硝化→Y 还原硝基→Z 氧化甲基→对氨基苯甲酸
答案:
2.C 若苯先发生硝化反应,由于硝基是间位定位取代基,再引入甲基时会进入硝基的间位,故应先发生烷基化反应。得到的甲苯发生硝化反应,生成对硝基甲苯。对硝基甲苯先发生氧化反应,将甲基氧化为羧基;若先将硝基还原为氨基,则氧化甲基时氨基容易被氧化。所以合理路线为苯烷基化甲苯硝化对硝基甲苯氧化甲基对硝基苯甲酸还原硝基对氨基苯甲酸,C项正确。
3.(2023河北模拟预测)对氨基苯甲酸(
)是一种用途广泛的化工产品和医药中间体,通常以甲苯为原料进行合成。对氨基苯甲酸的一种合成路线如下(已知:烷基为苯环上邻、对位定位取代基,羧基为苯环上间位定位取代基)。下列说法错误的是 (

A.甲苯与对氨基苯甲酸的核磁共振氢谱峰的组数相同
B.产物中含有副产品
,蒸馏纯化时应先将其蒸馏出来并收集
C.若反应①、②顺序互换,最终得到的是
D.实验室可通过电解在阳极完成反应③的转化
D
)A.甲苯与对氨基苯甲酸的核磁共振氢谱峰的组数相同
B.产物中含有副产品
C.若反应①、②顺序互换,最终得到的是
D.实验室可通过电解在阳极完成反应③的转化
答案:
3.D 由甲苯与对氨基苯甲酸的结构简式可知,分子中均含4种氢原子,即二者的核磁共振氢谱峰的组数相同,A正确;烷基为苯环上邻、对位定位取代基,产物中含副产品
,由于
可形成分子内氢键,其沸点低于H₂N—
,蒸馏时先汽化,B正确;若反应①、②顺序互换,由于—COOH为苯环上间位定位取代基,故会将硝基引入羧基的间位,还原后氨基与羧基位于间位,C正确;反应③为还原反应,应该在电解池的阴极完成转化,D错误。
3.D 由甲苯与对氨基苯甲酸的结构简式可知,分子中均含4种氢原子,即二者的核磁共振氢谱峰的组数相同,A正确;烷基为苯环上邻、对位定位取代基,产物中含副产品
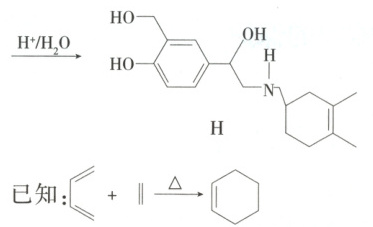
4.(2024江苏扬州期中)某研究小组按下列路线合成药物的中间体H:


(1)化合物B→C的反应类型为
(2)G中含氧官能团的名称为
(3)D是否存在顺反异构现象
(4)反应C→D过程中加入的物质X的结构简式为
。
(5)物质D→E反应过程中,产生副产物Y(C₉H₁₉N),Y的结构简式为
。
(1)化合物B→C的反应类型为
消去反应
。(2)G中含氧官能团的名称为
醚键、羟基
。(3)D是否存在顺反异构现象
否
(填“是”或“否”)。(4)反应C→D过程中加入的物质X的结构简式为
(5)物质D→E反应过程中,产生副产物Y(C₉H₁₉N),Y的结构简式为
答案:
4.答案
(1)消去反应
(2)醚键、羟基
(3)否
(4)
(5)
解析
(1)通过B的结构简式、浓硫酸、△的条件及C 的分子式,可以推出C的结构简式为CH₂=C(CH₃)C(CH₃)=CH₂,B→C的反应过程中消去了H₂O,则反应类型为消去反应。
(2)根据G的结构简式可知,G中含氧官能团的名称为醚键、羟基。
(3)D的结构(
)中碳碳双键的一侧是环状结构,故不存在顺反异构现象。
(4)反应C→D过程中发生已知信息的反应,则加入的物质X为
。
(5)由D、E的结构可知D→E是—C≡N与H₂发生了加成反应,而D中有碳碳双键,也能与H₂发生加成反应;根据副产物Y的分子式C₉H₁₉N,可知D中C=C、C≡N均发生加成反应生成Y,则Y的结构简式为
。
4.答案
(1)消去反应
(2)醚键、羟基
(3)否
(4)
(5)
解析
(1)通过B的结构简式、浓硫酸、△的条件及C 的分子式,可以推出C的结构简式为CH₂=C(CH₃)C(CH₃)=CH₂,B→C的反应过程中消去了H₂O,则反应类型为消去反应。
(2)根据G的结构简式可知,G中含氧官能团的名称为醚键、羟基。
(3)D的结构(
(4)反应C→D过程中发生已知信息的反应,则加入的物质X为
(5)由D、E的结构可知D→E是—C≡N与H₂发生了加成反应,而D中有碳碳双键,也能与H₂发生加成反应;根据副产物Y的分子式C₉H₁₉N,可知D中C=C、C≡N均发生加成反应生成Y,则Y的结构简式为
查看更多完整答案,请扫码查看