2025年5年高考3年模拟高中化学选择性必修第三册苏教版
注:目前有些书本章节名称可能整理的还不是很完善,但都是按照顺序排列的,请同学们按照顺序仔细查找。练习册 2025年5年高考3年模拟高中化学选择性必修第三册苏教版 答案主要是用来给同学们做完题方便对答案用的,请勿直接抄袭。
第68页
- 第1页
- 第2页
- 第3页
- 第4页
- 第5页
- 第6页
- 第7页
- 第8页
- 第9页
- 第10页
- 第11页
- 第12页
- 第13页
- 第14页
- 第15页
- 第16页
- 第17页
- 第18页
- 第19页
- 第20页
- 第21页
- 第22页
- 第23页
- 第24页
- 第25页
- 第26页
- 第27页
- 第28页
- 第29页
- 第30页
- 第31页
- 第32页
- 第33页
- 第34页
- 第35页
- 第36页
- 第37页
- 第38页
- 第39页
- 第40页
- 第41页
- 第42页
- 第43页
- 第44页
- 第45页
- 第46页
- 第47页
- 第48页
- 第49页
- 第50页
- 第51页
- 第52页
- 第53页
- 第54页
- 第55页
- 第56页
- 第57页
- 第58页
- 第59页
- 第60页
- 第61页
- 第62页
- 第63页
- 第64页
- 第65页
- 第66页
- 第67页
- 第68页
- 第69页
- 第70页
- 第71页
- 第72页
- 第73页
- 第74页
- 第75页
- 第76页
- 第77页
- 第78页
- 第79页
- 第80页
- 第81页
- 第82页
- 第83页
- 第84页
- 第85页
- 第86页
- 第87页
- 第88页
- 第89页
- 第90页
1. 肉桂酸是一种香料,具有很好的保香作用。利用苯甲醛与乙酸酐发生Perkin反应可制备肉桂酸,方法如下:

下列说法错误的是 (
A.苯甲醛和肉桂酸均能使酸性高锰酸钾溶液褪色
B.肉桂酸与安息香酸($\boldsymbol{{}}$)不互为同系物
C.可以利用银镜反应检验粗产品中是否含有苯甲醛
D.该反应属于取代反应,碱性环境有利于反应的进行
下列说法错误的是 (
D
)A.苯甲醛和肉桂酸均能使酸性高锰酸钾溶液褪色
B.肉桂酸与安息香酸($\boldsymbol{{}}$)不互为同系物
C.可以利用银镜反应检验粗产品中是否含有苯甲醛
D.该反应属于取代反应,碱性环境有利于反应的进行
答案:
1.D 苯甲醛含有醛基,能被酸性高锰酸钾溶液氧化,肉桂酸含碳碳双键,能被酸性高锰酸钾溶液氧化,则苯甲醛和肉桂酸均能使酸性高锰酸钾溶液褪色,A项正确;肉桂酸含碳碳双键,安息香酸不含碳碳双键,二者结构不相似,不互为同系物,B项正确;从题给反应来看,所涉及物质只有苯甲醛含醛基,因此可以利用银镜反应检验粗产品中是否含有苯甲醛,C项正确;苯甲醛与乙酸酐发生Perkin反应的机理可理解为
和CH₃COOH不是只发生取代反应,D项错误。
1.D 苯甲醛含有醛基,能被酸性高锰酸钾溶液氧化,肉桂酸含碳碳双键,能被酸性高锰酸钾溶液氧化,则苯甲醛和肉桂酸均能使酸性高锰酸钾溶液褪色,A项正确;肉桂酸含碳碳双键,安息香酸不含碳碳双键,二者结构不相似,不互为同系物,B项正确;从题给反应来看,所涉及物质只有苯甲醛含醛基,因此可以利用银镜反应检验粗产品中是否含有苯甲醛,C项正确;苯甲醛与乙酸酐发生Perkin反应的机理可理解为
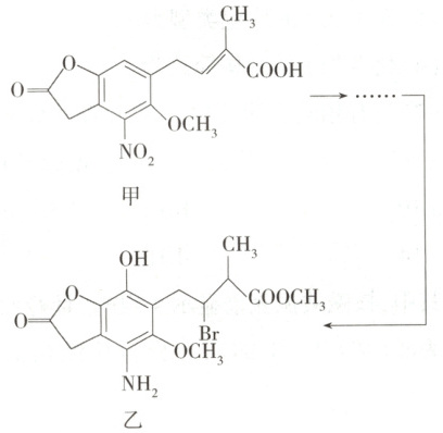
2. (2023江苏苏锡常镇四市一模)化合物乙是一种治疗神经类疾病的药物,可由化合物甲经多步反应得到。下列有关化合物甲、乙的说法不正确的是 (

A.甲分子存在顺反异构体
B.乙分子中含有2个手性碳原子
C.与足量$NaOH$溶液反应,1 mol甲最多能消耗4 mol $NaOH$
D.用${NaHCO_{3}}$溶液能鉴别甲、乙
C
)A.甲分子存在顺反异构体
B.乙分子中含有2个手性碳原子
C.与足量$NaOH$溶液反应,1 mol甲最多能消耗4 mol $NaOH$
D.用${NaHCO_{3}}$溶液能鉴别甲、乙
答案:
2.C 甲分子中碳碳双键的碳原子上均连接2个不同的原子或原子团,则存在顺反异构体,故A正确;乙分子中含有2个手性碳原子,如图:
,故B正确;甲中含有的酚酯基、羧基,可以与NaOH溶液反应,则1mol甲最多能与3molNaOH反应,故C错误;甲含有−COOH,乙不含−COOH,则可用NaHCO₃溶液鉴别甲、乙,故D正确。
素养解读
本题以化合物甲、乙的结构为情境载体,考查有机物的结构与性质,体现了证据推理与模型认知、宏观辨识与微观探析的化学学科核心素养。
2.C 甲分子中碳碳双键的碳原子上均连接2个不同的原子或原子团,则存在顺反异构体,故A正确;乙分子中含有2个手性碳原子,如图:
素养解读
本题以化合物甲、乙的结构为情境载体,考查有机物的结构与性质,体现了证据推理与模型认知、宏观辨识与微观探析的化学学科核心素养。
3. 紫花前胡醇$\boldsymbol{{}}$
药材当归和白芷中提取得到,能提高人体免疫力。有关该化合物,下列叙述错误的是 (
A.能够发生水解反应
B.分子中碳原子轨道杂化类型有2种
C.不能使酸性重铬酸钾溶液变色
D.能够发生消去反应生成碳碳双键
C
)A.能够发生水解反应
B.分子中碳原子轨道杂化类型有2种
C.不能使酸性重铬酸钾溶液变色
D.能够发生消去反应生成碳碳双键
答案:
3.C 题给分子中含有酯基,能够发生水解反应,故A正确;该分子中碳原子轨道杂化类型有sp²、sp³2种,故B正确;该物质分子中含有酚羟基,且酚羟基的邻、对位含有氢原子,能发生取代反应,含有碳碳双键,能发生加成反应,该物质不属于烯烃,C错误;该物质中醇羟基所连的碳原子的邻位碳原子上有氢原子,能够发生消去反应生成碳碳双键,故D正确。
4. 化合物X是一种重要的药物中间体,结构如图所示。下列说法不正确的是 (

A.X分子存在顺反异构体
B.X与足量${H_{2}}$加成所得产物分子中有7个手性碳原子
C.X分子中所有碳原子可能在同一平面内
D.X可以发生氧化、加成、取代、消去反应
D
)A.X分子存在顺反异构体
B.X与足量${H_{2}}$加成所得产物分子中有7个手性碳原子
C.X分子中所有碳原子可能在同一平面内
D.X可以发生氧化、加成、取代、消去反应
答案:
4.D 碳碳双键的碳原子分别连有不同的原子或原子团的分子存在顺反异构体,则X分子存在顺反异构体,故A正确;X与足量H₂加成所得产物分子中有7个手性碳原子,用“*”标记的碳原子为手性碳原子,
,故B正确;X分子中左边苯环及与苯环相连的碳原子都在同一平面内,碳碳双键为平面结构,右边苯环及与其相连的碳原子都在苯环所在平面内,单键可以旋转,因此所有碳原子可能在同一平面内,故C正确;X分子中含有羟基,但与羟基相连的碳原子的邻位碳原子上没有H,不能发生消去反应,故D错误。
4.D 碳碳双键的碳原子分别连有不同的原子或原子团的分子存在顺反异构体,则X分子存在顺反异构体,故A正确;X与足量H₂加成所得产物分子中有7个手性碳原子,用“*”标记的碳原子为手性碳原子,
5. (2024福建福州三模)实验室以苯甲醛为原料合成苯甲酸苯甲酯的反应机理如图(已知$\boldsymbol{{RO^{-}}}$极易结合$\boldsymbol{{H^{+}}}$转化为$\boldsymbol{ROH}$)。下列说法正确的是 (

A.该反应的催化剂为苯甲醇,能降低反应的焓变
B.久置的苯甲醛中含有少量苯甲酸,能加快该历程反应速率
C.合成苯甲酸苯甲酯总反应方程式为$\boldsymbol{{2H \xrightarrow{催化剂} + H_{2}O}}$

D.与酯化反应相比,该反应的原子利用率高
D
)A.该反应的催化剂为苯甲醇,能降低反应的焓变
B.久置的苯甲醛中含有少量苯甲酸,能加快该历程反应速率
C.合成苯甲酸苯甲酯总反应方程式为$\boldsymbol{{2H \xrightarrow{催化剂} + H_{2}O}}$
D.与酯化反应相比,该反应的原子利用率高
答案:
5.D 该反应的催化剂为苯甲醇钠,且不改变反应的焓变,故A错误;苯甲酸会使苯甲醇钠转化为苯甲醇,导致催化剂失效,会减慢该历程反应速率,故B错误;合成苯甲酸苯甲酯总反应方程式为2
→[催化剂]
,没有水生成,故C错误;该反应没有副产物,原子利用率为100%,与酯化反应相比,该反应的原子利用率高,故D正确。
5.D 该反应的催化剂为苯甲醇钠,且不改变反应的焓变,故A错误;苯甲酸会使苯甲醇钠转化为苯甲醇,导致催化剂失效,会减慢该历程反应速率,故B错误;合成苯甲酸苯甲酯总反应方程式为2
查看更多完整答案,请扫码查看