2025年5年高考3年模拟高中化学选择性必修第三册苏教版
注:目前有些书本章节名称可能整理的还不是很完善,但都是按照顺序排列的,请同学们按照顺序仔细查找。练习册 2025年5年高考3年模拟高中化学选择性必修第三册苏教版 答案主要是用来给同学们做完题方便对答案用的,请勿直接抄袭。
第59页
- 第1页
- 第2页
- 第3页
- 第4页
- 第5页
- 第6页
- 第7页
- 第8页
- 第9页
- 第10页
- 第11页
- 第12页
- 第13页
- 第14页
- 第15页
- 第16页
- 第17页
- 第18页
- 第19页
- 第20页
- 第21页
- 第22页
- 第23页
- 第24页
- 第25页
- 第26页
- 第27页
- 第28页
- 第29页
- 第30页
- 第31页
- 第32页
- 第33页
- 第34页
- 第35页
- 第36页
- 第37页
- 第38页
- 第39页
- 第40页
- 第41页
- 第42页
- 第43页
- 第44页
- 第45页
- 第46页
- 第47页
- 第48页
- 第49页
- 第50页
- 第51页
- 第52页
- 第53页
- 第54页
- 第55页
- 第56页
- 第57页
- 第58页
- 第59页
- 第60页
- 第61页
- 第62页
- 第63页
- 第64页
- 第65页
- 第66页
- 第67页
- 第68页
- 第69页
- 第70页
- 第71页
- 第72页
- 第73页
- 第74页
- 第75页
- 第76页
- 第77页
- 第78页
- 第79页
- 第80页
- 第81页
- 第82页
- 第83页
- 第84页
- 第85页
- 第86页
- 第87页
- 第88页
- 第89页
- 第90页
1.经典题 下列物质既能发生消去反应,又能被氧化成醛的是
(
A.苯甲醇
B.2,2-二甲基-1-丙醇
C.2-甲基-1-丁醇
D.甲醇
(
C
)A.苯甲醇
B.2,2-二甲基-1-丙醇
C.2-甲基-1-丁醇
D.甲醇
答案:
1.C 苯甲醇的结构简式为
,分子中与羟基相连的碳原子的邻位碳原子上无H,不能发生消去反应,与羟基相连的碳原子上有2个H,能发生催化氧化反应生成醛,故A错误。2,2 - 二甲基 - 1 - 丙醇的结构简式为CH₃ - C(CH₃)₂ - CH₂OH,与—OH相连的碳原子的邻位碳原子上没有H,不能发生消去反应,故B错误。2 - 甲基 - 1 - 丁醇的结构简式为CH₃CH₂CH(CH₃)CH₂OH,羟基所连碳原子的邻位碳原子上连有H,能发生消去反应,与羟基相连的碳原子上有2个H,能发生催化氧化反应生成醛,故C正确。甲醇的结构简式为CH₃OH,甲醇能够被催化氧化生成甲醛,但是一个甲醇分子中只含有一个C,不能发生消去反应,故D错误。
1.C 苯甲醇的结构简式为
2.芳樟醇存在于芳樟油、黄樟油、熏衣草油等物质中,香叶醇存在于香茅油、香叶油、香草油和玫瑰油等物质中,二者均可用于合成香精,其键线式如图所示。

A.两种醇都能与溴水反应
B.两种醇互为同分异构体
C.两种醇均可以与氧气在铜的催化作用和加热条件下反应生成相应的醛
D.芳樟醇分子中有一个手性碳原子
A.两种醇都能与溴水反应
B.两种醇互为同分异构体
C.两种醇均可以与氧气在铜的催化作用和加热条件下反应生成相应的醛
D.芳樟醇分子中有一个手性碳原子
答案:
2.C 两种醇中均含碳碳双键,均可与溴水发生加成反应,A正确;两种醇的分子式均为C₁₀H₁₈O,结构不同,互为同分异构体,B正确;芳樟醇分子中,与羟基相连的碳原子上没有氢原子,所以不能与氧气在铜的催化作用和加热条件下发生氧化反应生成醛,C错误;芳樟醇分子中连接羟基的碳原子为手性碳原子,D正确。
3.(2023重庆巴蜀中学月考)已知一种免疫调节剂的结构简式如下所示,下列说法正确的是
(

A.该有机物属于芳香族化合物,其分子式为$\mathrm{C_9H_9O_4N}$
B.该有机物可以发生氧化反应、取代反应、消去反应、加成反应
C.该有机物与$\mathrm{FeCl_3}$溶液会发生显色反应
D.该有机物不能催化氧化成醛
(
C
)A.该有机物属于芳香族化合物,其分子式为$\mathrm{C_9H_9O_4N}$
B.该有机物可以发生氧化反应、取代反应、消去反应、加成反应
C.该有机物与$\mathrm{FeCl_3}$溶液会发生显色反应
D.该有机物不能催化氧化成醛
答案:
3.C 该有机物分子中含有苯环,属于芳香族化合物,其分子式为C₉H₁₁O₄N,A错误;该有机物分子中与醇羟基相连的碳原子的邻位碳原子上没有氢原子,不能发生消去反应,B错误;该有机物分子中含有酚羟基,与FeCl₃溶液会发生显色反应,C正确;该有机物分子中含—CH₂OH,可催化氧化成醛,D错误。
4.丁子香酚可用于制备杀虫剂和防腐剂,结构简式如下所示。下列说法中,不正确的是
(

A.丁子香酚的分子式为$\mathrm{C_{10}H_{12}O_2}$
B.丁子香酚分子中含有 3 种官能团
C.1 mol 丁子香酚与足量氢气加成时,最多能消耗 4 mol $\mathrm{H_2}$
D.丁子香酚能使酸性$\mathrm{KMnO_4}$溶液褪色,可证明其分子中含有碳碳双键
(
D
)A.丁子香酚的分子式为$\mathrm{C_{10}H_{12}O_2}$
B.丁子香酚分子中含有 3 种官能团
C.1 mol 丁子香酚与足量氢气加成时,最多能消耗 4 mol $\mathrm{H_2}$
D.丁子香酚能使酸性$\mathrm{KMnO_4}$溶液褪色,可证明其分子中含有碳碳双键
答案:
4.D 丁子香酚的分子式为C₁₀H₁₂O₂,A项正确;分子中含有的官能团是羟基、醚键和碳碳双键,B项正确;丁子香酚中的苯环及碳碳双键可以和氢气发生加成反应,则1mol丁子香酚与足量氢气加成时,最多能消耗4molH₂,C项正确;与苯环直接相连的碳原子上有氢原子,也可被酸性高锰酸钾溶液氧化而使酸性高锰酸钾溶液褪色,D项错误。
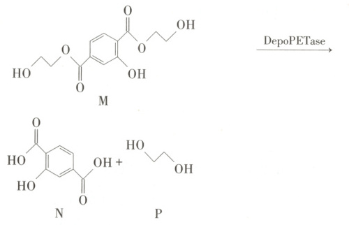
5.(2023山东聊城三模)某研究所开发的一种新型生物催化剂(DepoPETase)对多种废弃 PET包装实现了完全解聚,部分转化如图所示。

下列叙述正确的是
(
A.M 与足量$\mathrm{H_2}$加成后,产物分子中含 5 个手性碳原子
B.N 可与$\mathrm{NaHCO_3}$溶液反应生成$\mathrm{CO_2}$
C.N 可发生消去反应
D.P 与足量酸性$\mathrm{KMnO_4}$溶液反应生成草酸
下列叙述正确的是
(
B
)A.M 与足量$\mathrm{H_2}$加成后,产物分子中含 5 个手性碳原子
B.N 可与$\mathrm{NaHCO_3}$溶液反应生成$\mathrm{CO_2}$
C.N 可发生消去反应
D.P 与足量酸性$\mathrm{KMnO_4}$溶液反应生成草酸
答案:
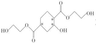
5.B M分子中只有苯环能与H₂发生加成反应,所得产物分子中含3个手性碳原子(用*标注的为手性碳原子,如图所示:
),A错误;N分子中含羧基,可与NaHCO₃溶液反应生成CO₂,B正确;N分子中含酚羟基,不能发生消去反应,C错误;P为乙二醇,草酸可被酸性高锰酸钾溶液氧化生成CO₂,故P与足量酸性高锰酸钾溶液反应生成CO₂,D错误。
5.B M分子中只有苯环能与H₂发生加成反应,所得产物分子中含3个手性碳原子(用*标注的为手性碳原子,如图所示:
查看更多完整答案,请扫码查看