2025年5年高考3年模拟高中化学选择性必修第三册苏教版
注:目前有些书本章节名称可能整理的还不是很完善,但都是按照顺序排列的,请同学们按照顺序仔细查找。练习册 2025年5年高考3年模拟高中化学选择性必修第三册苏教版 答案主要是用来给同学们做完题方便对答案用的,请勿直接抄袭。
第25页
- 第1页
- 第2页
- 第3页
- 第4页
- 第5页
- 第6页
- 第7页
- 第8页
- 第9页
- 第10页
- 第11页
- 第12页
- 第13页
- 第14页
- 第15页
- 第16页
- 第17页
- 第18页
- 第19页
- 第20页
- 第21页
- 第22页
- 第23页
- 第24页
- 第25页
- 第26页
- 第27页
- 第28页
- 第29页
- 第30页
- 第31页
- 第32页
- 第33页
- 第34页
- 第35页
- 第36页
- 第37页
- 第38页
- 第39页
- 第40页
- 第41页
- 第42页
- 第43页
- 第44页
- 第45页
- 第46页
- 第47页
- 第48页
- 第49页
- 第50页
- 第51页
- 第52页
- 第53页
- 第54页
- 第55页
- 第56页
- 第57页
- 第58页
- 第59页
- 第60页
- 第61页
- 第62页
- 第63页
- 第64页
- 第65页
- 第66页
- 第67页
- 第68页
- 第69页
- 第70页
- 第71页
- 第72页
- 第73页
- 第74页
- 第75页
- 第76页
- 第77页
- 第78页
- 第79页
- 第80页
- 第81页
- 第82页
- 第83页
- 第84页
- 第85页
- 第86页
- 第87页
- 第88页
- 第89页
- 第90页
1. (2023重庆八中月考)分子式为${C_{5}H_{11}Br}$的有机物共有(不考虑立体异构) (
A.7种
B.8种
C.9种
D.10种
B
)A.7种
B.8种
C.9种
D.10种
答案:
1.B 分子式为C₅H₁₁Br的有机物,可看作1个Br原子取代C₅H₁₂的1个H原子所得,C₅H₁₂有正戊烷、异戊烷、新戊烷3种结构,利用等效氢法,其一溴代物分别为3种、4种和1种,故C₅H₁₁Br共有3+4+1=8种同分异构体。
2. (2024河北石家庄二中实验学校月考)下列说法不正确的是 (
A.${C_{7}H_{16}}$含三个甲基的同分异构体有3种
B.以
表示的有机物共有20种(不含立体异构)
C.分子式为${C_{4}H_{8}BrCl}$的有机化合物共有14种(不含立体异构)
D.分子式为${C_{5}H_{12}O}$属于醇的同分异构体有8种
C
)A.${C_{7}H_{16}}$含三个甲基的同分异构体有3种
B.以
C.分子式为${C_{4}H_{8}BrCl}$的有机化合物共有14种(不含立体异构)
D.分子式为${C_{5}H_{12}O}$属于醇的同分异构体有8种
答案:
2.C C₇H₁₆含三个甲基的同分异构体中,若主链碳原子数为6,甲基的位置有2种(
),若主链碳原子数为5,则乙基只能在3号碳上,共3种,故A正确;丁基存在CH₃CH₂CH₂CH₂—、CH₃CHCH₂—CH₃、CH₃CH₂CH—、CH₃C—4种结构,—C₃H₆Cl中—Cl存在CH₃CH₂CH₂—、CH₃CH—5种情况,共4×5=20种结构,故B正确;分子式为C₄H₈BrCl的有机化合物共有12种(
,序号为Cl原子的位置),故C错误;戊基存在8种结构,则分子式为C₅H₁₂O且属于醇的同分异构体有8种,故D正确。
2.C C₇H₁₆含三个甲基的同分异构体中,若主链碳原子数为6,甲基的位置有2种(
3. (2023江苏盐城伍佑中学月考)下列关于有机物的说法不正确的是 (
A.2-丁烯分子存在顺反异构
B.对三联苯
的一氯代物有5种
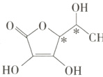
C.每个抗坏血酸分子(
)中有2个手性碳原子
D.立方烷(
)经硝化可得到六硝基立方烷,其可能的结构有3种
B
)A.2-丁烯分子存在顺反异构
B.对三联苯
C.每个抗坏血酸分子(
D.立方烷(
答案:
3.B 2-丁烯分子中,碳碳双键上的每个碳原子都连有1个H原子和1个—CH₃,存在顺反异构,A项正确;
的一氯代物有4种,如图:
(数字表示氯原子所在的位置),B项错误;每个抗坏血酸分子中有2个手性碳原子,如图:
HOH中标有“*”的碳原子为手性碳原子,C项正确;立方烷经硝化可得到六硝基立方烷,六硝基立方烷的结构种数与二硝基立方烷的结构种数相同,二硝基立方烷的结构有3种,D项正确。
3.B 2-丁烯分子中,碳碳双键上的每个碳原子都连有1个H原子和1个—CH₃,存在顺反异构,A项正确;
4. (2023河南南阳一中月考)下列有关同分异构体(不考虑立体异构)数目的叙述正确的是(
A.分子式为${C_{5}H_{10}O}$且属于酮的有机物的种数与分子式为${C_{4}H_{10}O}$且属于醚的有机物的种数不同
B.某单烯烃与氢气的加成产物是
,则该单烯烃有3种结构
C.联苯(
)的二氯取代物有13种
D.1 mol某链状烷烃完全燃烧消耗11 mol ${O_{2}}$,则其主链上含有5个碳原子的同分异构体有6种
B
)A.分子式为${C_{5}H_{10}O}$且属于酮的有机物的种数与分子式为${C_{4}H_{10}O}$且属于醚的有机物的种数不同
B.某单烯烃与氢气的加成产物是
C.联苯(
D.1 mol某链状烷烃完全燃烧消耗11 mol ${O_{2}}$,则其主链上含有5个碳原子的同分异构体有6种
答案:
4.B 分子式为C₅H₁₀O的酮有3种结构,即CH₃—C—CH₂CH₂CH₃、CH₃—C—CH(CH₃)₂、CH₃CH₂—C—CH₂CH₃,分子式为C₄H₁₀O的醚有3种结构,即CH₃OCH₂CH₂CH₃、CH₃CH₂OCH₂CH₃、CH₃OCH(CH₃)₂,A错误;该烷烃对应的单烯烃有3种结构,即CH₃—C—CH—CH—CH₃(数字表示碳碳双键与H₂加成的位置),B正确;联苯分子中有3种氢原子,确定其二氯取代物种数时,可采用“定一移一法”,即
数字为另一个氯原子的位置),共有5+5+2=12种,C错误;由链状烷烃通式CₙH₂ₙ₊₂和1mol链状烷烃完全燃烧消耗11molO₂,可得n + $\frac{2n + 2}{4}$ = 11,解得n = 7,主链上有5个碳原子,则侧链为2个甲基或1个乙基,侧链为2个甲基的结构为CH₃CH₂C(CH₃)₂CH₂CH₃、CH₃CH₂CH₂C(CH₃)₃、CH₃CH₂CH(CH₃)CH(CH₃)₂、CH₃CH(CH₃)CH₂CH(CH₃)₂、CH₃CH(CH₃)CH(CH₃)CH₂CH₃,侧链为1个乙基的结构为(CH₃CH₂)₃CH,共5种,D错误。
方法点津
确定同分异构体数目时,要抓住题干或选项中关键信息,并使用合适的方法有序书写。如:C项,结合对称性,采用“定一移一”法确定联苯二氯取代物的种数;D项,可结合链状烷烃的通式和燃烧规律确定烷烃的分子式,再结合烷烃同分异构体的书写方法确定符合条件的同分异构体种数。
4.B 分子式为C₅H₁₀O的酮有3种结构,即CH₃—C—CH₂CH₂CH₃、CH₃—C—CH(CH₃)₂、CH₃CH₂—C—CH₂CH₃,分子式为C₄H₁₀O的醚有3种结构,即CH₃OCH₂CH₂CH₃、CH₃CH₂OCH₂CH₃、CH₃OCH(CH₃)₂,A错误;该烷烃对应的单烯烃有3种结构,即CH₃—C—CH—CH—CH₃(数字表示碳碳双键与H₂加成的位置),B正确;联苯分子中有3种氢原子,确定其二氯取代物种数时,可采用“定一移一法”,即
方法点津
确定同分异构体数目时,要抓住题干或选项中关键信息,并使用合适的方法有序书写。如:C项,结合对称性,采用“定一移一”法确定联苯二氯取代物的种数;D项,可结合链状烷烃的通式和燃烧规律确定烷烃的分子式,再结合烷烃同分异构体的书写方法确定符合条件的同分异构体种数。
5. 三种有机物X、Y、Z的结构如图所示:

完成下列填空。
(1)Z的分子式为
(2)Y与${H_{2}}$以物质的量之比1:1加成生成苯的同系物M,写出其化学方程式:
(3)不考虑立体异构,Z的一氯代物有
完成下列填空。
(1)Z的分子式为
C₈H₈
。Y的官能团名称是碳碳双键
。(2)Y与${H_{2}}$以物质的量之比1:1加成生成苯的同系物M,写出其化学方程式:
苯环—CH₃+H₂$\stackrel{催化剂}{\triangle}$苯环—CH₂CH₃
。写出所有与M的物质类别相同的同分异构体的结构简式:苯环—CH—CH₃、CH₃—苯环—CH₃。
。(3)不考虑立体异构,Z的一氯代物有
1
种,X的二氯代物有6
种。
答案:
5.答案
(1)C₈H₈ 碳碳双键
(2)苯环—CH₃+H₂$\stackrel{催化剂}{\triangle}$苯环—CH₂CH₃、苯环—CH—CH₃、CH₃—苯环—CH₃。
(3)1 6
解析
(1)根据Z的结构可知,Z的分子式为C₈H₈;Y是苯乙烯,其官能团名称是碳碳双键。
(2)Y与H₂以物质的量之比1:1加成生成苯的同系物M,即只有碳碳双键发生了加成反应,则M的结构简式为苯环—CH₂CH₃,据此可写出Y→M的化学方程式。与M同类别的同分异构体有3种,其结构简式分别为苯环—CH₂CH₃(邻、间、对三种)、苯环—CH—CH₃(甲基处于邻位、间位、对位)。
(3)Z分子的8个H为等效氢,其一氯代物仅有1种;X分子有2种H,采用“定一移一法”,可确定X的二氯代物有6种结构,即
5.答案
(1)C₈H₈ 碳碳双键
(2)苯环—CH₃+H₂$\stackrel{催化剂}{\triangle}$苯环—CH₂CH₃、苯环—CH—CH₃、CH₃—苯环—CH₃。
(3)1 6
解析
(1)根据Z的结构可知,Z的分子式为C₈H₈;Y是苯乙烯,其官能团名称是碳碳双键。
(2)Y与H₂以物质的量之比1:1加成生成苯的同系物M,即只有碳碳双键发生了加成反应,则M的结构简式为苯环—CH₂CH₃,据此可写出Y→M的化学方程式。与M同类别的同分异构体有3种,其结构简式分别为苯环—CH₂CH₃(邻、间、对三种)、苯环—CH—CH₃(甲基处于邻位、间位、对位)。
(3)Z分子的8个H为等效氢,其一氯代物仅有1种;X分子有2种H,采用“定一移一法”,可确定X的二氯代物有6种结构,即
查看更多完整答案,请扫码查看