2025年5年高考3年模拟高中化学选择性必修第三册苏教版
注:目前有些书本章节名称可能整理的还不是很完善,但都是按照顺序排列的,请同学们按照顺序仔细查找。练习册 2025年5年高考3年模拟高中化学选择性必修第三册苏教版 答案主要是用来给同学们做完题方便对答案用的,请勿直接抄袭。
第60页
- 第1页
- 第2页
- 第3页
- 第4页
- 第5页
- 第6页
- 第7页
- 第8页
- 第9页
- 第10页
- 第11页
- 第12页
- 第13页
- 第14页
- 第15页
- 第16页
- 第17页
- 第18页
- 第19页
- 第20页
- 第21页
- 第22页
- 第23页
- 第24页
- 第25页
- 第26页
- 第27页
- 第28页
- 第29页
- 第30页
- 第31页
- 第32页
- 第33页
- 第34页
- 第35页
- 第36页
- 第37页
- 第38页
- 第39页
- 第40页
- 第41页
- 第42页
- 第43页
- 第44页
- 第45页
- 第46页
- 第47页
- 第48页
- 第49页
- 第50页
- 第51页
- 第52页
- 第53页
- 第54页
- 第55页
- 第56页
- 第57页
- 第58页
- 第59页
- 第60页
- 第61页
- 第62页
- 第63页
- 第64页
- 第65页
- 第66页
- 第67页
- 第68页
- 第69页
- 第70页
- 第71页
- 第72页
- 第73页
- 第74页
- 第75页
- 第76页
- 第77页
- 第78页
- 第79页
- 第80页
- 第81页
- 第82页
- 第83页
- 第84页
- 第85页
- 第86页
- 第87页
- 第88页
- 第89页
- 第90页
6.绿原酸的结构简式如下所示。下列有关绿原酸的说法不正确的是
(

A.可与$\mathrm{FeCl_3}$溶液发生显色反应
B.1 mol 绿原酸与足量浓溴水反应时,最多可消耗 3 mol $\mathrm{Br_2}$
C.1 mol 绿原酸最多能与 4 mol $\mathrm{H_2}$发生加成反应
D.1 mol 绿原酸与足量$\mathrm{NaOH}$溶液反应时,最多可消耗 4 mol $\mathrm{NaOH}$
(
B
)A.可与$\mathrm{FeCl_3}$溶液发生显色反应
B.1 mol 绿原酸与足量浓溴水反应时,最多可消耗 3 mol $\mathrm{Br_2}$
C.1 mol 绿原酸最多能与 4 mol $\mathrm{H_2}$发生加成反应
D.1 mol 绿原酸与足量$\mathrm{NaOH}$溶液反应时,最多可消耗 4 mol $\mathrm{NaOH}$
答案:
6.B 分子中含酚羟基,可与FeCl₃溶液发生显色反应,A正确;酚羟基的邻、对位上的H能和浓溴水中的Br₂发生取代反应,碳碳双键能和Br₂发生加成反应,即1mol绿原酸最多消耗4molBr₂,B错误;分子中含有的苯环和碳碳双键能与H₂发生加成反应,羧基和酯基不能与H₂发生加成反应,故1mol绿原酸最多能与4molH₂发生加成反应,C正确;酚羟基、羧基、酯基均能消耗NaOH,则1mol绿原酸最多能消耗4molNaOH,D正确。
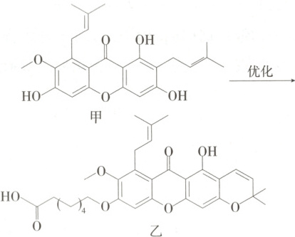
7.(2024湖南衡阳二模)中山大学药学院巫瑞波、罗海彬和广州中医药大学中药学院何细新等人合作报道了 PDE4 抑制剂(抑制炎症的一种药物)的优化(过程如图所示)。下列说法错误的是
(

A.甲中碳原子有两种杂化类型
B.1 mol 甲和 1 mol 乙最多能加成$\mathrm{H_2}$的量相等
C.等物质的量的甲、乙分别与过量$\mathrm{Na_2CO_3}$反应,消耗$\mathrm{Na_2CO_3}$的物质的量之比为 3 : 2
D.该药物的优化过程只涉及取代反应和加成反应
(
D
)A.甲中碳原子有两种杂化类型
B.1 mol 甲和 1 mol 乙最多能加成$\mathrm{H_2}$的量相等
C.等物质的量的甲、乙分别与过量$\mathrm{Na_2CO_3}$反应,消耗$\mathrm{Na_2CO_3}$的物质的量之比为 3 : 2
D.该药物的优化过程只涉及取代反应和加成反应
答案:
7.D 由甲的结构简式可知,甲中碳原子有sp²和sp³两种杂化类型,即苯环、酮羰基和碳碳双键上的碳原子采用sp²杂化,其余碳原子采用sp³杂化,故A正确;每个甲、乙分子中均含有2个苯环、2个C = C、1个羰基,—COOH不能与H₂加成,则1mol甲和1mol乙最多能加成H₂的量相等,故B正确;由甲、乙的结构简式可知,每个甲分子中含有的3个酚羟基能与Na₂CO₃反应,则1mol甲消耗Na₂CO₃的物质的量为3mol,每个乙分子中含有的1个羧基和1个酚羟基能与Na₂CO₃反应,则1mol乙消耗Na₂CO₃的物质的量为2mol,即等物质的量的甲、乙最多消耗Na₂CO₃的物质的量之比为3 : 2,故C正确;由甲、乙的结构简式可知,甲分子中左侧酚羟基上的—H被HOOCCH₂(CH₂)₄CH₂—取代,右侧
酚羟基与碳碳双键加成后,又消去了2个H,在*标注的2个碳原子之间形成新的双键,即该药物的优化过程中涉及取代反应、加成反应和消去反应,故D错误。
7.D 由甲的结构简式可知,甲中碳原子有sp²和sp³两种杂化类型,即苯环、酮羰基和碳碳双键上的碳原子采用sp²杂化,其余碳原子采用sp³杂化,故A正确;每个甲、乙分子中均含有2个苯环、2个C = C、1个羰基,—COOH不能与H₂加成,则1mol甲和1mol乙最多能加成H₂的量相等,故B正确;由甲、乙的结构简式可知,每个甲分子中含有的3个酚羟基能与Na₂CO₃反应,则1mol甲消耗Na₂CO₃的物质的量为3mol,每个乙分子中含有的1个羧基和1个酚羟基能与Na₂CO₃反应,则1mol乙消耗Na₂CO₃的物质的量为2mol,即等物质的量的甲、乙最多消耗Na₂CO₃的物质的量之比为3 : 2,故C正确;由甲、乙的结构简式可知,甲分子中左侧酚羟基上的—H被HOOCCH₂(CH₂)₄CH₂—取代,右侧
8.中草药陈皮中含有如下有机物:

,其具有杀菌作用。1 mol 该分子与足量浓溴水反应,与足量$\mathrm{NaOH}$溶液反应,最多消耗$\mathrm{Br_2}$和$\mathrm{NaOH}$的物质的量分别为
(
A.2 mol,2 mol
B.3 mol,4 mol
C.3 mol,3 mol
D.2 mol,4 mol
,其具有杀菌作用。1 mol 该分子与足量浓溴水反应,与足量$\mathrm{NaOH}$溶液反应,最多消耗$\mathrm{Br_2}$和$\mathrm{NaOH}$的物质的量分别为
(
B
)A.2 mol,2 mol
B.3 mol,4 mol
C.3 mol,3 mol
D.2 mol,4 mol
答案:
8.B 该分子中酚羟基邻位的2个H原子可与Br₂发生取代反应,含有碳碳双键,可与Br₂发生加成反应,则1mol该分子与足量浓溴水反应最多可消耗3molBr₂;酚羟基可与NaOH反应,该分子中酯基水解生成酚羟基和羧基,则1mol该分子最多消耗4molNaOH。
9.(2023辽宁教研联盟专题练习)水杨酸存在于自然界的柳树皮、白珠树叶及甜桦树中,具有解热、镇痛作用,也可用于制备 A、B 两种药物,转化关系如图所示。

下列说法错误的是
(
A.由水杨酸转化成 A 和 B 的反应类型都是取代反应
B.1 mol A、1 mol B 分别与足量$\mathrm{NaOH}$溶液反应,消耗$\mathrm{NaOH}$的物质的量:B>A
C.1 mol 水杨酸与足量$\mathrm{NaHCO_3}$溶液反应,最多多消耗 2 mol $\mathrm{NaHCO_3}$
D.水杨酸的同分异构体中,与其官能团相同的芳香族化合物共有 2 种
下列说法错误的是
(
C
)A.由水杨酸转化成 A 和 B 的反应类型都是取代反应
B.1 mol A、1 mol B 分别与足量$\mathrm{NaOH}$溶液反应,消耗$\mathrm{NaOH}$的物质的量:B>A
C.1 mol 水杨酸与足量$\mathrm{NaHCO_3}$溶液反应,最多多消耗 2 mol $\mathrm{NaHCO_3}$
D.水杨酸的同分异构体中,与其官能团相同的芳香族化合物共有 2 种
答案:
9.C 对比水杨酸、A和B的结构可知,由水杨酸转化成A和B的反应类型都是取代反应,故A正确;1molA、1molB分别与足量NaOH溶液反应,消耗NaOH的物质的量分别是2mol、3mol,故B正确;水杨酸中的羧基能与NaHCO₃反应,1mol水杨酸与NaHCO₃溶液反应,最多消耗1molNaHCO₃,故C错误;符合条件的有机物共有2种,分别
,故D正确。
9.C 对比水杨酸、A和B的结构可知,由水杨酸转化成A和B的反应类型都是取代反应,故A正确;1molA、1molB分别与足量NaOH溶液反应,消耗NaOH的物质的量分别是2mol、3mol,故B正确;水杨酸中的羧基能与NaHCO₃反应,1mol水杨酸与NaHCO₃溶液反应,最多消耗1molNaHCO₃,故C错误;符合条件的有机物共有2种,分别
查看更多完整答案,请扫码查看