2025年5年高考3年模拟高中化学选择性必修第三册苏教版
注:目前有些书本章节名称可能整理的还不是很完善,但都是按照顺序排列的,请同学们按照顺序仔细查找。练习册 2025年5年高考3年模拟高中化学选择性必修第三册苏教版 答案主要是用来给同学们做完题方便对答案用的,请勿直接抄袭。
第17页
- 第1页
- 第2页
- 第3页
- 第4页
- 第5页
- 第6页
- 第7页
- 第8页
- 第9页
- 第10页
- 第11页
- 第12页
- 第13页
- 第14页
- 第15页
- 第16页
- 第17页
- 第18页
- 第19页
- 第20页
- 第21页
- 第22页
- 第23页
- 第24页
- 第25页
- 第26页
- 第27页
- 第28页
- 第29页
- 第30页
- 第31页
- 第32页
- 第33页
- 第34页
- 第35页
- 第36页
- 第37页
- 第38页
- 第39页
- 第40页
- 第41页
- 第42页
- 第43页
- 第44页
- 第45页
- 第46页
- 第47页
- 第48页
- 第49页
- 第50页
- 第51页
- 第52页
- 第53页
- 第54页
- 第55页
- 第56页
- 第57页
- 第58页
- 第59页
- 第60页
- 第61页
- 第62页
- 第63页
- 第64页
- 第65页
- 第66页
- 第67页
- 第68页
- 第69页
- 第70页
- 第71页
- 第72页
- 第73页
- 第74页
- 第75页
- 第76页
- 第77页
- 第78页
- 第79页
- 第80页
- 第81页
- 第82页
- 第83页
- 第84页
- 第85页
- 第86页
- 第87页
- 第88页
- 第89页
- 第90页
9. 经典题 下列有机物中,存在顺反异构体的是 (
A.$CH_3CH_2CH_2C(CH_3)=CH_2$
B.$CH_3CH_2CH(CH_3)CH=CH_2$
C.$CH_3CH_2CH=C(CH_3)_2$
D.$(CH_3)_2CHCH=CHCH_3$
D
)A.$CH_3CH_2CH_2C(CH_3)=CH_2$
B.$CH_3CH_2CH(CH_3)CH=CH_2$
C.$CH_3CH_2CH=C(CH_3)_2$
D.$(CH_3)_2CHCH=CHCH_3$
答案:
9.D CH₃CH₂CH₂C(CH₃)=CH₂中碳碳双键中的1个C原子连接了2个H原子,不具有顺反异构体,故不选A;CH₃CH₂CH(CH₃)CH=CH₂中碳碳双键中的1个C原子连接了2个H原子,不具有顺反异构体,故不选B;CH₃CH₂CH=C(CH₃)₂中碳碳双键中的1个C原子连接了2个—CH₃,不具有顺反异构体,故不选C;(CH₃)₂CH=CHCH₃中碳碳双键中每个C原子连接不同的原子或原子团,具有顺反异构体:
,故选D。
9.D CH₃CH₂CH₂C(CH₃)=CH₂中碳碳双键中的1个C原子连接了2个H原子,不具有顺反异构体,故不选A;CH₃CH₂CH(CH₃)CH=CH₂中碳碳双键中的1个C原子连接了2个H原子,不具有顺反异构体,故不选B;CH₃CH₂CH=C(CH₃)₂中碳碳双键中的1个C原子连接了2个—CH₃,不具有顺反异构体,故不选C;(CH₃)₂CH=CHCH₃中碳碳双键中每个C原子连接不同的原子或原子团,具有顺反异构体:
10. 乳酸分子为手性分子,如图为乳酸分子的两种结构:

下列关于乳酸分子的两种结构的说法正确的是 (
A.Ⅰ 和 Ⅱ 的结构与性质完全相同
B.Ⅰ 和 Ⅱ 呈镜像对称,互为同素异形体
C.Ⅰ 和 Ⅱ 都属于非极性分子
D.Ⅰ 和 Ⅱ 中化学键的种类与数目完全相同
下列关于乳酸分子的两种结构的说法正确的是 (
D
)A.Ⅰ 和 Ⅱ 的结构与性质完全相同
B.Ⅰ 和 Ⅱ 呈镜像对称,互为同素异形体
C.Ⅰ 和 Ⅱ 都属于非极性分子
D.Ⅰ 和 Ⅱ 中化学键的种类与数目完全相同
答案:
10.D Ⅰ和Ⅱ的结构呈镜像对称,性质不完全相同,但有一定的相似性,故A错误;由同一种元素形成的不同单质互为同素异形体,Ⅰ和Ⅱ均为化合物,二者结构不同,分子式相同,互为同分异构体,故B错误;Ⅰ和Ⅱ都属于极性分子,故C错误;Ⅰ和Ⅱ呈镜像对称,化学键的种类与数目完全相同,故D正确。
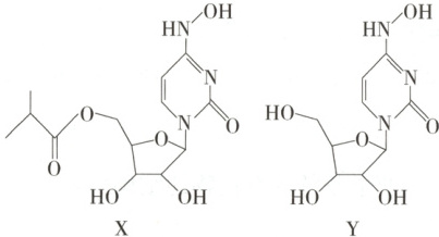
11. (2023 福建厦门二中阶段练习 ) 下列关于有机物 X、Y 的说法中错误的是 (

A.X 可以在碱性条件下水解
B.X 分子中含有 5 个手性碳原子
C.X 与 Y 所含元素中,电负性最大的是氧元素
D.X 中 C 原子有 $sp^2$、$sp^3$ 两种杂化方式
B
)A.X 可以在碱性条件下水解
B.X 分子中含有 5 个手性碳原子
C.X 与 Y 所含元素中,电负性最大的是氧元素
D.X 中 C 原子有 $sp^2$、$sp^3$ 两种杂化方式
答案:
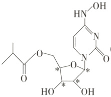
11.B X分子中含有酯基,可以在碱性条件下水解,A正确;X分子中含有4个手性碳原子,如图所示:
(用*标注),B错误;X与Y均含有C、H、O、N四种元素,其中电负性最大的是氧元素,C正确;X分子中有饱和C原子,也有双键C原子,故C原子有sp³、sp²两种杂化方式,D正确。
11.B X分子中含有酯基,可以在碱性条件下水解,A正确;X分子中含有4个手性碳原子,如图所示:
12. 已知二氯苯有 3 种结构,则四溴苯的结构共有 (
A.1 种
B.2 种
C.3 种
D.4 种
C
)A.1 种
B.2 种
C.3 种
D.4 种
答案:
12.C 二氯苯(C₆H₄Cl₂)有3种结构,则四氯苯(C₆H₂Cl₄)也有3种结构,推知四溴苯(C₆H₂Br₄)也有3种结构,C正确。
13. (2024 北京二十中月考 ) 下列苯的同系物分子式都是 $C_8H_{10}$,其中苯环上一溴代物的结构只有 1 种的是 (

D
)
答案:
13.D 苯环上—Br可取代的位置如图:
则苯环上一溴代物的结构有3种,故A不符合题意;
CH₃
\
CH₃—C— 苯环上—Br可取代的位置如图:
则苯环上一溴代物的结构有2种,故B不符合题意;
苯环上—Br可取代的位置如图:
则苯环上一溴代物的结构有3种,故C不符合题意;
苯环上—Br可取代的位置如图:
则苯环上一溴代物的结构只有1种,故D符合题意。
13.D 苯环上—Br可取代的位置如图:
则苯环上一溴代物的结构有3种,故A不符合题意;
CH₃
\
CH₃—C— 苯环上—Br可取代的位置如图:
则苯环上一溴代物的结构有2种,故B不符合题意;
则苯环上一溴代物的结构有3种,故C不符合题意;
则苯环上一溴代物的结构只有1种,故D符合题意。
14. (2024 陕西师大附中月考 ) 烯烃在一定条件下发生氧化反应,碳碳双键断裂,如:

$C_5H_{10}$ 的烯烃的氧化产物有 (
A.4 种
B.5 种
C.6 种
D.7 种
$C_5H_{10}$ 的烯烃的氧化产物有 (
D
)A.4 种
B.5 种
C.6 种
D.7 种
答案:
14.D 分子式为C₅H₁₀的烯烃有如下5种同分异构体(不考虑顺反异构):CH₂=CHCH₂CH₂CH₃、CH₃—CH=CHCH₂—CH₃、 CH₂=C(CH₃)CH₂CH₃、CH₃CH=C(CH₃)₂、CH₂=CHCH(CH₃)₂,根据题中信息,分子式为C₅H₁₀的烯烃的氧化产物有HCHO、CH₃CH₂CH₂CHO、CH₃CH₂CHO、CH₃CHO、CH₃CH₂COCH₃、CH₃COCH₃、(CH₃)₂CHCHO,共7种,故D正确。
查看更多完整答案,请扫码查看