2025年金版新学案高中生物选择性必修第二册人教版
注:目前有些书本章节名称可能整理的还不是很完善,但都是按照顺序排列的,请同学们按照顺序仔细查找。练习册 2025年金版新学案高中生物选择性必修第二册人教版 答案主要是用来给同学们做完题方便对答案用的,请勿直接抄袭。
第77页
- 第1页
- 第2页
- 第3页
- 第4页
- 第5页
- 第6页
- 第7页
- 第8页
- 第9页
- 第10页
- 第11页
- 第12页
- 第13页
- 第14页
- 第15页
- 第16页
- 第17页
- 第18页
- 第19页
- 第20页
- 第21页
- 第22页
- 第23页
- 第24页
- 第25页
- 第26页
- 第27页
- 第28页
- 第29页
- 第30页
- 第31页
- 第32页
- 第33页
- 第34页
- 第35页
- 第36页
- 第37页
- 第38页
- 第39页
- 第40页
- 第41页
- 第42页
- 第43页
- 第44页
- 第45页
- 第46页
- 第47页
- 第48页
- 第49页
- 第50页
- 第51页
- 第52页
- 第53页
- 第54页
- 第55页
- 第56页
- 第57页
- 第58页
- 第59页
- 第60页
- 第61页
- 第62页
- 第63页
- 第64页
- 第65页
- 第66页
- 第67页
- 第68页
- 第69页
- 第70页
- 第71页
- 第72页
- 第73页
- 第74页
- 第75页
- 第76页
- 第77页
- 第78页
- 第79页
- 第80页
- 第81页
- 第82页
- 第83页
- 第84页
- 第85页
- 第86页
- 第87页
- 第88页
- 第89页
- 第90页
- 第91页
- 第92页
- 第93页
- 第94页
- 第95页
- 第96页
- 第97页
- 第98页
- 第99页
- 第100页
[活动 1] 分析碳循环的过程
材料 1:如图为碳元素在生态系统中循环的模式图,图中甲、乙、丙表示生态系统的生物成分,箭头表示生理过程。
请据图分析:

(1) 碳元素在生物体内、大气、水圈中分别主要以什么形式存在?
(2) 甲、乙、丙、丁分别代表生态系统的什么成分?请简述判断的理由。
(3) 图中的字母分别表示什么过程?与自然界的碳循环关系最密切的两种细胞器是什么?
材料 2:大气和海洋在碳循环之间有什么关系?如果人们不按生态规律办事,乱砍滥伐森林,对生态系统的碳循环有何影响?
材料 1:如图为碳元素在生态系统中循环的模式图,图中甲、乙、丙表示生态系统的生物成分,箭头表示生理过程。
请据图分析:
(1) 碳元素在生物体内、大气、水圈中分别主要以什么形式存在?
(2) 甲、乙、丙、丁分别代表生态系统的什么成分?请简述判断的理由。
(3) 图中的字母分别表示什么过程?与自然界的碳循环关系最密切的两种细胞器是什么?
材料 2:大气和海洋在碳循环之间有什么关系?如果人们不按生态规律办事,乱砍滥伐森林,对生态系统的碳循环有何影响?
答案:
材料1:
(1)碳元素在生物体内主要以有机物的形式存在;碳元素在非生物环境中主要以CO₂的形式存在于大气中;溶解于水中后,主要以碳酸盐的形式存在。
244 生物学·选择性必修2 生物与环境
(2)甲和丁之间有双向箭头,且其他几种成分都有箭头指向丁,所以丁为大气中的CO₂库,甲为生产者;甲和乙都有箭头指向丙,所以丙为分解者,乙为消费者。
(3)b代表光合作用或化能合成作用,d和c代表细胞呼吸,f代表分解者的分解作用,a代表摄食,e和g代表动植物的遗体、动物的排遗物等提供给分解者。线粒体和叶绿体。
材料2:当大气中CO₂含量增加,水圈中的CO₂含量也随之增加;如果大气中的CO₂发生局部短缺,水圈中的CO₂也能及时进入大气。乱砍滥伐森林会打破碳循环平衡,使大气CO₂进入生物群落过程受阻,大气中CO₂的含量就会明显增多。
(1)碳元素在生物体内主要以有机物的形式存在;碳元素在非生物环境中主要以CO₂的形式存在于大气中;溶解于水中后,主要以碳酸盐的形式存在。
244 生物学·选择性必修2 生物与环境
(2)甲和丁之间有双向箭头,且其他几种成分都有箭头指向丁,所以丁为大气中的CO₂库,甲为生产者;甲和乙都有箭头指向丙,所以丙为分解者,乙为消费者。
(3)b代表光合作用或化能合成作用,d和c代表细胞呼吸,f代表分解者的分解作用,a代表摄食,e和g代表动植物的遗体、动物的排遗物等提供给分解者。线粒体和叶绿体。
材料2:当大气中CO₂含量增加,水圈中的CO₂含量也随之增加;如果大气中的CO₂发生局部短缺,水圈中的CO₂也能及时进入大气。乱砍滥伐森林会打破碳循环平衡,使大气CO₂进入生物群落过程受阻,大气中CO₂的含量就会明显增多。
针对练 1.(2024·黄石模拟)
如图是生态系统中碳循环示意图,其中“→”表示碳的流动方向。下列叙述错误的是( )

A.在碳循环过程中,同时伴随着能量流动
B.由于某种原因造成图中 E 生物数量大量减少,推测短期内 D 增多,F 减少
C.该生态系统的消费者包括图中的 D、E、F、B
D.在 A→C 过程中碳主要以$CO_{2}$形式进行循环,在 F→B 过程中以含碳有机物形式进行流动
如图是生态系统中碳循环示意图,其中“→”表示碳的流动方向。下列叙述错误的是( )
A.在碳循环过程中,同时伴随着能量流动
B.由于某种原因造成图中 E 生物数量大量减少,推测短期内 D 增多,F 减少
C.该生态系统的消费者包括图中的 D、E、F、B
D.在 A→C 过程中碳主要以$CO_{2}$形式进行循环,在 F→B 过程中以含碳有机物形式进行流动
答案:
针对练1.C 图示中A、B、D、E、F均有箭头指向C,则C是大气中的CO₂库。A、C之间为双向箭头,A为生产者。A、D、E、F均有箭头指向B,则B为分解者,D、E、F为消费者,C错误;物质循环过程中,同时伴随着能量流动,A正确;图示中包含的食物链为A→D→E→F,故E减少,短时间内D增多,F减少,B正确;碳在生物群落与非生物环境之间主要以CO₂的形式循环,在生物群落内部是以含碳有机物的形式流动,D正确。
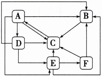
针对练 2.(2024·大庆模拟)
“碳中和”是指国家、企业或个人等在一定时间内直接或间接产生的二氧化碳或温室气体排放总量,通过植树造林、节能减排等形式,以抵消自身产生的二氧化碳或温室气体排放量,实现正负抵消,达到相对“零排放”。下列叙述错误的是( )
A.碳循环具有全球性,不是每个自然生态系统都可依靠自身实现“碳中和”
B.碳在生物群落和非生物环境之间主要是以含碳有机物的形式进行循环
C.植树造林和减少化石燃料的燃烧,有利于“碳中和”提前实现
D.过度的人工碳排放可能会导致海平面上升
“碳中和”是指国家、企业或个人等在一定时间内直接或间接产生的二氧化碳或温室气体排放总量,通过植树造林、节能减排等形式,以抵消自身产生的二氧化碳或温室气体排放量,实现正负抵消,达到相对“零排放”。下列叙述错误的是( )
A.碳循环具有全球性,不是每个自然生态系统都可依靠自身实现“碳中和”
B.碳在生物群落和非生物环境之间主要是以含碳有机物的形式进行循环
C.植树造林和减少化石燃料的燃烧,有利于“碳中和”提前实现
D.过度的人工碳排放可能会导致海平面上升
答案:
针对练2.B 碳循环具有全球性,“碳中和”也是全球性的,不是单独的生态系统依靠自身能实现的,A正确;碳在生物群落和非生物环境之间主要是以CO₂的形式进行循环,B错误;植树造林和减少化石燃料的燃烧,有利于减少大气中的CO₂,有利于“碳中和”提前实现,C正确;过度的人工碳排放可能会导致大气中的CO₂浓度增加,温室效应的产生导致海平面的上升,D正确。
查看更多完整答案,请扫码查看