2025年金版新学案高中生物选择性必修第二册人教版
注:目前有些书本章节名称可能整理的还不是很完善,但都是按照顺序排列的,请同学们按照顺序仔细查找。练习册 2025年金版新学案高中生物选择性必修第二册人教版 答案主要是用来给同学们做完题方便对答案用的,请勿直接抄袭。
第59页
- 第1页
- 第2页
- 第3页
- 第4页
- 第5页
- 第6页
- 第7页
- 第8页
- 第9页
- 第10页
- 第11页
- 第12页
- 第13页
- 第14页
- 第15页
- 第16页
- 第17页
- 第18页
- 第19页
- 第20页
- 第21页
- 第22页
- 第23页
- 第24页
- 第25页
- 第26页
- 第27页
- 第28页
- 第29页
- 第30页
- 第31页
- 第32页
- 第33页
- 第34页
- 第35页
- 第36页
- 第37页
- 第38页
- 第39页
- 第40页
- 第41页
- 第42页
- 第43页
- 第44页
- 第45页
- 第46页
- 第47页
- 第48页
- 第49页
- 第50页
- 第51页
- 第52页
- 第53页
- 第54页
- 第55页
- 第56页
- 第57页
- 第58页
- 第59页
- 第60页
- 第61页
- 第62页
- 第63页
- 第64页
- 第65页
- 第66页
- 第67页
- 第68页
- 第69页
- 第70页
- 第71页
- 第72页
- 第73页
- 第74页
- 第75页
- 第76页
- 第77页
- 第78页
- 第79页
- 第80页
- 第81页
- 第82页
- 第83页
- 第84页
- 第85页
- 第86页
- 第87页
- 第88页
- 第89页
- 第90页
- 第91页
- 第92页
- 第93页
- 第94页
- 第95页
- 第96页
- 第97页
- 第98页
- 第99页
- 第100页
1. (2024·天津高二期末)下列有关生态系统组成成分的叙述,正确的是( )
A.分解者只包括腐生细菌和真菌
B.无机环境在生态系统中属于可有可无的成分
C.自养生物一定是生产者,是生态系统的基石
D.异养生物一定是消费者,动物不一定都是消费者
A.分解者只包括腐生细菌和真菌
B.无机环境在生态系统中属于可有可无的成分
C.自养生物一定是生产者,是生态系统的基石
D.异养生物一定是消费者,动物不一定都是消费者
答案:
C 分解者主要包括腐生细菌、真菌和营腐生生活的动物,如蚯蚓,A错误;无机环境中的非生物的物质和能量属于生态系统的组成成分,在生态系统中必不可少,B错误;自养生物能将二氧化碳合成有机物,所以都是生产者,生产者是生态系统的基石,C正确;异养生物包括消费者和分解者,动物不一定是消费者,也可能是分解者,如蚯蚓,D错误。
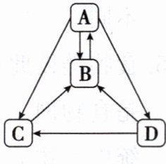
2. 生态系统各组成成分间的相互关系如图所示,下列叙述错误的是( )

A.图中 B 代表非生物的物质和能量,是生物群落中物质和能量的最终来源
B.图中 A 是生态系统的基石,其制造有机物时所利用的能量类型可能是光能或化学能
C.秃鹫、蚯蚓、蜣螂等以动植物遗体或动物排遗物为食的腐生动物属于图中的 D
D.图中的 A 和 C 是联系生物群落和非生物环境的两大“桥梁”
A.图中 B 代表非生物的物质和能量,是生物群落中物质和能量的最终来源
B.图中 A 是生态系统的基石,其制造有机物时所利用的能量类型可能是光能或化学能
C.秃鹫、蚯蚓、蜣螂等以动植物遗体或动物排遗物为食的腐生动物属于图中的 D
D.图中的 A 和 C 是联系生物群落和非生物环境的两大“桥梁”
答案:
C 图中B代表非生物的物质和能量,包括光、水、空气、无机盐等,是生物群落中物质和能量的最终来源,A正确;图中A代表生产者,是生态系统的基石,绿色植物制造有机物时需利用光能,硝化细菌制造有机物时需利用化学能,能量类型可能不同,B正确;分解者包括腐生细菌、真菌和营腐生生活的动物等,秃鹫、蚯蚓、蜣螂等以动植物遗体或动物排遗物为食的腐生动物属于分解者,即图中的C,C错误;图中的A生产者和C分解者是联系生物群落和非生物环境的两大“桥梁”,D正确。
1. 食物链
(1) 概念:在生态系统中,各种生物之间由于____关系而形成的一种联系。
(2) 举例

(3) 特点
① 食物链起点是____,终点是不被其他动物所吃的动物(最高营养级)。
② 食物链中的捕食关系是经长期____形成的,通常不会逆转,具有单向性。
③ 食物链中的营养级一般不超过____个。
④ 某一营养级的生物所代表的是该营养级的所有生物,不代表单个生物个体,也不一定是一个种群。
微提醒
食物链中体现了生态系统的生产者和消费者,没有体现分解者和非生物的物质和能量。
(1) 概念:在生态系统中,各种生物之间由于____关系而形成的一种联系。
(2) 举例
(3) 特点
① 食物链起点是____,终点是不被其他动物所吃的动物(最高营养级)。
② 食物链中的捕食关系是经长期____形成的,通常不会逆转,具有单向性。
③ 食物链中的营养级一般不超过____个。
④ 某一营养级的生物所代表的是该营养级的所有生物,不代表单个生物个体,也不一定是一个种群。
微提醒
食物链中体现了生态系统的生产者和消费者,没有体现分解者和非生物的物质和能量。
答案:
1.
(1)食物
(3)①生产者 ②自然选择 ③5
(1)食物
(3)①生产者 ②自然选择 ③5
2. 食物网
(1) 概念:在生态系统中,许多食物链彼此相互交错连接成的复杂营养关系。
(2) 形成的原因
① 一种绿色植物可能是____植食性动物的食物。
② 一种植食性动物既可能吃____植物,也可能被多种肉食性动物所食。
(3) 特征
① 同一种消费者在不同的食物链中可以占据不同的____。
② 如果一条食物链的某种动物减少或消失,它在____上的位置可能会由其他生物来取代。
(1) 概念:在生态系统中,许多食物链彼此相互交错连接成的复杂营养关系。
(2) 形成的原因
① 一种绿色植物可能是____植食性动物的食物。
② 一种植食性动物既可能吃____植物,也可能被多种肉食性动物所食。
(3) 特征
① 同一种消费者在不同的食物链中可以占据不同的____。
② 如果一条食物链的某种动物减少或消失,它在____上的位置可能会由其他生物来取代。
答案:
2.
(2)①多种 ②多种
(3)①营养级 ②食物链
(2)①多种 ②多种
(3)①营养级 ②食物链
查看更多完整答案,请扫码查看