2025年鲁人泰斗假期好时光八升九年级物理人教版
注:目前有些书本章节名称可能整理的还不是很完善,但都是按照顺序排列的,请同学们按照顺序仔细查找。练习册 2025年鲁人泰斗假期好时光八升九年级物理人教版 答案主要是用来给同学们做完题方便对答案用的,请勿直接抄袭。
第26页
- 第1页
- 第2页
- 第3页
- 第4页
- 第5页
- 第6页
- 第7页
- 第8页
- 第9页
- 第10页
- 第11页
- 第12页
- 第13页
- 第14页
- 第15页
- 第16页
- 第17页
- 第18页
- 第19页
- 第20页
- 第21页
- 第22页
- 第23页
- 第24页
- 第25页
- 第26页
- 第27页
- 第28页
- 第29页
- 第30页
- 第31页
- 第32页
- 第33页
- 第34页
- 第35页
- 第36页
- 第37页
- 第38页
- 第39页
- 第40页
- 第41页
- 第42页
- 第43页
- 第44页
- 第45页
- 第46页
- 第47页
- 第48页
- 第49页
- 第50页
- 第51页
- 第52页
- 第53页
- 第54页
- 第55页
- 第56页
- 第57页
- 第58页
- 第59页
- 第60页
- 第61页
- 第62页
- 第63页
- 第64页
- 第65页
- 第66页
- 第67页
- 第68页
- 第69页
- 第70页
- 第71页
- 第72页
- 第73页
- 第74页
- 第75页
- 第76页
- 第77页
- 第78页
- 第79页
- 第80页
9. 如图甲所示是《天工开物》里记载的一种捣谷的舂,其简化原理图如图乙所示,已知AO>OB,捣谷人对B点的作用力$F_1$使水平静止的横木转动。不计横木的重力和转动摩擦,下列说法正确的是(

A.图乙中的舂相当于省力杠杆
B.利用该装置捣谷可以省功
C.人的脚越靠近O点越费力
D.若只将支点O右移可使捣谷更省力
C
)A.图乙中的舂相当于省力杠杆
B.利用该装置捣谷可以省功
C.人的脚越靠近O点越费力
D.若只将支点O右移可使捣谷更省力
答案:
C
10. 新素养〔科学态度与责任〕“争创全国文明城市,建设活力魅力银川”。银川市启动了对部分老旧小区改造升级工程。工人利用滑轮组提升重480N的建筑材料,如图所示。已知工人对绳子的拉力F为200N,建筑材料在10s内匀速上升了5m,不计绳重及摩擦。下列说法正确的是(

A.动滑轮所受重力为280N
B.滑轮组所做的有用功为3000J
C.滑轮组的机械效率为100%
D.拉力F的功率为300W
D
)A.动滑轮所受重力为280N
B.滑轮组所做的有用功为3000J
C.滑轮组的机械效率为100%
D.拉力F的功率为300W
答案:
D【解析】A. 由图可知,动滑轮上承重绳子的股数为$n=3$,根据$F=\frac {1}{n}(G_{物}+G_{动})$可知,动滑轮的重力为$G_{动}=3F-G_{物}=3×200N-480N=120N$,故A错误;B. 滑轮组做的有用功为$W_{有用}=G_{物}h=480N×5m=2400J$,故B错误;C. 使用滑轮组时,需克服动滑轮重、绳重和摩擦做额外功,机械效率不可能达到100%,故C错误;D. 拉力做的功为$W_{总}=Fs=Fnh=200N×3×5m=3000J$,拉力F的功率为$P=\frac {W_{总}}{t}=\frac {3000J}{10s}=300W$,故D正确。故选D。
11. 如图所示为运动员撑竿跳高时的情境,运动员能高高跃起说明力能改变物体的______

运动状态
,运动员撑竿时手通常握在竿的上部,说明力的作用效果与力的______作用点
有关。
答案:
运动状态 作用点
12. 如图所示是某型号的擦窗机器人,它能凭借自身底部的真空泵将吸盘内的空气向外抽出,借助

大气压
的作用,牢牢地吸附在玻璃上;当擦窗机器人在玻璃上静止时,若增大它对玻璃的压力,则擦窗机器人受到的摩擦力大小不变
(选填“变大”“变小”或“不变”)。
答案:
大气压 不变
13. 小明按照如图所示的操作,利用浮力测量物质的密度。由图可知,物体在水中受到的浮力为

4
N,长方体物体的密度为1.25×10³
kg/m³,未知液体的密度比水的密度大
(选填“大”或“小”)。
答案:
4 $1.25×10^{3}$ 大
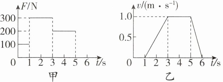
14. 小明用水平推力F把箱子向前推动,此过程中,推力F和箱子前进的速度v的大小随时间t的变化情况分别如图甲、乙所示。则箱子在第2s时受到的摩擦力为


200
N。在3~5s内推力做的功为400
J。
答案:
200 400【解析】由图乙可知,在1~3s内箱子做加速运动,在5~6s内箱子做减速运动,只有在3~5s内箱子做匀速运动,处于平衡状态;由平衡条件可知,箱子受到的滑动摩擦力$f=F=200N$;由于压力和接触面的粗糙程度均不变,则滑动摩擦力不变,故箱子在第2s时受到的摩擦力为200N。由图乙可知,在3~5s内箱子的运动速度$v=1.0m/s$,推力$F=200N$,在3~5s内移动的距离为$s=vt=1.0m/s×2s=2m$;所以箱子在3~5s内推力做功$W=Fs=200N×2m=400J$。
15. 用如图所示的滑轮拉动物体A,使物体A以0.2m/s的速度水平向左匀速运动10s,此过程中绳子自由端移动的距离为

4
m。已知物体A的重力为500N,受到的摩擦力为120N,忽略绳重、滑轮重和绳子与滑轮间的摩擦,拉力F的大小为60
N。
答案:
4 60
16. 如图所示是农村舂米工具的示意图,O为固定转轴,A处连着石球(石球固定不动),石球重50N,不计摩擦和杆重,当脚沿垂直于杆的方向用力$F_1,$缓慢将石球抬起时$,F_1$的力臂为

1
m。此时舂米工具是一个费
(选填“省”或“费”)距离的杠杆。若$F_1$的方向始终与杠杆垂直,在石球被缓慢抬起至水平位置的过程中$,F_1$的大小将变大
(选填“不变”“变大”或“变小”)。
答案:
1 费 变大
查看更多完整答案,请扫码查看