一、在等式后面的 里画“√”。

答案:
二、根据题目中的数量关系写出相应的等式。
1. 张师傅和刘师傅共同完成36个零件,张师傅做了16个,刘师傅做了20个。数量关系:()做的零件个数+(刘师傅)做的零件个数=零件总个数。等式:()。
1. 张师傅和刘师傅共同完成36个零件,张师傅做了16个,刘师傅做了20个。数量关系:()做的零件个数+(刘师傅)做的零件个数=零件总个数。等式:()。
答案:
1. 张师傅 刘师傅 16+20=36
2. 10支钢笔一盒,12盒共120支。
()×()=()
算式:()×()=()
()×()=()
算式:()×()=()
答案:
2. 总盒数 一盒钢笔的支数 总支数 12 10 120
答案:
1. 3x=72 2. 3x+10=100
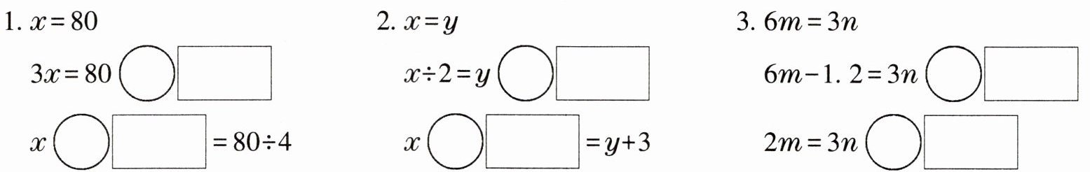
四、根据等式的性质在____里填上运算符号,在里填上适当的数或字母。

答案:
1. × 3 ÷ 4 2. ÷ 2 + 3 3. - 1.2 ÷ 3
五、张老师为学校买50张课桌和60把椅子,共用去3600元,课桌每张$a$元,椅子每把$b$元。根据题中的数量关系写出一个等式。
答案:
50a+60b=3600
六、如果不改变两种水果的数量怎样才能使天平保持平衡?(1个
与5个
同样重)

答案:
把天平左边的一个苹果挪到右边,再把天平右边的一个橘子挪到左边。
查看更多完整答案,请扫码查看