第66页
- 第1页
- 第2页
- 第3页
- 第4页
- 第5页
- 第6页
- 第7页
- 第8页
- 第9页
- 第10页
- 第11页
- 第12页
- 第13页
- 第14页
- 第15页
- 第16页
- 第17页
- 第18页
- 第19页
- 第20页
- 第21页
- 第22页
- 第23页
- 第24页
- 第25页
- 第26页
- 第27页
- 第28页
- 第29页
- 第30页
- 第31页
- 第32页
- 第33页
- 第34页
- 第35页
- 第36页
- 第37页
- 第38页
- 第39页
- 第40页
- 第41页
- 第42页
- 第43页
- 第44页
- 第45页
- 第46页
- 第47页
- 第48页
- 第49页
- 第50页
- 第51页
- 第52页
- 第53页
- 第54页
- 第55页
- 第56页
- 第57页
- 第58页
- 第59页
- 第60页
- 第61页
- 第62页
- 第63页
- 第64页
- 第65页
- 第66页
- 第67页
- 第68页
- 第69页
- 第70页
- 第71页
- 第72页
- 第73页
- 第74页
- 第75页
- 第76页
- 第77页
- 第78页
- 第79页
- 第80页
- 第81页
- 第82页
- 第83页
- 第84页
- 第85页
- 第86页
- 第87页
- 第88页
- 第89页
- 第90页
- 第91页
- 第92页
- 第93页
- 第94页
- 第95页
- 第96页
- 第97页
- 第98页
- 第99页
- 第100页
- 第101页
- 第102页
- 第103页
- 第104页
- 第105页
- 第106页
- 第107页
- 第108页
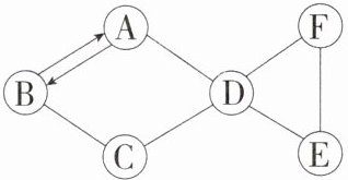
15. [答案含评分细则] (2023 山东日照中考)(8 分)A、B、C、D、E、F 是初中化学常见的六种物质,其中 A、B、C、D、E 属于单质、氧化物、酸、碱、盐五种不同类别的物质,它们之间的关系如图所示(图中“—”表示相连的物质间能相互发生反应,“→”表示物质间有相应的转化关系)。已知:A 俗称纯碱,A、C 均由三种元素组成,且含有相同的金属元素,D 是人体胃液中的一种物质,可以帮助消化,E 是目前世界年产量最高的金属。回答下列问题:

(1)物质 E 的化学式为______。
(2)物质 C 所属类别为______(填“酸”“碱”“盐”或“氧化物”)。
(3)写出 B 转化成 A 的化学方程式:______。
(4)若 D 和 F 反应生成白色沉淀,且白色沉淀不溶于稀硝酸,写出反应的化学方程式:______,该反应的基本反应类型属于______反应。
(1)物质 E 的化学式为______。
(2)物质 C 所属类别为______(填“酸”“碱”“盐”或“氧化物”)。
(3)写出 B 转化成 A 的化学方程式:______。
(4)若 D 和 F 反应生成白色沉淀,且白色沉淀不溶于稀硝酸,写出反应的化学方程式:______,该反应的基本反应类型属于______反应。
答案:
Fe@@碱@@CO₂ + 2NaOH = Na₂CO₃ + H₂O@@HCl + AgNO₃ = HNO₃ + AgCl↓@@复分解
三、实验探究题(共 17 分)
答案:
16. 课标新增·撰写实验报告(2023 四川达州中考)(7 分)为了参加 2023 年 5 月举行的化学实验操作考试,各学校积极组织了实验操作训练。小姚同学完成了“稀盐酸、氢氧化钠溶液、蒸馏水的鉴别”实验,请你帮他完成实验报告的填写。
【实验题目】稀盐酸、氢氧化钠溶液、蒸馏水的鉴别。
【实验目的】选择合适的指示剂鉴别稀盐酸、氢氧化钠溶液、蒸馏水。
【实验仪器】小试管 5 支、试管刷等。
【实验药品】随机编号为 A、B、C 的三种待测液,酚酞试液(装于滴瓶),石蕊试液(装于滴瓶)。
【实验过程】
|实验步骤|实验现象|实验结论|
|----|----|----|
|①分别取 A、B、C 待测液 1~2 mL 于三支试管中,分别滴入 1~2 滴石蕊试液,振荡|B 中的石蕊试液变______,另外两支试管中的液体呈蓝色、紫色,但颜色相近|鉴别出 B 是______,A、C 无法准确鉴别|
|②另取 A、C 待测液 1~2 mL 于两支试管中,分别滴入 1~2 滴酚酞试液,振荡|C 中的酚酞试液变______,A 中无明显现象|鉴别出 C 是______,A 是蒸馏水|
【交流反思】
小峰同学认为,只用酚酞试液也能完成该实验。他设计方案并完成了实验。
|实验步骤|实验现象|实验结论|
|----|----|----|
|①分别取 A、B、C 待测液 1~2 mL 于三支试管中,分别滴入 1~2 滴酚酞试液,振荡|C 中液体呈红色,A、B 中无明显现象|鉴别出 C|
|②将①中的红色液体分为两等份,______|观察到其中一支试管有明显的现象:______|发生反应的化学方程式为______,鉴别出 A、B|
【实验题目】稀盐酸、氢氧化钠溶液、蒸馏水的鉴别。
【实验目的】选择合适的指示剂鉴别稀盐酸、氢氧化钠溶液、蒸馏水。
【实验仪器】小试管 5 支、试管刷等。
【实验药品】随机编号为 A、B、C 的三种待测液,酚酞试液(装于滴瓶),石蕊试液(装于滴瓶)。
【实验过程】
|实验步骤|实验现象|实验结论|
|----|----|----|
|①分别取 A、B、C 待测液 1~2 mL 于三支试管中,分别滴入 1~2 滴石蕊试液,振荡|B 中的石蕊试液变______,另外两支试管中的液体呈蓝色、紫色,但颜色相近|鉴别出 B 是______,A、C 无法准确鉴别|
|②另取 A、C 待测液 1~2 mL 于两支试管中,分别滴入 1~2 滴酚酞试液,振荡|C 中的酚酞试液变______,A 中无明显现象|鉴别出 C 是______,A 是蒸馏水|
【交流反思】
小峰同学认为,只用酚酞试液也能完成该实验。他设计方案并完成了实验。
|实验步骤|实验现象|实验结论|
|----|----|----|
|①分别取 A、B、C 待测液 1~2 mL 于三支试管中,分别滴入 1~2 滴酚酞试液,振荡|C 中液体呈红色,A、B 中无明显现象|鉴别出 C|
|②将①中的红色液体分为两等份,______|观察到其中一支试管有明显的现象:______|发生反应的化学方程式为______,鉴别出 A、B|
答案:
红@@稀盐酸@@红@@氢氧化钠溶液@@分别滴入足量的 A、B 待测液,振荡@@溶液由红色变成无色@@HCl + NaOH = NaCl + H₂O
查看更多完整答案,请扫码查看