第33页
- 第1页
- 第2页
- 第3页
- 第4页
- 第5页
- 第6页
- 第7页
- 第8页
- 第9页
- 第10页
- 第11页
- 第12页
- 第13页
- 第14页
- 第15页
- 第16页
- 第17页
- 第18页
- 第19页
- 第20页
- 第21页
- 第22页
- 第23页
- 第24页
- 第25页
- 第26页
- 第27页
- 第28页
- 第29页
- 第30页
- 第31页
- 第32页
- 第33页
- 第34页
- 第35页
- 第36页
- 第37页
- 第38页
- 第39页
- 第40页
- 第41页
- 第42页
- 第43页
- 第44页
- 第45页
- 第46页
- 第47页
- 第48页
- 第49页
- 第50页
- 第51页
- 第52页
- 第53页
- 第54页
- 第55页
- 第56页
- 第57页
- 第58页
- 第59页
- 第60页
- 第61页
- 第62页
- 第63页
- 第64页
- 第65页
- 第66页
- 第67页
- 第68页
1. ( )÷4 = 75% = ( ) : 20 = $\frac{()}{24}$ = ( )成( ) = ( )折
答案:
3 15 18 七 五 七五
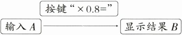
2. **辨思维 逻辑推理** 在计算器上按下面的步骤进行操作,每次输入的A和显示的B成( )比例关系。
按键“×0.8=”
输入A —————— 显示结果B

按键“×0.8=”
输入A —————— 显示结果B
答案:
正
3. 琳琳看一本180页的书,第一天看了这本书的$\frac{1}{4}$,第二天又看了这本书的40%,这两天一共看了这本书的( ),还剩下( )页没看。
答案:
65%(或:$\frac{13}{20}$) 63
4. 一个圆锥的底面半径是3厘米,高是5厘米,过顶点与底面直径将圆锥分成相等的两部分,表面积会增加( )平方厘米。
答案:
30
5. 如图是一个水龙头打开后出水量和时间之间的关系图像。照这样计算,出45升的水需要( )秒。
答案:
225
6. 一种大豆的出油率为24%~32%,300千克这样的大豆最少可以出油( )千克。如果要榨出64千克油,最少需要( )千克这种大豆。
答案:
72 200
7. 阳阳的爸爸想带家人自驾游,在一幅比例尺为1 : 5000000的地图上,阳阳量得要去的地方距出发地为4.8厘米,这段路程的实际距离是( )千米,计划3小时到达目的地,汽车的平均速度是( )千米/时。
答案:
240 80
[解析]由题意可知,已知比例尺和图上距离,根据“实际距离 = 图上距离÷比例尺”可求出实际距离是4.8×5000000 = 24000000(厘米) = 240(千米)。已知路程和时间,求速度,根据“速度 = 路程÷时间”可求出平均速度为240÷3 = 80(千米/时)。
8. 如图是( )的表面展开图,它的高是( )cm,表面积是( )cm²,体积是( )cm³。
答案:
圆柱 3 25.12 9.42
查看更多完整答案,请扫码查看