2025年天星教育试题调研化学第9辑
注:目前有些书本章节名称可能整理的还不是很完善,但都是按照顺序排列的,请同学们按照顺序仔细查找。练习册 2025年天星教育试题调研化学第9辑 答案主要是用来给同学们做完题方便对答案用的,请勿直接抄袭。
第27页
- 第1页
- 第2页
- 第3页
- 第4页
- 第5页
- 第6页
- 第7页
- 第8页
- 第9页
- 第10页
- 第11页
- 第12页
- 第13页
- 第14页
- 第15页
- 第16页
- 第17页
- 第18页
- 第19页
- 第20页
- 第21页
- 第22页
- 第23页
- 第24页
- 第25页
- 第26页
- 第27页
- 第28页
- 第29页
- 第30页
- 第31页
- 第32页
- 第33页
- 第34页
- 第35页
- 第36页
- 第37页
- 第38页
- 第39页
- 第40页
- 第41页
- 第42页
- 第43页
- 第44页
- 第45页
- 第46页
- 第47页
- 第48页
- 第49页
- 第50页
- 第51页
- 第52页
- 第53页
- 第54页
- 第55页
- 第56页
- 第57页
- 第58页
- 第59页
- 第60页
- 第61页
- 第62页
- 第63页
- 第64页
- 第65页
- 第66页
- 第67页
- 第68页
- 第69页
- 第70页
- 第71页
- 第72页
- 第73页
- 第74页
- 第75页
- 第76页
- 第77页
- 第78页
- 第79页
- 第80页
- 第81页
- 第82页
- 第83页
- 第84页
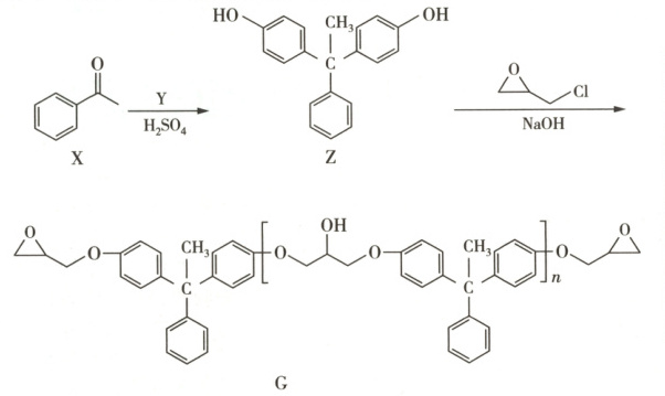
原创预测2 环氧树脂在机械制造、航空航天等许多工业领域中起到重要的作用。一种新型环氧树脂 G 的合成路线如图所示。


A.X 分子中的碳原子有两种杂化方式,且其中所有碳原子可能共面
B.$ 1\ mol $ Y 能与 $ NaHCO_3 $ 溶液反应生成 $ 1\ mol \ CO_2 $
C.Z 的核磁共振氢谱中,所含峰的峰面积之比为 $ 1:2:2:3:4:4:2 $
D.由 Z 合成聚合物 G 时会有无机物 $ NaCl $ 生成
A.X 分子中的碳原子有两种杂化方式,且其中所有碳原子可能共面
B.$ 1\ mol $ Y 能与 $ NaHCO_3 $ 溶液反应生成 $ 1\ mol \ CO_2 $
C.Z 的核磁共振氢谱中,所含峰的峰面积之比为 $ 1:2:2:3:4:4:2 $
D.由 Z 合成聚合物 G 时会有无机物 $ NaCl $ 生成
答案:
解析
分子中苯环和羰基上的碳原子均为 $ sp^2 $ 杂化,甲基上的碳原子为 $ sp^3 $ 杂化,则 X 分子中的碳原子有两种杂化方式;苯环、碳氧双键各确定一个平面,由于碳碳单键可以旋转,故 X 分子中的所有碳原子可能共面,A 正确。根据 X 和 Z 的结构简式,再结合已知信息,可推知 Y 是苯酚(
),苯酚的酸性小于碳酸,故苯酚不能与 $ NaHCO_3 $ 溶
液反应生成 $ CO_2 $,B 错误。Z 的核磁共振氢谱中有 7 组峰,即
,则所含峰的峰面积之比为 $ 1:2:2:3:4:4:2 $,C 正确。由 Z 和 G 的结构简式可知,由 Z 合成聚合物 G
【必记结论】与同一碳原子相连的氢原子等效、与同一碳原子相连的甲基上的氢原子等效、处于镜面对称位置的氢原子等效,有多少种等效氢原子,就有多少组峰,且峰的面积之比等于对应氢原子的数量之比。
时会有无机物 $ HCl $ 脱去, $ HCl $ 与 $ NaOH $ 会生成 $ NaCl $,D 正确。
解析
液反应生成 $ CO_2 $,B 错误。Z 的核磁共振氢谱中有 7 组峰,即
,则所含峰的峰面积之比为 $ 1:2:2:3:4:4:2 $,C 正确。由 Z 和 G 的结构简式可知,由 Z 合成聚合物 G
【必记结论】与同一碳原子相连的氢原子等效、与同一碳原子相连的甲基上的氢原子等效、处于镜面对称位置的氢原子等效,有多少种等效氢原子,就有多少组峰,且峰的面积之比等于对应氢原子的数量之比。
时会有无机物 $ HCl $ 脱去, $ HCl $ 与 $ NaOH $ 会生成 $ NaCl $,D 正确。
查看更多完整答案,请扫码查看