2025年课堂精练五年级数学上册北师大版内蒙古专版
注:目前有些书本章节名称可能整理的还不是很完善,但都是按照顺序排列的,请同学们按照顺序仔细查找。练习册 2025年课堂精练五年级数学上册北师大版内蒙古专版 答案主要是用来给同学们做完题方便对答案用的,请勿直接抄袭。
第11页
- 第2页
- 第3页
- 第4页
- 第5页
- 第6页
- 第7页
- 第8页
- 第9页
- 第10页
- 第11页
- 第12页
- 第13页
- 第14页
- 第15页
- 第16页
- 第17页
- 第18页
- 第19页
- 第20页
- 第21页
- 第22页
- 第23页
- 第24页
- 第25页
- 第26页
- 第27页
- 第28页
- 第29页
- 第30页
- 第31页
- 第32页
- 第33页
- 第34页
- 第35页
- 第36页
- 第37页
- 第38页
- 第39页
- 第40页
- 第41页
- 第42页
- 第43页
- 第44页
- 第45页
- 第46页
- 第47页
- 第48页
- 第49页
- 第50页
- 第51页
- 第52页
- 第53页
- 第54页
- 第55页
- 第56页
- 第57页
- 第58页
- 第59页
- 第60页
- 第61页
- 第62页
- 第63页
- 第64页
- 第65页
- 第66页
- 第67页
- 第68页
- 第69页
- 第70页
- 第71页
- 第72页
- 第73页
- 第74页
- 第75页
- 第76页
- 第77页
- 第78页
- 第79页
- 第80页
- 第81页
- 第82页
- 第83页
- 第84页
- 第85页
- 第86页
- 第87页
4. 森林医生。(对的在括号里画“√”,错的画“×”,并改正)

答案:
×
5. 想一想,填一填。

答案:
5.从左到右依次为:8.06 1.6 0.564 0.5
6. 李阿姨用$7.92$元能买多少千克苹果?小红认为能买$2$kg,冬冬认为比$2$kg 多,力力认为买不了$2$kg。你觉得谁的想法正确?请写出你的思考过程。

答案:
6.7.92÷3.6=2.2(kg)
冬冬的想法正确,因为李阿姨用7.92元能买2.2 kg
苹果。
冬冬的想法正确,因为李阿姨用7.92元能买2.2 kg
苹果。
7. 淘淘带$6.25$元到文具店购物,作文本每本$1.25$元,笔记本每本$0.5$元,请你帮淘淘算一算,如果买作文本,最多买多少本?如果买笔记本,最多买多少本?
答案:
7.6.25÷1.25=5(本) 6.25÷0.5=12.5(本)
如果买作文本,最多买5本;如果买笔记本,最多买
12本。
如果买作文本,最多买5本;如果买笔记本,最多买
12本。
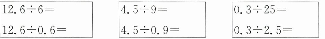
8. 算一算,你有什么发现?
$\begin{array}{|c|}\hline 12.6÷6=\\12.6÷0.6=\\\hline\end{array}$ $\begin{array}{|c|}\hline 4.5÷9=\\4.5÷0.9=\\\hline\end{array}$ $\begin{array}{|c|}\hline 0.3÷25=\\0.3÷2.5=\\\hline\end{array}$

我发现:
$\begin{array}{|c|}\hline 12.6÷6=\\12.6÷0.6=\\\hline\end{array}$ $\begin{array}{|c|}\hline 4.5÷9=\\4.5÷0.9=\\\hline\end{array}$ $\begin{array}{|c|}\hline 0.3÷25=\\0.3÷2.5=\\\hline\end{array}$
我发现:
被除数不变,除数除以10,商应乘10
。
答案:
8.2.1 21 0.5 5 0.012 0.12
被除数不变,除数除以10,商应乘10
被除数不变,除数除以10,商应乘10
查看更多完整答案,请扫码查看