第36页
- 第1页
- 第2页
- 第3页
- 第4页
- 第5页
- 第6页
- 第7页
- 第8页
- 第9页
- 第10页
- 第11页
- 第12页
- 第13页
- 第14页
- 第15页
- 第16页
- 第17页
- 第18页
- 第19页
- 第20页
- 第21页
- 第22页
- 第23页
- 第24页
- 第25页
- 第26页
- 第27页
- 第28页
- 第29页
- 第30页
- 第31页
- 第32页
- 第33页
- 第34页
- 第35页
- 第36页
- 第37页
- 第38页
- 第39页
- 第40页
- 第41页
- 第42页
- 第43页
- 第44页
- 第45页
- 第46页
- 第47页
- 第48页
- 第49页
- 第50页
- 第51页
- 第52页
- 第53页
- 第54页
- 第55页
- 第56页
- 第57页
- 第58页
- 第59页
- 第60页
- 第61页
- 第62页
- 第63页
- 第64页
- 第65页
- 第66页
- 第67页
- 第68页
- 第69页
- 第70页
- 第71页
7. 空气中含量最高的元素、地壳中含量最高的金属元素和非金属元素可组成的化合物是(
$A. Al_2(SO_4)_3$
$B. Al(NO_3)_3$
$C. Fe(NO_3)_3$
$D. Al_2O_3$
B
)$A. Al_2(SO_4)_3$
$B. Al(NO_3)_3$
$C. Fe(NO_3)_3$
$D. Al_2O_3$
答案:
B
8. 下列实验操作或装置符合要求的是(

A.添加酒精:
B.过滤:
C.滴加液体:
D.检查装置气密性:
D
)A.添加酒精:
B.过滤:
C.滴加液体:
D.检查装置气密性:
答案:
D
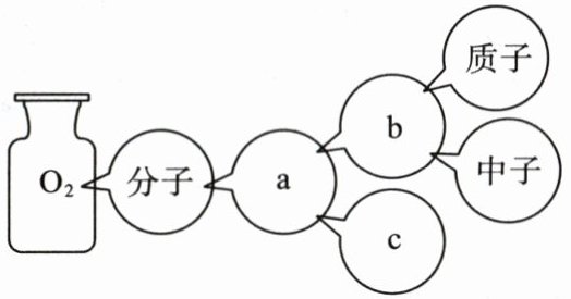
9. 小林同学在参加“跨学科实践活动 2”时,以氧气为例,构建了宏观物质与微观粒子之间的模型,根据小林同学构建的模型,下列 a、b、c 对应正确的是(

A.原子、原子核、核外电子
B.原子核、原子、核外电子
C.原子、核外电子、原子核
D.核外电子、原子核、原子
A
)A.原子、原子核、核外电子
B.原子核、原子、核外电子
C.原子、核外电子、原子核
D.核外电子、原子核、原子
答案:
A 解析 根据物质构成的有关知识进行分析,分子是由原子构成的,原子是由原子核和核外电子构成的分析判断。由题中示意图可知,质子和中子构成了b,故b为原子核;原子核和核外电子构成了原子,所以c是核外电子;原子构成了分子,所以a是原子,A项正确。
10. 从宏观走进微观,探寻变化的奥秘。下列事实与微观解释不相符的是(
A.在家用水银温度计测量体温——汞原子间的间隔受热时增大
B.水和酒精混合后总体积变小——分子体积变小
C.用过氧乙酸溶液消毒处理后可闻到刺激性气味——分子在不断运动
$D.H_2O_2 $溶液可用于消毒$,H_2O $不能用于消毒$——H_2O_2 $和$ H_2O $由不同种分子构成,化学性质不同
B
)A.在家用水银温度计测量体温——汞原子间的间隔受热时增大
B.水和酒精混合后总体积变小——分子体积变小
C.用过氧乙酸溶液消毒处理后可闻到刺激性气味——分子在不断运动
$D.H_2O_2 $溶液可用于消毒$,H_2O $不能用于消毒$——H_2O_2 $和$ H_2O $由不同种分子构成,化学性质不同
答案:
B 解析 用水银温度计测量体温时,温度升高,汞原子间的间隔增大,A项正确;水和酒精混合后总体积变小是由于分子间有间隔,分子体积不会变,B项错误;用过氧乙酸溶液消毒处理后可闻到刺激性气味是由于分子总在不断运动着,C项正确;H₂O₂溶液可用于消毒,H₂O不能用于消毒,分子是保持物质化学性质的最小粒子,H₂O₂和H₂O由不同种分子构成,化学性质不同,D项正确。
11. 下列关于微观粒子的叙述错误的是(
A.分子、原子、离子都是构成物质的粒子
B.分子、原子、离子自身都有能量
C.分子的质量一定比原子的质量大
D.物质是由什么粒子构成的,其化学性质就由该粒子保持
C
)A.分子、原子、离子都是构成物质的粒子
B.分子、原子、离子自身都有能量
C.分子的质量一定比原子的质量大
D.物质是由什么粒子构成的,其化学性质就由该粒子保持
答案:
C 解析 分子、原子和离子都是构成物质的粒子,A项正确;分子、原子、离子都在不停运动,自身都有能量,B项正确;分子的质量比构成该分子的原子的质量大,C项错误;物质是由什么粒子构成的,其化学性质就由该粒子保持,D项正确。
12. 下列是表示物质分子的示意图。图中“●”和“○”分别表示两种有不同质子数的原子,则图中表示单质的是(

A.
B.
C.
D.
D
)A.
B.
C.
D.
答案:
D 解析 图A表示由一种单质和一种化合物组成的混合物,错误;图B表示由一种单质和一种化合物组成的混合物,错误;图C表示由两种单质组成的混合物,错误;图D表示单质,正确。
查看更多完整答案,请扫码查看