第29页
- 第1页
- 第2页
- 第3页
- 第4页
- 第5页
- 第6页
- 第7页
- 第8页
- 第9页
- 第10页
- 第11页
- 第12页
- 第13页
- 第14页
- 第15页
- 第16页
- 第17页
- 第18页
- 第19页
- 第20页
- 第21页
- 第22页
- 第23页
- 第24页
- 第25页
- 第26页
- 第27页
- 第28页
- 第29页
- 第30页
- 第31页
- 第32页
- 第33页
- 第34页
- 第35页
- 第36页
- 第37页
- 第38页
- 第39页
- 第40页
- 第41页
- 第42页
- 第43页
- 第44页
- 第45页
- 第46页
- 第47页
- 第48页
- 第49页
- 第50页
- 第51页
- 第52页
- 第53页
- 第54页
- 第55页
- 第56页
- 第57页
- 第58页
- 第59页
- 第60页
- 第61页
- 第62页
- 第63页
- 第64页
- 第65页
- 第66页
- 第67页
- 第68页
- 第69页
- 第70页
- 第71页
15. 请回答下列问题。
(1)请用正确的化学用语填空。
①氩气:
(2)请写出下列化学式中数字“2”的含义。
①$Fe^{2+}$中“2”表示
②$CO_{2}$中“2”表示
(1)请用正确的化学用语填空。
①氩气:
Ar
;②4个过氧化氢分子:4H₂O₂
;③硫酸根离子:${SO^{2-}_{4}}$
;④标出$H_{2}S$中硫元素的化合价:${H2\overset{-2}{S}}$
。(2)请写出下列化学式中数字“2”的含义。
①$Fe^{2+}$中“2”表示
一个亚铁离子带两个单位的正电荷
;②$CO_{2}$中“2”表示
一个二氧化碳分子中有两个氧原子
。
答案:
15.
(1)①Ar ②4H₂O₂ ③${SO^{2-}_{4}}$ ④H₂S
(2)①一个亚铁离子带两个单位的正电荷 ②一个二氧化碳分子中有两个氧原子
(1)①Ar ②4H₂O₂ ③${SO^{2-}_{4}}$ ④H₂S
(2)①一个亚铁离子带两个单位的正电荷 ②一个二氧化碳分子中有两个氧原子
16. 如图是氮及其化合物对应化合价与物质类别的关系图。

(1)图中$A$点对应的物质为大气污染物之一,其对应的化学式为
(2)图中$B$点对应物质的化学式是
(3)浓氨水有挥发性,易挥发出氨气$(NH_{3})$,$NH_{3}$中氮元素的化合价是
(4)打开浓氨水的试剂瓶能闻到刺激性气味,说明
(1)图中$A$点对应的物质为大气污染物之一,其对应的化学式为
NO₂
。(2)图中$B$点对应物质的化学式是
N₂
,它对应的物质类别$X$是单质
。(3)浓氨水有挥发性,易挥发出氨气$(NH_{3})$,$NH_{3}$中氮元素的化合价是
-3价
。(4)打开浓氨水的试剂瓶能闻到刺激性气味,说明
分子是在不断运动的
。
答案:
16.
(1)NO₂
(2)N₂ 单质
(3)-3价
(4)分子是在不断运动的
(1)NO₂
(2)N₂ 单质
(3)-3价
(4)分子是在不断运动的
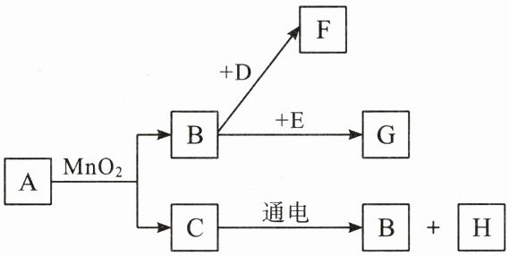
17. $A\sim G是初中化学常见的7$种物质,它们的转化关系如图。已知$A$、$C$是无色液体,$B$、$F$、$G$是无色气体,其中$F$能使澄清石灰水变浑浊,$D$是黑色固体,$E在B$中燃烧发出蓝紫色火焰且产生有刺激性气味的气体。

(1)写出下列物质的化学符号:$B$
(2)写出下列变化的符号表达式:
①$B\to F$:
②$A\to B+C$:
(3)$E在纯净的B$中燃烧,瓶内要加少量的水,其目的是
(1)写出下列物质的化学符号:$B$
O₂
;$D$C
;$G$SO₂
。(2)写出下列变化的符号表达式:
①$B\to F$:
${C + O_{2}\xrightarrow{点燃}CO_{2}}$
;②$A\to B+C$:
${H_{2}O_{2}\xrightarrow{{MnO_{2}}}H_{2}O + O_{2}}$
。(3)$E在纯净的B$中燃烧,瓶内要加少量的水,其目的是
吸收生成的二氧化硫,防止污染空气
。
答案:
17.
(1)O₂ C SO₂
(2)①${C + O_{2}\xrightarrow{点燃}CO_{2}}$ ②${H_{2}O_{2}\xrightarrow{{MnO_{2}}}H_{2}O + O_{2}}$
(3)吸收生成的二氧化硫,防止污染空气
(1)O₂ C SO₂
(2)①${C + O_{2}\xrightarrow{点燃}CO_{2}}$ ②${H_{2}O_{2}\xrightarrow{{MnO_{2}}}H_{2}O + O_{2}}$
(3)吸收生成的二氧化硫,防止污染空气
查看更多完整答案,请扫码查看