2025年一遍过八年级数学下册冀教版
注:目前有些书本章节名称可能整理的还不是很完善,但都是按照顺序排列的,请同学们按照顺序仔细查找。练习册 2025年一遍过八年级数学下册冀教版 答案主要是用来给同学们做完题方便对答案用的,请勿直接抄袭。
第46页
- 第1页
- 第2页
- 第3页
- 第4页
- 第5页
- 第6页
- 第7页
- 第8页
- 第9页
- 第10页
- 第11页
- 第12页
- 第13页
- 第14页
- 第15页
- 第16页
- 第17页
- 第18页
- 第19页
- 第20页
- 第21页
- 第22页
- 第23页
- 第24页
- 第25页
- 第26页
- 第27页
- 第28页
- 第29页
- 第30页
- 第31页
- 第32页
- 第33页
- 第34页
- 第35页
- 第36页
- 第37页
- 第38页
- 第39页
- 第40页
- 第41页
- 第42页
- 第43页
- 第44页
- 第45页
- 第46页
- 第47页
- 第48页
- 第49页
- 第50页
- 第51页
- 第52页
- 第53页
- 第54页
- 第55页
- 第56页
- 第57页
- 第58页
- 第59页
- 第60页
- 第61页
- 第62页
- 第63页
- 第64页
- 第65页
- 第66页
- 第67页
- 第68页
- 第69页
- 第70页
- 第71页
- 第72页
- 第73页
- 第74页
- 第75页
- 第76页
- 第77页
- 第78页
- 第79页
- 第80页
- 第81页
- 第82页
- 第83页
- 第84页
- 第85页
- 第86页
1 [2024通辽中考]如图,在同一平面直角坐标系中,一次函数$y = k_1x + b_1$与$y = k_2x + b_2$(其中$k_1k_2\neq0,k_1,k_2,b_1,b_2$为常数)的图像分别为直线$l_1,l_2$. 下列结论正确的是 ( )

A. $b_1 + b_2 > 0$
B. $b_1b_2 > 0$
C. $k_1 + k_2 < 0$
D. $k_1k_2 < 0$
A. $b_1 + b_2 > 0$
B. $b_1b_2 > 0$
C. $k_1 + k_2 < 0$
D. $k_1k_2 < 0$
答案:
A 由−次函数$l_1:y = k_1x + b_1$的图像可得$k_1>0,b_1>1$,由一次函数$l_2:y = k_2x + b_2$的图像可得$k_2>0,b_2 = -1$,
∴$b_1 + b_2>0,b_1b_2<0,k_1 + k_2>0,k_1k_2>0$,故A项中的结论正确.
∴$b_1 + b_2>0,b_1b_2<0,k_1 + k_2>0,k_1k_2>0$,故A项中的结论正确.
2 [2024西安交大附中模拟]若点$(m,n)$在第二象限,则函数$y = -nx + m - n$的图像可能是 ( )

答案:
D
∵点$(m,n)$在第二象限,
∴$m<0,n>0$,
∴$ - n<0,m - n<0$,
∴函数$y = -nx + m - n$的图像经过第二、三、四象限.
∵点$(m,n)$在第二象限,
∴$m<0,n>0$,
∴$ - n<0,m - n<0$,
∴函数$y = -nx + m - n$的图像经过第二、三、四象限.
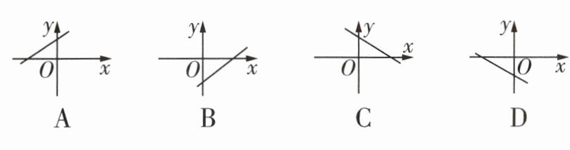
3 [2023秦皇岛期末]若一次函数$y = kx + b$的图像如图所示,则函数$y = - 3kx - b$的图像可能为 ( )

答案:
B 由题图知,一次函数$y = kx + b$的图像经过第一、二、四象限,所以$k<0,b>0$,所以$ - 3k>0, - b<0$,所以函数$y = -3kx - b$的图像经过第一、三、四象限,且倾斜度大.
4 [2024石家庄期中]已知点$A(x_1,y_1),B(x_2,y_2)$在直线$y = kx + b(k\neq0)$上,当$x_1 < x_2$时,$y_1 < y_2$,且$kb > 0$,则在平面直角坐标系中,它的图像大致是 ( )

答案:
A
∵点$A(x_1,y_1),B(x_2,y_2)$在直线$y = kx + b(k\neq0)$上,当$x_1<x_2$时,$y_1<y_2$,
∴$k>0$.又
∵$kb>0$,
∴$b>0$,
∴直线$y = kx + b$经过第一、二、三象限.
∵点$A(x_1,y_1),B(x_2,y_2)$在直线$y = kx + b(k\neq0)$上,当$x_1<x_2$时,$y_1<y_2$,
∴$k>0$.又
∵$kb>0$,
∴$b>0$,
∴直线$y = kx + b$经过第一、二、三象限.
5 一次函数$y = mx + n$与正比例函数$y = mnx(m,n$是常数,且$mn\neq0)$在同一平面直角坐标系中的图像可能是 ( )

答案:
D A项,由一次函数的图像可知$m>0,n<0$,所以$mn<0$,由正比例函数的图像可知$mn>0$,所以A项错误;B项,由一次函数的图像可知$m<0,n>0$,所以$mn<0$,由正比例函数的图像可知$mn>0$,所以B项错误;C项,由一次函数的图像可知$m>0,n>0$,所以$mn>0$,由正比例函数的图像可知$mn<0$,所以C项错误;D项,由一次函数的图像可知$m<0,n>0$,所以$mn<0$,由正比例函数的图像可知$mn<0$,所以D项正确.
6 [一题多解[2022安徽中考]在同一平面直角坐标系中,一次函数$y = ax + a^2$与$y = a^2x + a$的图像可能是 ( )

答案:
D解法 当$x = 1$时,$y = ax + a²$与$y = a²x + a$的函数值都是$a² + a$,所以两直线交点的横坐标为$1$,排除选项A,C.
当$a>0$时,$y = ax + a²$与$y = a²x + a$的图像都经过第一、二、三象限;当$a<0$时,$y = ax + a²$的图像经过第一、二、四象限,$y = a²x + a$的图像经过第一、三、四象限.故选项D符合题意.
解法二 当$x = 1$时,$y = ax + a²$与$y = a²x + a$的函数值都是$a² + a$,所以两直线交点的横坐标为$1$,排除选项A,C.若$a>0$,则$y = ax + a²$与$y = a²x + a$的图像都交在$x$轴的负半轴、$y$ 轴的正半轴;若$a<0$,则$y = ax + a²$的图像交在$y$轴的正半轴,$y = a²x + a$的图像交在$y$轴的负半轴,所以选项D符合题意.
当$a>0$时,$y = ax + a²$与$y = a²x + a$的图像都经过第一、二、三象限;当$a<0$时,$y = ax + a²$的图像经过第一、二、四象限,$y = a²x + a$的图像经过第一、三、四象限.故选项D符合题意.
解法二 当$x = 1$时,$y = ax + a²$与$y = a²x + a$的函数值都是$a² + a$,所以两直线交点的横坐标为$1$,排除选项A,C.若$a>0$,则$y = ax + a²$与$y = a²x + a$的图像都交在$x$轴的负半轴、$y$ 轴的正半轴;若$a<0$,则$y = ax + a²$的图像交在$y$轴的正半轴,$y = a²x + a$的图像交在$y$轴的负半轴,所以选项D符合题意.
查看更多完整答案,请扫码查看