2025年活动单导学课程高中生物必修第一册苏教版
注:目前有些书本章节名称可能整理的还不是很完善,但都是按照顺序排列的,请同学们按照顺序仔细查找。练习册 2025年活动单导学课程高中生物必修第一册苏教版 答案主要是用来给同学们做完题方便对答案用的,请勿直接抄袭。
第57页
- 第1页
- 第2页
- 第3页
- 第4页
- 第5页
- 第6页
- 第7页
- 第8页
- 第9页
- 第10页
- 第11页
- 第12页
- 第13页
- 第14页
- 第15页
- 第16页
- 第17页
- 第18页
- 第19页
- 第20页
- 第21页
- 第22页
- 第23页
- 第24页
- 第25页
- 第26页
- 第27页
- 第28页
- 第29页
- 第30页
- 第31页
- 第32页
- 第33页
- 第34页
- 第35页
- 第36页
- 第37页
- 第38页
- 第39页
- 第40页
- 第41页
- 第42页
- 第43页
- 第44页
- 第45页
- 第46页
- 第47页
- 第48页
- 第49页
- 第50页
- 第51页
- 第52页
- 第53页
- 第54页
- 第55页
- 第56页
- 第57页
- 第58页
- 第59页
- 第60页
- 第61页
- 第62页
- 第63页
- 第64页
- 第65页
- 第66页
- 第67页
- 第68页
- 第69页
- 第70页
- 第71页
- 第72页
- 第73页
- 第74页
- 第75页
- 第76页
- 第77页
- 第78页
- 第79页
- 第80页
1. (苏教版教材第三章小结原创)ATP是生命活动的直接能源物质,下列有关说法错误的是(
A.ATP的化学本质是腺苷三磷酸
B.ATP通过基团转移提供能量
C.ATP合成时需要酶、ADP、Pi、能量
D.ATP能降低生化反应所需的活化能
D
)A.ATP的化学本质是腺苷三磷酸
B.ATP通过基团转移提供能量
C.ATP合成时需要酶、ADP、Pi、能量
D.ATP能降低生化反应所需的活化能
答案:
1.D 酶能降低生化反应所需的活化能,ATP能提供能量,但不能降低生化反应所需的活化能,D错误。
2. (2025连云港赣榆期中)下列有关ATP的叙述,正确的是(
A.1分子ATP由1个脱氧核糖、1个腺嘌呤和3个磷酸基团组成
B.ATP脱去两个磷酸基团后可参与DNA的合成
C.ATP依次水解三个磷酸基团均产生较高的转移势能
D.ATP可以直接为生物体的大多数需能反应提供能量
D
)A.1分子ATP由1个脱氧核糖、1个腺嘌呤和3个磷酸基团组成
B.ATP脱去两个磷酸基团后可参与DNA的合成
C.ATP依次水解三个磷酸基团均产生较高的转移势能
D.ATP可以直接为生物体的大多数需能反应提供能量
答案:
2.D 1分子ATP由1个核糖、1个腺嘌呤和3个磷酸基团组成,而不是脱氧核糖,A错误;ATP脱去两个磷酸基团后是腺嘌呤核糖核苷酸,可参与RNA的合成,而不是DNA的合成,B错误;ATP依次水解三个磷酸基团,只有远离腺苷的那个磷酸基团水解产生较高的转移势能,C错误;ATP是细胞内的直接能源物质,可以直接为生物体的大多数需能反应提供能量,D正确。
3. (2025南京期末)下图表示ATP与ADP相互转化的过程。下列叙述正确的是(

A.ATP只分布在细胞质中
B.过程①中的能量可来自光能
C.过程②往往与许多放能反应相联系
D.人体剧烈运动时过程②速度大于过程①
B
)A.ATP只分布在细胞质中
B.过程①中的能量可来自光能
C.过程②往往与许多放能反应相联系
D.人体剧烈运动时过程②速度大于过程①
答案:
3.B 细胞需要能量的部位均有ATP分布,细胞核中也有ATP,A错误;过程①为ATP的合成,所需要的能量可来自光合作用中色素分子所吸收的光能,也可来自呼吸作用中有机物氧化分解所释放的化学能,B正确;过程②是ATP水解,往往与吸能反应相联系,C错误;细胞中ATP和ADP的相互转化时刻不停地发生并且处于动态平衡之中,人体剧烈运动时过程②(ATP水解)与过程①(ATP合成)速度处于动态平衡,D错误。
4. (2025盐城五校联考)如图为ATP转化为ADP的示意图,图中X代表(

A.${H_{2}O}$
B.${H^{+}}$
C.腺苷
D.能量
D
)A.${H_{2}O}$
B.${H^{+}}$
C.腺苷
D.能量
答案:
4.D ATP水解为ADP的过程:$ATP\stackrel{酶}{\rightarrow}ADP+Pi+$能量,由ATP转化为ADP的反应式可以看出,ATP水解除了生成ADP和Pi外,还有能量的释放,故图中的X代表能量,D正确。
5. (2025南通海安中学月考)ATP作为细胞中的“能量通货”。下列相关叙述错误的是(
A.由于磷酸基团带负电,末端磷酸基团具有较高的转移势能而更易水解脱落
B.ATP水解为ADP时,既可为耗能过程供能,也可以让蛋白质磷酸化
C.ATP只能作为直接的能源物质,不可充当信息分子
D.ATP脱去两个磷酸基团后形成的物质,可参与RNA的合成
C
)A.由于磷酸基团带负电,末端磷酸基团具有较高的转移势能而更易水解脱落
B.ATP水解为ADP时,既可为耗能过程供能,也可以让蛋白质磷酸化
C.ATP只能作为直接的能源物质,不可充当信息分子
D.ATP脱去两个磷酸基团后形成的物质,可参与RNA的合成
答案:
5.C ATP由1分子腺嘌呤,1分子核糖和3分子磷酸基团组成,由于磷酸基团带负电而相互排斥,末端磷酸基团具有较高的转移势能而更易水解脱落,A正确;ATP水解为ADP时,远离腺苷的磷酐键断裂,释放能量,脱离下来的末端磷酸基团挟能量与其他分子结合,故也可以让蛋白质磷酸化,B正确;ATP不仅可以作为直接能源物质,也可在特定情况下作为信息分子起作用,C错误;ATP脱去两个磷酸基团后形成的物质是腺嘌呤核糖核苷酸,可参与RNA的合成,D正确。
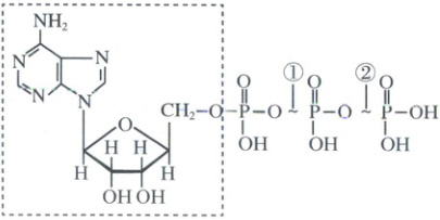
6. (2025南通海安实验中学月考)ATP是腺嘌呤核苷的衍生物,下图是ATP的分子结构图。下列有关叙述正确的是(

A.ATP和ADP相互转化能使细胞中储存大量ATP
B.细胞中的放能反应与ATP水解相联系
C.图中虚线表示腺嘌呤核糖核苷酸,是组成RNA的基本单位之一
D.ATP是直接为细胞生命活动提供能量的物质
D
)A.ATP和ADP相互转化能使细胞中储存大量ATP
B.细胞中的放能反应与ATP水解相联系
C.图中虚线表示腺嘌呤核糖核苷酸,是组成RNA的基本单位之一
D.ATP是直接为细胞生命活动提供能量的物质
答案:
6.D ATP在细胞内的含量很少,但ATP与ADP在细胞内的相互转化十分迅速,A错误;细胞中的放能反应与ATP合成相联系,细胞中的吸能反应与ATP水解相联系,B错误;图中虚线表示腺苷,腺苷加上一个磷酸可构成一个腺嘌呤核糖核苷酸,是组成RNA的基本单位之一,C错误;细胞中绝大多数需要能量的生命活动都是由ATP直接提供能量的,D正确。
查看更多完整答案,请扫码查看