第115页
- 第1页
- 第2页
- 第3页
- 第4页
- 第5页
- 第6页
- 第7页
- 第8页
- 第9页
- 第10页
- 第11页
- 第12页
- 第13页
- 第14页
- 第15页
- 第16页
- 第17页
- 第18页
- 第19页
- 第20页
- 第21页
- 第22页
- 第23页
- 第24页
- 第25页
- 第26页
- 第27页
- 第28页
- 第29页
- 第30页
- 第31页
- 第32页
- 第33页
- 第34页
- 第35页
- 第36页
- 第37页
- 第38页
- 第39页
- 第40页
- 第41页
- 第42页
- 第43页
- 第44页
- 第45页
- 第46页
- 第47页
- 第48页
- 第49页
- 第50页
- 第51页
- 第52页
- 第53页
- 第54页
- 第55页
- 第56页
- 第57页
- 第58页
- 第59页
- 第60页
- 第61页
- 第62页
- 第63页
- 第64页
- 第65页
- 第66页
- 第67页
- 第68页
- 第69页
- 第70页
- 第71页
- 第72页
- 第73页
- 第74页
- 第75页
- 第76页
- 第77页
- 第78页
- 第79页
- 第80页
- 第81页
- 第82页
- 第83页
- 第84页
- 第85页
- 第86页
- 第87页
- 第88页
- 第89页
- 第90页
- 第91页
- 第92页
- 第93页
- 第94页
- 第95页
- 第96页
- 第97页
- 第98页
- 第99页
- 第100页
- 第101页
- 第102页
- 第103页
- 第104页
- 第105页
- 第106页
- 第107页
- 第108页
- 第109页
- 第110页
- 第111页
- 第112页
- 第113页
- 第114页
- 第115页
- 第116页
- 第117页
- 第118页
- 第119页
- 第120页
- 第121页
- 第122页
- 第123页
- 第124页
- 第125页
- 第126页
- 第127页
- 第128页
- 第129页
- 第130页
- 第131页
- 第132页
- 第133页
- 第134页
- 第135页
- 第136页
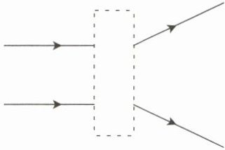
10. 如图,这是平行光线经过透镜折射后的光路,请在方框中填入适当透镜的符号。

答案:
关键能力2 凸透镜的焦距
11. 如图所示,一束平行于凸透镜主光轴的光线通过凸透镜后,在光屏上形成了一个最小、最亮的光斑,从图中可知该凸透镜的焦距是

11. 如图所示,一束平行于凸透镜主光轴的光线通过凸透镜后,在光屏上形成了一个最小、最亮的光斑,从图中可知该凸透镜的焦距是
10.0
cm。
答案:
10.0
12. 小明利用太阳光测量凸透镜焦距,下列操作最合理的是 (

C
)
答案:
C
13. 如图所示,把一个凸透镜放在平面镜前,当用眼睛观察平面镜时,光束似乎是从$M$处发散开来的,则该凸透镜的焦距是 (

A. 0.4 m
B. 0.3 m
C. 0.2 m
D. 0.1 m
D
)A. 0.4 m
B. 0.3 m
C. 0.2 m
D. 0.1 m
答案:
D
14. 将凸透镜正对太阳光,其下方的纸上呈现一个并非最小的光斑,如图所示,这时光斑到凸透镜的距离为5 cm。若凸透镜远离纸的过程中光斑一直变大,则该凸透镜的焦距 (

A.一定小于5cm
B.一定等于5 cm
C.一定大于5 cm
D.可能小于5cm,也可能大于5 cm
A
)A.一定小于5cm
B.一定等于5 cm
C.一定大于5 cm
D.可能小于5cm,也可能大于5 cm
答案:
A
15. 核心素养[科学思维] 如图所示,两条光线会聚于主光轴$MN上的b$点,在虚线框内放入甲透镜后,光线将会聚于主光轴$MN上的c$点;在虚线框内放入乙透镜后,光线将会聚于主光轴$MN上的a$点,则 (

A. 甲是凸透镜,乙是凸透镜
B. 甲是凹透镜,乙是凸透镜
C. 甲是凸透镜,乙是凹透镜
D. 甲是凹透镜,乙是凹透镜
B
)A. 甲是凸透镜,乙是凸透镜
B. 甲是凹透镜,乙是凸透镜
C. 甲是凸透镜,乙是凹透镜
D. 甲是凹透镜,乙是凹透镜
答案:
B
16. 核心素养[科学探究] 小亮手中有三个直径相同、厚度不同的凸透镜A、B、C,分别由玻璃、塑料制成,小亮用正确的方法分别测出了它们的焦距,如表所示,由此可以得出初步的结论:凸透镜的焦距大小与凸透镜的材料和__

厚度
__有关,其中会聚能力最强的是__B
__(选填“A”“B”或“C”)。
答案:
厚度 B
查看更多完整答案,请扫码查看