第23页
- 第1页
- 第2页
- 第3页
- 第4页
- 第5页
- 第6页
- 第7页
- 第8页
- 第9页
- 第10页
- 第11页
- 第12页
- 第13页
- 第14页
- 第15页
- 第16页
- 第17页
- 第18页
- 第19页
- 第20页
- 第21页
- 第22页
- 第23页
- 第24页
- 第25页
- 第26页
- 第27页
- 第28页
- 第29页
- 第30页
- 第31页
- 第32页
- 第33页
- 第34页
- 第35页
- 第36页
- 第37页
- 第38页
- 第39页
- 第40页
- 第41页
- 第42页
- 第43页
- 第44页
- 第45页
- 第46页
- 第47页
- 第48页
- 第49页
- 第50页
- 第51页
- 第52页
- 第53页
- 第54页
- 第55页
- 第56页
- 第57页
- 第58页
- 第59页
- 第60页
- 第61页
- 第62页
- 第63页
- 第64页
- 第65页
- 第66页
- 第67页
- 第68页
- 第69页
- 第70页
- 第71页
$2.4 ÷ 1.5 = $
$9.3 ÷ 6.2 = $
$8.6 ÷ 0.4 = $
1.6
$9.3 ÷ 6.2 = $
1.5
$8.6 ÷ 0.4 = $
21.5
答案:
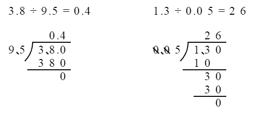
解析:本题考查除数是小数的除法的计算方法。
先向右移动除数的小数点,使除数变成整数。除数的小数点右移几位,被除数的小数点也右移几位(位数不够时,在被除数的末尾用“0”补足)。然后按除数是整数的小数除法的方法进行计算。
答案:
$2.4÷1.5=1.6$
$9.3÷6.2=1.5$
$8.6÷0.4=21.5$
先向右移动除数的小数点,使除数变成整数。除数的小数点右移几位,被除数的小数点也右移几位(位数不够时,在被除数的末尾用“0”补足)。然后按除数是整数的小数除法的方法进行计算。
答案:
$2.4÷1.5=1.6$
$9.3÷6.2=1.5$
$8.6÷0.4=21.5$
答案:


查看更多完整答案,请扫码查看