1. 若 $ m - x = 2 $,$ n + y = 3 $,则 $ (m - n) - (x + y) = $(
A.$-5$
B.$-1$
C.$1$
D.$5$
-1
)A.$-5$
B.$-1$
C.$1$
D.$5$
答案:
1.B 解析:因为m - x = 2,n + y = 3,所以原式=m - n - x - y=(m - x) - (n + y)=2 - 3 = - 1.
2. 设 $ M = x^{2} - 3x + 5 $,$ N = -x^{2} - 3x + 2 $,那么 $ M $ 与 $ N $ 的大小关系是(
A.$ M < N $
B.$ M = N $
C.$ M > N $
D.无法确定
C
)A.$ M < N $
B.$ M = N $
C.$ M > N $
D.无法确定
答案:
2.C 解析:因为M - N=(x² - 3x + 5) - (-x² - 3x + 2)=x² - 3x + 5 + x² + 3x - 2 = 2x² + 3>0,所以M>N.
3. 某轮船先顺水航行了 $ 3 $ h,又逆水航行了 $ 1.5 $ h,已知该轮船在静水中的速度是 $ a $ km/h,水流速度是 $ y $ km/h,则该轮船共航行
(4.5a + 1.5y)
km。
答案:
3.(4.5a + 1.5y) 解析:由题意,得该轮船顺水时的速度为(a + y)km/h,逆水时的速度为(a - y)km/h,所以该轮船共航行3(a + y)+1.5(a - y)=(4.5a + 1.5y)km.
4. 多项式 $ 3x^{3} - 6x^{2} + 2x - 4 $ 与多项式 $ 4x^{3} + 2ax^{2} - x + 5 $ 的和不含 $ x $ 的二次项,则 $ a $ 的值是
3
。
答案:
4.3 解析:因为3x³ - 6x² + 2x - 4 + 4x³ + 2ax² - x + 5 = 7x³ + (-6 + 2a)x² + x + 1,且多项式3x³ - 6x² + 2x - 4与多项式4x³ + 2ax² - x + 5的和不含x的二次项,所以 - 6 + 2a = 0,所以a = 3.
5. 先化简,再求值:
(1)$ 4a^{3} - 2a^{2}b + 2ba - 2[2a^{3} + (b^{2}a - 3ab)] $,其中 $ a = 2 $,$ b = 3 $。
(2)$ \frac{1}{2}x + 2(x - y^{2}) - (\frac{3}{2}x - 3y^{2}) $,其中 $ x $,$ y $ 满足 $ |x + 1| + (y - 1)^{2} = 0 $。
(1)$ 4a^{3} - 2a^{2}b + 2ba - 2[2a^{3} + (b^{2}a - 3ab)] $,其中 $ a = 2 $,$ b = 3 $。
(2)$ \frac{1}{2}x + 2(x - y^{2}) - (\frac{3}{2}x - 3y^{2}) $,其中 $ x $,$ y $ 满足 $ |x + 1| + (y - 1)^{2} = 0 $。
答案:
5.解:
(1)原式=4a³ - 2a²b + 2ba - 4a³ - 2(b²a - 3ab)=4a³ - 2a²b + 2ba - 4a³ - 2b²a + 6ab =8ab - 2a²b - 2b²a.当a = 2,b = 3时,原式=8×2×3 - 2×2²×3 - 2×3²×2 =48 - 24 - 36 = - 12.
(2)原式=1/2x + 2x - 2y² - 3/2x + 3y² = x + y².因为|x + 1|+(y - 1)² = 0,所以x + 1 = 0,y - 1 = 0,所以x = - 1,y = 1,所以原式= - 1 + 1 = 0.
(1)原式=4a³ - 2a²b + 2ba - 4a³ - 2(b²a - 3ab)=4a³ - 2a²b + 2ba - 4a³ - 2b²a + 6ab =8ab - 2a²b - 2b²a.当a = 2,b = 3时,原式=8×2×3 - 2×2²×3 - 2×3²×2 =48 - 24 - 36 = - 12.
(2)原式=1/2x + 2x - 2y² - 3/2x + 3y² = x + y².因为|x + 1|+(y - 1)² = 0,所以x + 1 = 0,y - 1 = 0,所以x = - 1,y = 1,所以原式= - 1 + 1 = 0.
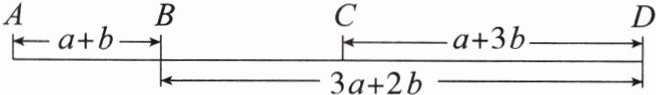
6. $ A $,$ B $,$ C $,$ D $ 四个车站的位置如图所示。

求:(1)$ A $,$ D $ 两站的距离。
(2)$ A $,$ C $ 两站的距离。
求:(1)$ A $,$ D $ 两站的距离。
(2)$ A $,$ C $ 两站的距离。
答案:
6.解:
(1)根据题意,得A,D两站的距离等于A,B两站的距离加上B,D两站的距离,即AD = a + b + 3a + 2b = 4a + 3b.
(2)根据题意,得A,C两站的距离等于A,D两站的距离减去C,D两站的距离,即AC = 4a + 3b - (a + 3b)=4a + 3b - a - 3b = 3a.
(1)根据题意,得A,D两站的距离等于A,B两站的距离加上B,D两站的距离,即AD = a + b + 3a + 2b = 4a + 3b.
(2)根据题意,得A,C两站的距离等于A,D两站的距离减去C,D两站的距离,即AC = 4a + 3b - (a + 3b)=4a + 3b - a - 3b = 3a.
7. 黑板上有一道题,是一个多项式减去 $ (3x^{2} - 5x + 1) $,某同学由于大意,将减去看成了加上,得出结果是 $ 5x^{2} + 3x - 7 $,这道题的正确结果是(
A.$ 8x^{2} - 2x - 6 $
B.$ 14x^{2} - 12x - 5 $
C.$ 2x^{2} + 8x - 8 $
D.$ -x^{2} + 13x - 9 $
-x² + 13x - 9
)A.$ 8x^{2} - 2x - 6 $
B.$ 14x^{2} - 12x - 5 $
C.$ 2x^{2} + 8x - 8 $
D.$ -x^{2} + 13x - 9 $
答案:
7.D 解析:原多项式为(5x² + 3x - 7) - (3x² - 5x + 1)=5x² + 3x - 7 - 3x² + 5x - 1 = 2x² + 8x - 8,所以这道题的正确结果为(2x² + 8x - 8) - (3x² - 5x + 1)=2x² + 8x - 8 - 3x² + 5x - 1 = - x² + 13x - 9.
8. 小明准备完成题目:化简 $ (■x^{2} + 6x + 8) - (6x + 5x^{2} + 2) $,发现系数“■”印刷不清楚,小明妈妈说:“我看到该题的标准答案是一个常数。”
则系数“■”是
则系数“■”是
5
。
答案:
8.5 解析:(■x² + 6x + 8) - (6x + 5x² + 2)=■x² + 6x + 8 - 6x - 5x² - 2=(■ - 5)x² + 6.因为该题的标准答案是一个常数,所以■ - 5 = 0,则■ = 5.
9. 已知 $ A = 2a^{2} - a + 3b - ab $,$ B = a^{2} + 2a - b + ab $。
(1)化简 $ A - 2B $;
(2)当 $ a - b = 2 $,$ ab = -1 $ 时,求 $ A - 2B $ 的值;
(3)若 $ A - 2B $ 的值与 $ b $ 的取值无关,求 $ A - 2B $ 的值。
(1)化简 $ A - 2B $;
(2)当 $ a - b = 2 $,$ ab = -1 $ 时,求 $ A - 2B $ 的值;
(3)若 $ A - 2B $ 的值与 $ b $ 的取值无关,求 $ A - 2B $ 的值。
答案:
9.解:
(1)A - 2B=(2a² - a + 3b - ab) - 2(a² + 2a - b + ab)=2a² - a + 3b - ab - 2a² - 4a + 2b - 2ab = - 5a + 5b - 3ab.
(2)由
(1),得A - 2B = - 5a + 5b - 3ab.因为a - b = 2,ab = - 1,所以A - 2B = - 5a + 5b - 3ab = - 5(a - b) - 3ab = - 5×2 - 3×(-1)= - 10 + 3 = - 7.
(3)由
(1),得A - 2B = - 5a + 5b - 3ab = (5 - 3a)b - 5a.因为A - 2B的值与b的取值无关,所以5 - 3a = 0,所以a = 5/3,所以A - 2B = - 5a = - 5×5/3 = - 25/3.
(1)A - 2B=(2a² - a + 3b - ab) - 2(a² + 2a - b + ab)=2a² - a + 3b - ab - 2a² - 4a + 2b - 2ab = - 5a + 5b - 3ab.
(2)由
(1),得A - 2B = - 5a + 5b - 3ab.因为a - b = 2,ab = - 1,所以A - 2B = - 5a + 5b - 3ab = - 5(a - b) - 3ab = - 5×2 - 3×(-1)= - 10 + 3 = - 7.
(3)由
(1),得A - 2B = - 5a + 5b - 3ab = (5 - 3a)b - 5a.因为A - 2B的值与b的取值无关,所以5 - 3a = 0,所以a = 5/3,所以A - 2B = - 5a = - 5×5/3 = - 25/3.
查看更多完整答案,请扫码查看