2025年暑假作业明天出版社高一物理
注:目前有些书本章节名称可能整理的还不是很完善,但都是按照顺序排列的,请同学们按照顺序仔细查找。练习册 2025年暑假作业明天出版社高一物理 答案主要是用来给同学们做完题方便对答案用的,请勿直接抄袭。
1. 如图所示,家用楼梯升降椅可以沿着倾斜的直轨道运动,方便行动困难的老人上下楼。以下说法正确的是(

A.升降椅加速上升时,人处于失重状态
B.升降椅减速上升时,人处于失重状态
C.升降椅匀速上升时,升降椅对人的作用力沿楼梯斜向上
D.升降椅加速上升时,升降椅对人的作用力沿楼梯斜向上
B
)A.升降椅加速上升时,人处于失重状态
B.升降椅减速上升时,人处于失重状态
C.升降椅匀速上升时,升降椅对人的作用力沿楼梯斜向上
D.升降椅加速上升时,升降椅对人的作用力沿楼梯斜向上
答案:
B
2. 如图所示,有一辆汽车满载西瓜在水平路面上匀速前进,突然发生意外情况,紧急刹车做匀减速运动,加速度大小为$a$,则中间一质量为$m的西瓜A$受到其他西瓜对它的作用力的大小是( )

A.$m\sqrt{g^{2}-a^{2}}$
B.$ma$
C.$m\sqrt{g^{2}+a^{2}}$
D.$m(g+a)$
A.$m\sqrt{g^{2}-a^{2}}$
B.$ma$
C.$m\sqrt{g^{2}+a^{2}}$
D.$m(g+a)$
答案:
C 西瓜与汽车具有相同的加速度a,对西瓜A受力分析如图所示,F表示周围西瓜对西瓜A的作用力,则由牛顿第二定律得$\sqrt{F^{2}-(mg)^{2}}=ma$,解得$F=m\sqrt{g^{2}+a^{2}}$,故选项C正确,A、B、D错误。
C 西瓜与汽车具有相同的加速度a,对西瓜A受力分析如图所示,F表示周围西瓜对西瓜A的作用力,则由牛顿第二定律得$\sqrt{F^{2}-(mg)^{2}}=ma$,解得$F=m\sqrt{g^{2}+a^{2}}$,故选项C正确,A、B、D错误。
3. 如图所示,质量为$m = 3kg的木块放在倾角为\theta = 30^{\circ}$的足够长斜面上,木块可以沿斜面匀速下滑。若用沿斜面向上的力$F$作用于木块上,使其由静止开始沿斜面向上加速运动,经过$t = 2s时间木块沿斜面上升4m$的距离,则推力$F$为($g取10m/s^{2}$)(

A.$42N$
B.$6N$
C.$21N$
D.$36N$
D
)A.$42N$
B.$6N$
C.$21N$
D.$36N$
答案:
D 因木块能沿斜面匀速下滑,由平衡条件知$mgsinθ=μmgcosθ$,所以$μ=tanθ$;当在推力F作用下加速上滑时,由运动学公式$x=\frac{1}{2}at^{2}$,得$a=2m/s^{2}$,由牛顿第二定律得$F - mgsinθ - μmgcosθ = ma$,得$F = 36N$,故选项D正确.
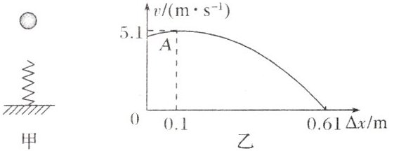
4. 如图甲所示,轻弹簧竖直固定在水平面上,一质量为$m = 0.2kg$的小球从弹簧上端某高度处自由下落,从它接触弹簧到弹簧压缩至最短的过程中(弹簧始终在弹性限度内),其速度$v和弹簧压缩量\Delta x$的函数图像如图乙所示,其中$A$为曲线的最高点,小球和弹簧接触瞬间的速度损失不计,重力加速度$g取10m/s^{2}$。下列说法中正确的是(

A.该弹簧的劲度系数为$15N/m$
B.当$\Delta x = 0.3m$时,小球处于失重状态
C.小球刚接触弹簧时速度最大
D.从接触弹簧到压缩至最短的过程中,小球的加速度先减小后增大
D
)A.该弹簧的劲度系数为$15N/m$
B.当$\Delta x = 0.3m$时,小球处于失重状态
C.小球刚接触弹簧时速度最大
D.从接触弹簧到压缩至最短的过程中,小球的加速度先减小后增大
答案:
D
5. 如图所示,一条足够长的浅色水平传送带自左向右匀速运行。现将一个木炭包无初速度地放在传送带的最左端,木炭包在传送带上将会留下一段黑色的径迹。下列说法中正确的是(

A.黑色的径迹将出现在木炭包的左侧
B.木炭包的质量越大,径迹的长度越短
C.传送带运动的速度越大,径迹的长度越短
D.木炭包与传送带间动摩擦因数越大,径迹的长度越短
D
)A.黑色的径迹将出现在木炭包的左侧
B.木炭包的质量越大,径迹的长度越短
C.传送带运动的速度越大,径迹的长度越短
D.木炭包与传送带间动摩擦因数越大,径迹的长度越短
答案:
D 刚放上木炭包时,木炭包的速度小,传送带的速度大,木炭包相对传送带向后(左)滑动,所以黑色的痕迹出现在木炭包的右侧,所以A错误;木炭包与传送带共速所用时间$t=\frac{v}{μg}$,木炭包的位移$x_{1}=\frac{v}{2}t=\frac{v^{2}}{2μg}$,传送带运动的位移$x_{2}=vt=\frac{v^{2}}{μg}$,径迹长$L=x_{2}-x_{1}=\frac{v^{2}}{μg}-\frac{v^{2}}{2μg}=\frac{v^{2}}{2μg}$,由此可知选项D正确,B、C错误.
6. 如图所示,在光滑水平面上有一质量为$m_{1}$的足够长的木板,其上叠放一质量为$m_{2}$的木块。假定木块和木板之间的最大静摩擦力和滑动摩擦力相等。现给木块施加一随时间$t增大的水平力F = kt$($k$是常量),木板和木块加速度的大小分别为$a_{1}和a_{2}$。下列反映$a_{1}和a_{2}$变化的图线中正确的是(


A
)
答案:
A
查看更多完整答案,请扫码查看