第24页
- 第1页
- 第2页
- 第3页
- 第4页
- 第5页
- 第6页
- 第7页
- 第8页
- 第9页
- 第10页
- 第11页
- 第12页
- 第13页
- 第14页
- 第15页
- 第16页
- 第17页
- 第18页
- 第19页
- 第20页
- 第21页
- 第22页
- 第23页
- 第24页
- 第25页
- 第26页
- 第27页
- 第28页
- 第29页
- 第30页
- 第31页
- 第32页
- 第33页
- 第34页
- 第35页
- 第36页
- 第37页
- 第38页
- 第39页
- 第40页
- 第41页
- 第42页
- 第43页
- 第44页
- 第45页
- 第46页
- 第47页
- 第48页
- 第49页
- 第50页
- 第51页
- 第52页
- 第53页
- 第54页
- 第55页
- 第56页
- 第57页
- 第58页
- 第59页
- 第60页
- 第61页
- 第62页
- 第63页
1. 下面的计算对吗?(对的画“√”,错的画“×”并改正)
(1)$\frac{7}{9} × 2 ÷ \frac{7}{9} × 2$ 改正:

$=\frac{14}{9} ÷ \frac{14}{9}$
$=1$ ( )
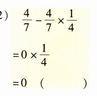
(2)$\frac{4}{7} - \frac{4}{7} × \frac{1}{4}$ 改正:
$=0 × \frac{1}{4}$
$=0$ ( )
(1)$\frac{7}{9} × 2 ÷ \frac{7}{9} × 2$ 改正:
$=\frac{14}{9} ÷ \frac{14}{9}$
$=1$ ( )
(2)$\frac{4}{7} - \frac{4}{7} × \frac{1}{4}$ 改正:
$=0 × \frac{1}{4}$
$=0$ ( )
答案:
(1)× $\frac{7}{9}×2÷\frac{7}{9}×2$ $=\frac{7}{9}×2×\frac{9}{7}×2$ =4
(2)× $\frac{4}{7}-\frac{4}{7}×\frac{1}{4}$ $=\frac{4}{7}-\frac{1}{7}$ $=\frac{3}{7}$
(1)× $\frac{7}{9}×2÷\frac{7}{9}×2$ $=\frac{7}{9}×2×\frac{9}{7}×2$ =4
(2)× $\frac{4}{7}-\frac{4}{7}×\frac{1}{4}$ $=\frac{4}{7}-\frac{1}{7}$ $=\frac{3}{7}$
2. 计算下面各题。
$\frac{4}{25} ÷ \frac{2}{5} ÷ \frac{1}{2}$
$\frac{5}{4} ÷ \frac{1}{3} × \frac{9}{5}$
$25 - \frac{12}{5} ÷ \frac{6}{25}$
$(\frac{3}{5} - \frac{2}{15}) ÷ (\frac{1}{12} + \frac{5}{6})$
$\frac{4}{25} ÷ \frac{2}{5} ÷ \frac{1}{2}$
$\frac{5}{4} ÷ \frac{1}{3} × \frac{9}{5}$
$25 - \frac{12}{5} ÷ \frac{6}{25}$
$(\frac{3}{5} - \frac{2}{15}) ÷ (\frac{1}{12} + \frac{5}{6})$
答案:
$\frac{4}{25}÷\frac{2}{5}÷\frac{1}{2}$ $=\frac{4}{25}×\frac{5}{2}×2$ $=\frac{4}{5}$ $\frac{5}{4}÷\frac{1}{3}×\frac{9}{5}$ $=\frac{5}{4}×3×\frac{9}{5}$ $=\frac{27}{4}$ $25-\frac{12}{5}÷\frac{6}{25}$ $=25-\frac{12}{5}×\frac{25}{6}$ =25-10 =15 $(\frac{3}{5}-\frac{2}{15})÷(\frac{1}{12}+\frac{5}{6})$ $=\frac{7}{15}÷\frac{11}{12}$ $=\frac{7}{15}×\frac{12}{11}=\frac{28}{55}$
3.(北京东城区期末)花坛边插有一块三角形的宣传牌。这块宣传牌的面积是多少?

三角形宣传牌的底是$\frac{3}{5}$m,高是$\frac{1}{2}$m。
三角形宣传牌的底是$\frac{3}{5}$m,高是$\frac{1}{2}$m。
答案:
$\frac{3}{5}×\frac{1}{2}÷2=\frac{3}{20}(m^2)$ 答:这块宣传牌的面积是$\frac{3}{20}m^2$。
4.(重点)一瓶酸奶有$\frac{5}{6}$L,倒出$\frac{1}{5}$后,将剩下的分装在容量是$\frac{1}{9}$L的小杯里,可以装满多少杯?
答案:
$\frac{5}{6}×(1-\frac{1}{5})÷\frac{1}{9}=6$(杯) 答:可以装满6杯。
5. 用简便方法计算。
(1)$5 ÷ \frac{5}{2} + 6 × 0.4 - 2 ÷ 5$
(2)$(2\frac{2}{7} + 3\frac{1}{9} + 2\frac{2}{11} + 3\frac{9}{13}) ÷ (\frac{4}{7} + \frac{7}{9} + \frac{6}{11} + \frac{12}{13})$
(1)$5 ÷ \frac{5}{2} + 6 × 0.4 - 2 ÷ 5$
(2)$(2\frac{2}{7} + 3\frac{1}{9} + 2\frac{2}{11} + 3\frac{9}{13}) ÷ (\frac{4}{7} + \frac{7}{9} + \frac{6}{11} + \frac{12}{13})$
答案:
(1) $5÷\frac{5}{2}+6×0.4-2÷5$ $=5×\frac{2}{5}+6×\frac{2}{5}-\frac{2}{5}$ $=(5+6-1)×\frac{2}{5}$ $=10×\frac{2}{5}=4$
(2) $(2\frac{2}{7}+3\frac{1}{9}+2\frac{2}{11}+3\frac{9}{13})÷(\frac{4}{7}+\frac{7}{9}+\frac{6}{11}+\frac{12}{13})=(\frac{16}{7}+\frac{28}{9}+\frac{24}{11}+\frac{48}{13})÷(\frac{4}{7}+\frac{7}{9}+\frac{6}{11}+\frac{12}{13})=4×(\frac{4}{7}+\frac{7}{9}+\frac{6}{11}+\frac{12}{13})÷(\frac{4}{7}+\frac{7}{9}+\frac{6}{11}+\frac{12}{13})=4$
(1) $5÷\frac{5}{2}+6×0.4-2÷5$ $=5×\frac{2}{5}+6×\frac{2}{5}-\frac{2}{5}$ $=(5+6-1)×\frac{2}{5}$ $=10×\frac{2}{5}=4$
(2) $(2\frac{2}{7}+3\frac{1}{9}+2\frac{2}{11}+3\frac{9}{13})÷(\frac{4}{7}+\frac{7}{9}+\frac{6}{11}+\frac{12}{13})=(\frac{16}{7}+\frac{28}{9}+\frac{24}{11}+\frac{48}{13})÷(\frac{4}{7}+\frac{7}{9}+\frac{6}{11}+\frac{12}{13})=4×(\frac{4}{7}+\frac{7}{9}+\frac{6}{11}+\frac{12}{13})÷(\frac{4}{7}+\frac{7}{9}+\frac{6}{11}+\frac{12}{13})=4$
查看更多完整答案,请扫码查看