第122页
- 第1页
- 第2页
- 第3页
- 第4页
- 第5页
- 第6页
- 第7页
- 第8页
- 第9页
- 第10页
- 第11页
- 第12页
- 第13页
- 第14页
- 第15页
- 第16页
- 第17页
- 第18页
- 第19页
- 第20页
- 第21页
- 第22页
- 第23页
- 第24页
- 第25页
- 第26页
- 第27页
- 第28页
- 第29页
- 第30页
- 第31页
- 第32页
- 第33页
- 第34页
- 第35页
- 第36页
- 第37页
- 第38页
- 第39页
- 第40页
- 第41页
- 第42页
- 第43页
- 第44页
- 第45页
- 第46页
- 第47页
- 第48页
- 第49页
- 第50页
- 第51页
- 第52页
- 第53页
- 第54页
- 第55页
- 第56页
- 第57页
- 第58页
- 第59页
- 第60页
- 第61页
- 第62页
- 第63页
- 第64页
- 第65页
- 第66页
- 第67页
- 第68页
- 第69页
- 第70页
- 第71页
- 第72页
- 第73页
- 第74页
- 第75页
- 第76页
- 第77页
- 第78页
- 第79页
- 第80页
- 第81页
- 第82页
- 第83页
- 第84页
- 第85页
- 第86页
- 第87页
- 第88页
- 第89页
- 第90页
- 第91页
- 第92页
- 第93页
- 第94页
- 第95页
- 第96页
- 第97页
- 第98页
- 第99页
- 第100页
- 第101页
- 第102页
- 第103页
- 第104页
- 第105页
- 第106页
- 第107页
- 第108页
- 第109页
- 第110页
- 第111页
- 第112页
- 第113页
- 第114页
- 第115页
- 第116页
- 第117页
- 第118页
- 第119页
- 第120页
- 第121页
- 第122页
- 第123页
- 第124页
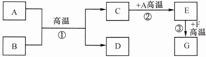
5.A~G 都是初中化学常见的物质,已知 A、B 都是黑色固体,D、F 为红色固体,它们之间的转化关系如下图所示。请回答下列问题(氧化铁为红色固体):
(1)写出 E 的化学式:
(2)写出反应①的化学方程式
(3)反应③在工业上常用于

(1)写出 E 的化学式:
CO
,G 的名称:铁
;(2)写出反应①的化学方程式
C+2CuO$\xlongequal{\text{高温}}$2Cu+CO₂↑
;(3)反应③在工业上常用于
冶炼金属
。
答案:
(1)CO 铁
(2)C+2CuO$\xlongequal{\text{高温}}$2Cu+CO₂↑
(3)冶炼金属
(1)CO 铁
(2)C+2CuO$\xlongequal{\text{高温}}$2Cu+CO₂↑
(3)冶炼金属
6.已知 A、B、C、D 是初中化学中常见的四种物质,它们之间存在如图的反应与转化关系(图中“→”表示转化关系)。
(1)如果 B、C 均属于氧化物,A、D 为单质,A 为固体,B 是引起温室效应的主要气体,则 C 的化学式为
(2)如果只有 C 为单质,自然界中光合作用可将 A 转化为 C,B、D 的组成元素相同。则 D 的名称为
(1)如果 B、C 均属于氧化物,A、D 为单质,A 为固体,B 是引起温室效应的主要气体,则 C 的化学式为
CO
,D 的一种用途为登山,医疗急救等
;(2)如果只有 C 为单质,自然界中光合作用可将 A 转化为 C,B、D 的组成元素相同。则 D 的名称为
过氧化氢
,A→B 反应的化学方程式为CO₂+Ca(OH)₂=CaCO₃↓+H₂O(合理即可)
。
答案:
(1)CO 登山,医疗急救等
(2)过氧化氢 CO₂+Ca(OH)₂=CaCO₃↓+H₂O(合理即可)
(1)CO 登山,医疗急救等
(2)过氧化氢 CO₂+Ca(OH)₂=CaCO₃↓+H₂O(合理即可)
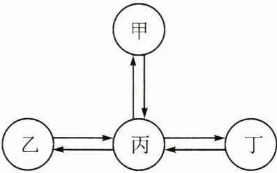
7.甲、乙、丙、丁都是初中化学中常见的物质,其中甲是大理石的主要成分,乙是地壳中含量最多的元素组成的单质,通常状况下丙、丁是无色无臭的气体,自然界中,绿色植物可以完成丙→乙的转化。它们之间的反应转化关系如图所示(图中“→”表示转化关系)。
(1)写出丁的化学式:
(2)写出甲→丙的化学方程式:
(3)除去丙中混有的少量丁,可采取的措施是

(1)写出丁的化学式:
CO
,丁的一种用途为作燃料或冶炼金属等
;(2)写出甲→丙的化学方程式:
CaCO₃+2HCl=CaCl₂+H₂O+CO₂↑
;(3)除去丙中混有的少量丁,可采取的措施是
将混合气体通过灼热的氧化铜(合理即可)
;鉴别乙、丙两种气体的方法是将燃着的木条伸入集气瓶内,若木条燃烧得更旺则为O₂,若木条熄灭则为CO₂(合理即可)
。
答案:
(1)CO 作燃料或冶炼金属等
(2)CaCO₃+2HCl=CaCl₂+H₂O+CO₂↑
(3)将混合气体通过灼热的氧化铜(合理即可) 将燃着的木条伸入集气瓶内,若木条燃烧得更旺则为O₂,若木条熄灭则为CO₂(合理即可)
(1)CO 作燃料或冶炼金属等
(2)CaCO₃+2HCl=CaCl₂+H₂O+CO₂↑
(3)将混合气体通过灼热的氧化铜(合理即可) 将燃着的木条伸入集气瓶内,若木条燃烧得更旺则为O₂,若木条熄灭则为CO₂(合理即可)
8.甲、乙、丙、丁、戊是初中化学常见的物质,其中丁是大理石的主要成分,乙的固体俗称干冰,它们之间部分转化关系如右图所示(“→”表示某种物质经一步反应可转化成另一种物质,“——”表示两种物质能发生化学反应)。
(1)乙的化学式为
(2)丁→丙反应的化学方程式为
(3)丙和戊反应的现象是
(4)关于甲以及甲→丙的反应,有如下说法,其中正确的是
A.甲可能是金属单质
B.甲可能具有可燃性
C.甲→丙的反应可能属于分解反应
D.甲→丙的反应可能属于化合反应
(5)若常温下甲是黑色固体,则甲→乙的化学方程式可能为
(1)乙的化学式为
CO₂
;(2)丁→丙反应的化学方程式为
CaCO₃+2HCl=CaCl₂+CO₂↑+H₂O
;(3)丙和戊反应的现象是
放出大量热
;(4)关于甲以及甲→丙的反应,有如下说法,其中正确的是
BCD
(填序号);A.甲可能是金属单质
B.甲可能具有可燃性
C.甲→丙的反应可能属于分解反应
D.甲→丙的反应可能属于化合反应
(5)若常温下甲是黑色固体,则甲→乙的化学方程式可能为
CuO+CO$\xlongequal{\triangle}$Cu+CO₂
。
答案:
(1)CO₂
(2)CaCO₃+2HCl=CaCl₂+CO₂↑+H₂O
(3)放出大量热
(4)BCD
(5)CuO+CO$\xlongequal{\triangle}$Cu+CO₂
(1)CO₂
(2)CaCO₃+2HCl=CaCl₂+CO₂↑+H₂O
(3)放出大量热
(4)BCD
(5)CuO+CO$\xlongequal{\triangle}$Cu+CO₂
查看更多完整答案,请扫码查看