2024年赢在课堂跟踪训练九年级化学全一册人教版
注:目前有些书本章节名称可能整理的还不是很完善,但都是按照顺序排列的,请同学们按照顺序仔细查找。练习册 2024年赢在课堂跟踪训练九年级化学全一册人教版 答案主要是用来给同学们做完题方便对答案用的,请勿直接抄袭。
第37页
- 第1页
- 第2页
- 第3页
- 第4页
- 第5页
- 第6页
- 第7页
- 第8页
- 第9页
- 第10页
- 第11页
- 第12页
- 第13页
- 第14页
- 第15页
- 第16页
- 第17页
- 第18页
- 第19页
- 第20页
- 第21页
- 第22页
- 第23页
- 第24页
- 第25页
- 第26页
- 第27页
- 第28页
- 第29页
- 第30页
- 第31页
- 第32页
- 第33页
- 第34页
- 第35页
- 第36页
- 第37页
- 第38页
- 第39页
- 第40页
- 第41页
- 第42页
- 第43页
- 第44页
- 第45页
- 第46页
- 第47页
- 第48页
- 第49页
- 第50页
- 第51页
- 第52页
- 第53页
- 第54页
- 第55页
- 第56页
- 第57页
- 第58页
- 第59页
- 第60页
- 第61页
- 第62页
- 第63页
- 第64页
- 第65页
- 第66页
- 第67页
- 第68页
- 第69页
- 第70页
- 第71页
- 第72页
- 第73页
- 第74页
- 第75页
- 第76页
- 第77页
- 第78页
- 第79页
- 第80页
- 第81页
- 第82页
- 第83页
- 第84页
- 第85页
- 第86页
- 第87页
- 第88页
- 第89页
- 第90页
- 第91页
- 第92页
- 第93页
- 第94页
- 第95页
- 第96页
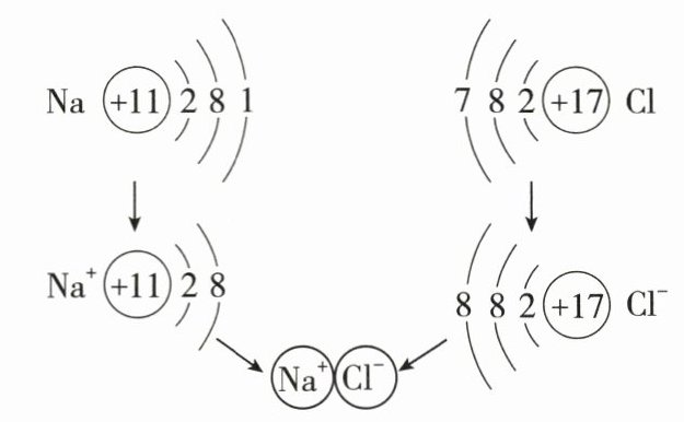
8. 金属钠在氯气中燃烧生成氯化钠,如图为氯化钠形成的示意图。根据所给信息,请回答:

(1)钠原子的核外电子层数是__________,在化学反应中易__________(填“得到”或“失去”)电子。
(2)原子的化学性质是由原子的__________决定的。
(3)构成氯化钠的微粒是__________和__________(填符号)。
(1)钠原子的核外电子层数是__________,在化学反应中易__________(填“得到”或“失去”)电子。
(2)原子的化学性质是由原子的__________决定的。
(3)构成氯化钠的微粒是__________和__________(填符号)。
答案:
(1)3 失去
(2)最外层电子数
(3)$Na^{+}$ $Cl^{-}$
(1)3 失去
(2)最外层电子数
(3)$Na^{+}$ $Cl^{-}$
9. 同种元素的原子和离子,一定具有相同的 ( )
A. 质子数
B. 所带电荷数
C. 核外电子数
D. 最外层电子数
A. 质子数
B. 所带电荷数
C. 核外电子数
D. 最外层电子数
答案:
A
10. 下列对于Fe、Fe²⁺、Fe³⁺的说法不正确的是 ( )
A. 质子数相同
B. 属于同一种微粒
C. 相对原子质量相同
D. 属于同一种元素
A. 质子数相同
B. 属于同一种微粒
C. 相对原子质量相同
D. 属于同一种元素
答案:
B
11. 下列关于Mg、Mg²⁺两种粒子中相同的是 ( )
①核电荷数 ②质子数 ③中子数 ④化学性质 ⑤电子层数 ⑥最外层电子数
A. ①②③⑤
B. ①②④⑤⑥
C. ②③④⑥
D. ①②③
①核电荷数 ②质子数 ③中子数 ④化学性质 ⑤电子层数 ⑥最外层电子数
A. ①②③⑤
B. ①②④⑤⑥
C. ②③④⑥
D. ①②③
答案:
D
12. 建立“宏观—微观—符号”之间的联系是学习化学的思维方法。按要求答题:
(1)如图为五种粒子的结构示意图。

①A~D四种粒子中,具有稳定结构的原子是__________。
②若E为某原子得到两个电子形成的离子,则E表示的离子符号为__________。
③某离子符号为R²⁺,其中含有18个电子,R元素的相对原子质量为40,则R原子内的质子数为__________,中子数为__________。
(2)保持二氧化碳化学性质的微观粒子是__________(填名称)。二氧化碳与一氧化碳化学性质不同的原因是__________。
(1)如图为五种粒子的结构示意图。
①A~D四种粒子中,具有稳定结构的原子是__________。
②若E为某原子得到两个电子形成的离子,则E表示的离子符号为__________。
③某离子符号为R²⁺,其中含有18个电子,R元素的相对原子质量为40,则R原子内的质子数为__________,中子数为__________。
(2)保持二氧化碳化学性质的微观粒子是__________(填名称)。二氧化碳与一氧化碳化学性质不同的原因是__________。
答案:
(1)①AC
②$S^{2 - }$
③20 20
(2)二氧化碳分子 分子的构成不同
(1)①AC
②$S^{2 - }$
③20 20
(2)二氧化碳分子 分子的构成不同
13. 从镍氢电池到锂电池,再到钠电池、钾电池,科学家在不断提升电池的性能。
(1)金属原子失去电子后形成__________(选填“阴”或“阳”)离子,锂、钠、钾等金属很容易失去电子,所以常被用作电池材料。
(2)研究表明,半径越大的金属离子越容易在电池正负极之间移动,充电速度越快。如图是锂、钠、钾三种金属的离子半径大小,电池容量相同的这三种电池,充满电的时间最短的是__________电池。

(1)金属原子失去电子后形成__________(选填“阴”或“阳”)离子,锂、钠、钾等金属很容易失去电子,所以常被用作电池材料。
(2)研究表明,半径越大的金属离子越容易在电池正负极之间移动,充电速度越快。如图是锂、钠、钾三种金属的离子半径大小,电池容量相同的这三种电池,充满电的时间最短的是__________电池。
答案:
(1)阳
(2)钾
(1)阳
(2)钾
查看更多完整答案,请扫码查看