2025年高中物理补充习题必修第三册
注:目前有些书本章节名称可能整理的还不是很完善,但都是按照顺序排列的,请同学们按照顺序仔细查找。练习册 2025年高中物理补充习题必修第三册 答案主要是用来给同学们做完题方便对答案用的,请勿直接抄袭。
第59页
- 第1页
- 第2页
- 第3页
- 第4页
- 第5页
- 第6页
- 第7页
- 第8页
- 第9页
- 第10页
- 第11页
- 第12页
- 第13页
- 第14页
- 第15页
- 第16页
- 第17页
- 第18页
- 第19页
- 第20页
- 第21页
- 第22页
- 第23页
- 第24页
- 第25页
- 第26页
- 第27页
- 第28页
- 第29页
- 第30页
- 第31页
- 第32页
- 第33页
- 第34页
- 第35页
- 第36页
- 第37页
- 第38页
- 第39页
- 第40页
- 第41页
- 第42页
- 第43页
- 第44页
- 第45页
- 第46页
- 第47页
- 第48页
- 第49页
- 第50页
- 第51页
- 第52页
- 第53页
- 第54页
- 第55页
- 第56页
- 第57页
- 第58页
- 第59页
- 第60页
- 第61页
- 第62页
- 第63页
- 第64页
- 第65页
- 第66页
- 第67页
- 第68页
- 第69页
- 第70页
- 第71页
- 第72页
- 第73页
- 第74页
- 第75页
- 第76页
- 第77页
- 第78页
- 第79页
- 第80页
- 第81页
- 第82页
- 第83页
- 第84页
- 第85页
- 第86页
- 第87页
- 第88页
1. 在“描绘小灯泡的伏安特性曲线”的实验中,采用电流表外接法的原因是( )
A. 小灯泡的电阻比电流表的内阻小得多
B. 小灯泡的电阻比电压表的内阻小得多
C. 小灯泡的电阻比电流表的内阻大得多
D. 小灯泡的电阻比电压表的内阻大得多
A. 小灯泡的电阻比电流表的内阻小得多
B. 小灯泡的电阻比电压表的内阻小得多
C. 小灯泡的电阻比电流表的内阻大得多
D. 小灯泡的电阻比电压表的内阻大得多
答案:
B
2. 通过“描绘小灯泡的伏安特性曲线”的实验,可以归纳出( )
A. 只有小灯泡的灯丝电阻随温度的升高而增大
B. 只有小灯泡的灯丝电阻率随温度的升高而增大
C. 金属的电阻率随温度的升高而增大
D. 所有材料的电阻率都随温度的升高而增大
A. 只有小灯泡的灯丝电阻随温度的升高而增大
B. 只有小灯泡的灯丝电阻率随温度的升高而增大
C. 金属的电阻率随温度的升高而增大
D. 所有材料的电阻率都随温度的升高而增大
答案:
C
3. 在“描绘小灯泡的伏安特性曲线”的实验中,从$U - I$图线中可以得出( )
A. 小灯泡的电阻是恒定不变的
B. 小灯泡的电阻随它两端电压的增大而减小
C. 小灯泡的电阻随它两端电压的增大而增大
D. 小灯泡的电阻是变化的,但没有一定的规律
A. 小灯泡的电阻是恒定不变的
B. 小灯泡的电阻随它两端电压的增大而减小
C. 小灯泡的电阻随它两端电压的增大而增大
D. 小灯泡的电阻是变化的,但没有一定的规律
答案:
C
4. 小灯泡的电阻随它两端的电压升高而变化的直接原因是( )
A. 小灯泡两端的电压越大,通过它的电流也越大
B. 小灯泡两端的电压越大,它的电功率也越大
C. 小灯泡两端的电压越大,它发的光就越强
D. 小灯泡两端的电压越大,灯丝的温度就越高
A. 小灯泡两端的电压越大,通过它的电流也越大
B. 小灯泡两端的电压越大,它的电功率也越大
C. 小灯泡两端的电压越大,它发的光就越强
D. 小灯泡两端的电压越大,灯丝的温度就越高
答案:
D
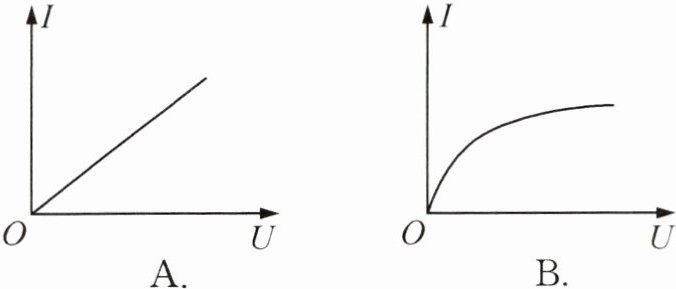
5. 一个标有“4 V 0.7 A”的小灯泡,所加的电压$U$由零逐渐增大到4 V,在此过程中电压$U$和电流$I$的关系可以用图像表示.下列选项中符合实际的是( )


答案:
B
6. 小灯泡的伏安特性曲线斜率的物理意义是( )
A. 小灯泡灯丝电阻的倒数
B. 小灯泡灯丝的电阻
C. 小灯泡灯丝电阻率的倒数
D. 小灯泡灯丝的电阻率
A. 小灯泡灯丝电阻的倒数
B. 小灯泡灯丝的电阻
C. 小灯泡灯丝电阻率的倒数
D. 小灯泡灯丝的电阻率
答案:
A
二、非选择题
7. 在“描绘小灯泡的伏安特性曲线”的实验中,研究的小灯泡标有“3.8 V 0.3 A”,这类灯泡两端电压超过0.5 V,其伏安特性曲线就会有明显弯曲.使用的电压表有0~15 V和0~3 V两个量程,使用的电流表有0~3 A和0~0.6 A两个量程.在实验中,电压表应选择的量程是_______,电流表应选择的量程是_______.
7. 在“描绘小灯泡的伏安特性曲线”的实验中,研究的小灯泡标有“3.8 V 0.3 A”,这类灯泡两端电压超过0.5 V,其伏安特性曲线就会有明显弯曲.使用的电压表有0~15 V和0~3 V两个量程,使用的电流表有0~3 A和0~0.6 A两个量程.在实验中,电压表应选择的量程是_______,电流表应选择的量程是_______.
答案:
$0~3\ V$ $0~0.6\ A$
解析:由于此实验的目的是描绘小灯泡的伏安特性曲线,故灯泡两端的电压不必太高,而且题中已指出:这类灯泡两端电压超过$0.5\ V$,其伏安特性曲线就会明显弯曲,故电压表量程用$0~3\ V$已够了.
解析:由于此实验的目的是描绘小灯泡的伏安特性曲线,故灯泡两端的电压不必太高,而且题中已指出:这类灯泡两端电压超过$0.5\ V$,其伏安特性曲线就会明显弯曲,故电压表量程用$0~3\ V$已够了.
查看更多完整答案,请扫码查看