第4页
- 第1页
- 第2页
- 第3页
- 第4页
- 第5页
- 第6页
- 第7页
- 第8页
- 第9页
- 第10页
- 第11页
- 第12页
- 第13页
- 第14页
- 第15页
- 第16页
- 第17页
- 第18页
- 第19页
- 第20页
- 第21页
- 第22页
- 第23页
- 第24页
- 第25页
- 第26页
- 第27页
- 第28页
- 第29页
- 第30页
- 第31页
- 第32页
- 第33页
- 第34页
- 第35页
- 第36页
- 第37页
- 第38页
- 第39页
- 第40页
- 第41页
- 第42页
- 第43页
- 第44页
- 第45页
- 第46页
- 第47页
- 第48页
- 第49页
- 第50页
- 第51页
- 第52页
- 第53页
- 第54页
- 第55页
- 第56页
- 第57页
- 第58页
- 第59页
- 第60页
- 第61页
- 第62页
- 第63页
- 第64页
- 第65页
- 第66页
- 第67页
- 第68页
- 第69页
- 第70页
- 第71页
- 第72页
- 第73页
- 第74页
- 第75页
- 第76页
1. (2024天津中考)如图为部分家庭电路示意图,其中连接正确的是(P9203001) ( )

A.①
B.②
C.①③
D.②③
A.①
B.②
C.①③
D.②③
答案:
A
①三孔插座与其他用电器并联,接线方法是“左零右火上接地”,故①正确;②开关应接在火线与用电器之间,图中开关接在零线与用电器之间,故②错误;③两孔插座与其他用电器并联,接线方法是“左零右火”,故③错误。故选A。
①三孔插座与其他用电器并联,接线方法是“左零右火上接地”,故①正确;②开关应接在火线与用电器之间,图中开关接在零线与用电器之间,故②错误;③两孔插座与其他用电器并联,接线方法是“左零右火”,故③错误。故选A。
2. (2023四川绵阳期末)如图是家庭电路示意图。下列说法正确的是(P9203001) ( )

A. 电能表测量电功率
B. 与开关S直接相连的导线a是零线
C. 若在导线a和b之间接一个灯泡L₁,则L₁与L串联
D. 若c处断开,洗衣机插头插入插座,洗衣机虽能工作但有安全隐患
A. 电能表测量电功率
B. 与开关S直接相连的导线a是零线
C. 若在导线a和b之间接一个灯泡L₁,则L₁与L串联
D. 若c处断开,洗衣机插头插入插座,洗衣机虽能工作但有安全隐患
答案:
D电能表是测量消耗电能多少的仪表,不能测量电功率,A错误;与开关S直接相连的导线是火线,所以导线a是火线,B错误;若在导线a和b之间接一个灯泡L₁,L和L₁可独立工作,互不影响,故L₁与L并联,C错误;若c处断开,洗衣机插头插入插座,洗衣机能工作,但外壳不能接地,若外壳带电,人接触外壳,会发生触电事故,D正确。
3. (2024山东东营二模改编)家庭电路中,电冰箱、电饭煲、日光灯等家用电器的连接方式是____联。如图所示,将带开关的灯泡接入家庭电路中的方式________(选填“符合”或“不符合”)电路连接规范。
答案:
答案 并 不符合
解析 家庭电路中,各种用电器是并联关系,所以电冰箱、电饭煲、日光灯等家用电器的连接方式是并联;家庭电路中,开关应接在火线与灯之间,这样可以避免开关断开时更换灯泡触电,故图中的电路连接方式不符合安全用电的原则。
解析 家庭电路中,各种用电器是并联关系,所以电冰箱、电饭煲、日光灯等家用电器的连接方式是并联;家庭电路中,开关应接在火线与灯之间,这样可以避免开关断开时更换灯泡触电,故图中的电路连接方式不符合安全用电的原则。
4. (新独家原创)家庭电路中的量电装置是必不可少的,下面的家庭电路元件中,是量电装置的是( )
选用保险丝时,应使保险丝的额定电流等于或稍大于电路中的最大正常工作电流。(一般是额定电流的2倍)。
A. 电能表
B. 保险盒
C. 低压断路器
D. 漏电保护器
选用保险丝时,应使保险丝的额定电流等于或稍大于电路中的最大正常工作电流。(一般是额定电流的2倍)。
A. 电能表
B. 保险盒
C. 低压断路器
D. 漏电保护器
答案:
A电能表是量度电能消耗状况的仪器,故A符合题意;保险盒是在电流过大时熔断保护电路的,故B不符合题意;电路发生过载或短路时,低压断路器会自动切断电路,故C不符合题意;漏电保护器可以对人身触电、导线漏电、插座接错线等故障起保护作用,故D不符合题意。故选A。
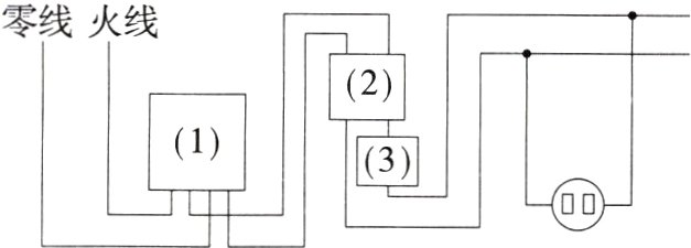
5. (2024湖南长沙一模)如图所示是家庭电路的部分示意图,图中(1)、(2)、(3)内的元件分别是(P9203001)( )

A. 电能表、保险装置、总开关
B. 电能表、总开关、保险装置
C. 总开关、电能表、保险装置
D. 保险装置、总开关、电能表
A. 电能表、保险装置、总开关
B. 电能表、总开关、保险装置
C. 总开关、电能表、保险装置
D. 保险装置、总开关、电能表
答案:
进户火线和零线先接电能表,所以
(1)中元件是电能表;电能表之后接总开关,所以
(2)中元件是总开关;保险装置只接在火线上,所以
(3)内的元件是保险装置。故选B。
(1)中元件是电能表;电能表之后接总开关,所以
(2)中元件是总开关;保险装置只接在火线上,所以
(3)内的元件是保险装置。故选B。
6. (2023河北联考三模)如图所示是安装了空气开关和漏电保护器的住宅内配电系统,它们都是安全用电的小卫士。当家庭电路中用电器的总功率过大或发生________时,空气开关会自动断开,对用电器起到保护作用;当站在地上的人使用插座时,不小心接触了火线,________会迅速切断电路,对人体起到保护作用。
答案:
答案 短路 漏电保护器
解析 当电路中发生短路或用电器总功率过大造成电流过大时,空气开关会自动断开,切断电路,对用电器起到保护作用。当站在地上的人使用插座时,不小心接触了火线,造成火线和零线的电流不相等时,漏电保护器会迅速切断电路,对人体起到保护作用。
解析 当电路中发生短路或用电器总功率过大造成电流过大时,空气开关会自动断开,切断电路,对用电器起到保护作用。当站在地上的人使用插座时,不小心接触了火线,造成火线和零线的电流不相等时,漏电保护器会迅速切断电路,对人体起到保护作用。
7. 在家庭电路中,如图所示的有关灯泡、开关和插座的连接方法中,正确的是(P9203001) ( )

答案:
D两孔插座的接法:左边接零线,右边接火线,故A错误;三孔插座的接法:上面接地线,左边接零线,右边接火线,故B错误;开关与所控制的灯的连接:火线首先接入开关,然后接入灯泡顶端的金属点,零线直接接入螺旋套,故C错误,D正确。
查看更多完整答案,请扫码查看