2025年活动单导学课程高中化学选择性必修第三册苏教版
注:目前有些书本章节名称可能整理的还不是很完善,但都是按照顺序排列的,请同学们按照顺序仔细查找。练习册 2025年活动单导学课程高中化学选择性必修第三册苏教版 答案主要是用来给同学们做完题方便对答案用的,请勿直接抄袭。
第74页
- 第1页
- 第2页
- 第3页
- 第4页
- 第5页
- 第6页
- 第7页
- 第8页
- 第9页
- 第10页
- 第11页
- 第12页
- 第13页
- 第14页
- 第15页
- 第16页
- 第17页
- 第18页
- 第19页
- 第20页
- 第21页
- 第22页
- 第23页
- 第24页
- 第25页
- 第26页
- 第27页
- 第28页
- 第29页
- 第30页
- 第31页
- 第32页
- 第33页
- 第34页
- 第35页
- 第36页
- 第37页
- 第38页
- 第39页
- 第40页
- 第41页
- 第42页
- 第43页
- 第44页
- 第45页
- 第46页
- 第47页
- 第48页
- 第49页
- 第50页
- 第51页
- 第52页
- 第53页
- 第54页
- 第55页
- 第56页
- 第57页
- 第58页
- 第59页
- 第60页
- 第61页
- 第62页
- 第63页
- 第64页
- 第65页
- 第66页
- 第67页
- 第68页
- 第69页
- 第70页
- 第71页
- 第72页
- 第73页
- 第74页
- 第75页
- 第76页
- 第77页
- 第78页
- 第79页
- 第80页
- 第81页
- 第82页
- 第83页
- 第84页
- 第85页
- 第86页
- 第87页
- 第88页
- 第89页
- 第90页
- 第91页
- 第92页
- 第93页
- 第94页
- 第95页
- 第96页
- 第97页
- 第98页
- 第99页
- 第100页
- 第101页
- 第102页
- 第103页
- 第104页
- 第105页
- 第106页
8. 欲从溶有苯酚的乙醇中回收苯酚,下列操作和步骤最合理的是 (
①蒸馏 ②过滤 ③静置分液 ④加入足量的金属钠 ⑤通入过量的$CO_2$气体 ⑥加入足量的$NaOH$溶液 ⑦加入足量的$FeCl_3$溶液 ⑧加入浓硫酸与$NaBr$晶体共热。
A.⑧④⑦③
B.⑥①⑤③
C.⑥①⑤②
D.⑧②⑤③
B
)①蒸馏 ②过滤 ③静置分液 ④加入足量的金属钠 ⑤通入过量的$CO_2$气体 ⑥加入足量的$NaOH$溶液 ⑦加入足量的$FeCl_3$溶液 ⑧加入浓硫酸与$NaBr$晶体共热。
A.⑧④⑦③
B.⑥①⑤③
C.⑥①⑤②
D.⑧②⑤③
答案:
8.B 苯酚和乙醇的沸点相差很小,直接用蒸馏的方法很难将其分开。应先加NaOH将苯酚转化为苯酚钠,苯酚钠是盐类物质,沸点和乙醇相差很大,因此控制温度可以用蒸馏法把乙醇排出,向剩余的苯酚钠溶液中通入足量$CO_2,$可以析出溶解度很小的苯酚,此时苯酚以乳浊液形式存在,待静置分层后再进行分液操作便可得到苯酚。即步骤中最合理的是⑥①⑤③,B正确。
9. 某黄酮类药物的合成反应如图所示。下列说法正确的是 (

A.化合物X中所有原子可处于同一平面
B.化合物X与足量$H_2$反应后的分子中含有3个手性碳原子
C.1 mol化合物Y最多可以消耗溴水中2 mol $Br_2$
D.化合物Y存在顺反异构现象
C
)A.化合物X中所有原子可处于同一平面
B.化合物X与足量$H_2$反应后的分子中含有3个手性碳原子
C.1 mol化合物Y最多可以消耗溴水中2 mol $Br_2$
D.化合物Y存在顺反异构现象
答案:
9.C 化合物X中含有甲基,不可能所有原子处于同一平面,A错误;手性碳原子指连接4个各不相同的基团或原子的碳原子,如图:
(标“*”处碳原子为手性碳原子),反应后有4个手性碳原子,B错误;Y中含有一个碳碳双键可以与$Br_2$发生加成反应,苯环上羟基邻、对位的氢原子可以与$Br_2$发生取代反应,有1个氢原子可以被取代,故1mol化合物Y最多可以消耗溴水中$2molBr_2,$C正确;碳碳双键两端的碳原子分别连接两个不同的基团或原子时存在顺反异构现象,化合物Y碳碳双键一端的碳原子连接两个相同的甲基,不存在顺反异构现象,D错误。
9.C 化合物X中含有甲基,不可能所有原子处于同一平面,A错误;手性碳原子指连接4个各不相同的基团或原子的碳原子,如图:
10. (无锡南菁高级中学开学检测)茶是我国的传统饮品,茶叶中含有的茶多酚可以替代食品添加剂中对人体有害的合成抗氧化剂,用于多种食品保鲜等。如图是茶多酚中含量最高的一种儿茶素A的结构简式,下列关于这种儿茶素A的有关叙述不正确的是 (

A.分子式为$C_{15}H_{14}O_7$
B.1 mol儿茶素A在一定条件下最多能与6 mol $H_2$加成
C.等质量的儿茶素A分别与足量的金属钠和氢氧化钠反应,消耗$Na$和$NaOH$的物质的量之比为1:1
D.1 mol儿茶素A与足量的浓溴水反应,最多消耗4 mol $Br_2$
C
)A.分子式为$C_{15}H_{14}O_7$
B.1 mol儿茶素A在一定条件下最多能与6 mol $H_2$加成
C.等质量的儿茶素A分别与足量的金属钠和氢氧化钠反应,消耗$Na$和$NaOH$的物质的量之比为1:1
D.1 mol儿茶素A与足量的浓溴水反应,最多消耗4 mol $Br_2$
答案:
10.C 分子式为$C_15H_14O_7,$A正确;儿茶素A中含有两个苯环,1mol儿茶素在一定条件下最多能与$6molH_2$加成,B正确;1mol儿茶素A中含有5个酚羟基和1个醇羟基,等质量的儿茶素A分别与足量的金属钠和氢氧化钠反应,消耗Na和NaOH的物质的量之比为6:5,C错误;1mol儿茶素A与足量的浓溴水发生苯环上取代反应,最多消耗$4molBr_2,$D正确。
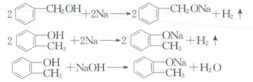
11. A、B、C三种物质的分子式都是$C_7H_8O$,若滴入$FeCl_3$溶液,只有C呈紫色;若投入金属钠,只有B没有变化。
(1) 写出下列物质的结构简式:
A
(2) A、C都能与$Na$、$NaOH$、$NaHCO_3$反应吗?若能反应,写出反应的化学方程式(若有同分异构体,只写出其中一种所发生反应的化学方程式即可)。
(1) 写出下列物质的结构简式:
A
C6H5CH2OH
;B C6H5OCH3
;C CH3C6H4OH
。(2) A、C都能与$Na$、$NaOH$、$NaHCO_3$反应吗?若能反应,写出反应的化学方程式(若有同分异构体,只写出其中一种所发生反应的化学方程式即可)。
答案:


(2)A为
,属于芳香醇,能与Na反应但不与NaOH、$NaHCO_3$反应。C为甲基苯酚,属于酚类,显酸性,可与Na、NaOH反应,但其酸性比碳酸弱,故不能与$NaHCO_3$反应。

(答案合理即可)
(2)A为
(答案合理即可)
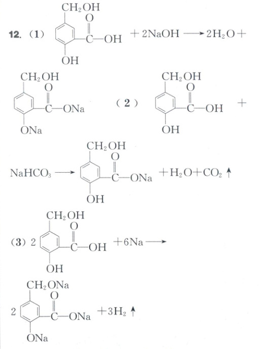
12. (盐城响水中学学情分析)某有机物A的结构如图所示。

(1) A跟$NaOH$溶液反应的化学方程式是_______。
(2) A跟$NaHCO_3$溶液反应的化学方程式是_______。
(3) A在一定条件下跟Na反应的化学方程式是_______。
(1) A跟$NaOH$溶液反应的化学方程式是_______。
(2) A跟$NaHCO_3$溶液反应的化学方程式是_______。
(3) A在一定条件下跟Na反应的化学方程式是_______。
答案:

查看更多完整答案,请扫码查看